Skip to main content

Enrichment of arsenic transforming and resistant heterotrophic bacteria from sediments of two salt lakes in Northern Chile

Abstract

Microbial populations are involved in the arsenic biogeochemical cycle in catalyzing arsenic transformations and playing indirect roles. To investigate which ecotypes among the diverse microbial communities could have a role in cycling arsenic in salt lakes in Northern Chile and to obtain clues to facilitate their isolation in pure culture, sediment samples from Salar de Ascotán and Salar de Atacama were cultured in diluted LB medium amended with NaCl and arsenic, at different incubation conditions. The samples and the cultures were analyzed by nucleic acid extraction, fingerprinting analysis, and sequencing. Microbial reduction of As was evidenced in all the enrichments carried out in anaerobiosis. The results revealed that the incubation factors were more important for determining the microbial community structure than arsenic species and concentrations. The predominant microorganisms in enrichments from both sediments belonged to the Firmicutes and Proteobacteria phyla, but most of the bacterial ecotypes were confined to only one system. The occurrence of an active arsenic biogeochemical cycle was suggested in the system with the highest arsenic content that included populations compatible with microorganisms able to transform arsenic for energy conservation, accumulate arsenic, produce H2, H2S and acetic acid (potential sources of electrons for arsenic reduction) and tolerate high arsenic levels.

This is a preview of subscription content, access via your institution.

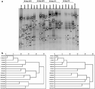
Fig. 1
Fig. 2
Fig. 3
Fig. 4
Fig. 5

References

  • Altschul SF, Madden TL, Schaffer AA, Zhang JH, Zhang Z, Miller W, Lipman DJ (1997) Gapped BLAST and PSI-BLAST: a new generation of protein database search programs. Nucleic Acids Res 25:3389–3402

    PubMed  Article  CAS  Google Scholar 

  • APHA, AWWA, WEF (1998) Cl B Argentometric method. In: Clescerl LS, Greenberg AE, Eaton AD (eds) Standard methods for the examination of water and wastewater, 20th edn. American Public Health Association, American Water Works Association, Water Environment Federation, Washington, DC, p Method 4500Cl B

  • Becker J, Parkin T, Nakatsu C, Wilbur J, Konopka A (2006) Bacterial activity, community structure, and centimeter-scale spatial heterogeneity in contaminated soil. Microb Ecol 51:220–231

    PubMed  Article  Google Scholar 

  • Bouchotroch S, Quesada E, del Moral A, Llamas I, Bejar V (2001) Halomonas maura sp. nov., a novel moderately halophilic, exopolysaccharide-producing bacterium. Int J Syst Evol Microbiol 51:1625–1632

    PubMed  Article  CAS  Google Scholar 

  • Cai J, Salmon K, DuBow MS (1998) A chromosomal ars operon homologue of Pseudomonas aeruginosa confers increased resistance to arsenic and antimony in Escherichia coli. Microbiol-SGM 144:2705–2713

    Article  CAS  Google Scholar 

  • Cai L, Rensing C, Li XY, Wang GJ (2009) Novel gene clusters involved in arsenite oxidation and resistance in two arsenite oxidizers: Achromobacter sp SY8 and Pseudomonas sp TS44. Appl Microbiol Biotechnol 83:715–725

    PubMed  Article  CAS  Google Scholar 

  • Caton TM, Witte LR, Ngyuen HD, Buchheim JA, Buchheim MA, Schneegurt MA (2004) Halotolerant aerobic heterotrophic bacteria from the Great Salt Plains of Oklahoma. Microb Ecol 48:449–462

    PubMed  Article  CAS  Google Scholar 

  • Chen S, Song L, Dong X (2006) Sporacetigenium mesophilum gen. nov., sp. nov., isolated from an anaerobic digester treating municipal solid waste and sewage. Int J Syst Evol Microbiol 56:721–725

    PubMed  Article  CAS  Google Scholar 

  • Chen YG, Cui XL, Zhang YQ, Li WJ, Wang YX, Xu LH, Wen ML, Peng Q, Jiang CL (2009) Paraliobacillus quinghaiensis sp nov., isolated from salt-lake sediment in China. Int J Syst Evol Microbiol 59:28–33

    PubMed  Article  CAS  Google Scholar 

  • Chong G (1984) Die Salare in Nordchile—Geologie. Struktur und Geochimie. 67:1–146

    Google Scholar 

  • Chong G, Pueyo JJ, Demergasso C (2000) The borate deposits in Chile. Rev Geol Chile 27:99–119

    Article  CAS  Google Scholar 

  • de Souza MP, Amini A, Dojka MA, Pickering IJ, Dawson SC, Pace NR, Terry N (2001) Identification and characterization of bacteria in a selenium-contaminated hypersaline evaporation pond. Appl Environ Microbiol 67:3785–3794

    PubMed  Article  Google Scholar 

  • Demergasso C, Chong G, Escudero L, Pueyo J, Pedrós-Alió C (2007) Microbial precipitation of arsenic sulfides in Andean salt flats. Geomicrobiol J 24:111–123

    Article  CAS  Google Scholar 

  • Dib J, Motok J, Zenoff VF, Ordoñez O, Farías ME (2010) Occurrence of resistance to antibiotics, UV-B and arsenic in bacteria isolated from extreme environments in high altitude (above 4400 m) Andean wetlands. Curr Microbiol 56:510–517

    Article  Google Scholar 

  • Donachie SP, Bowman JP, On SL, Alam M (2005) Arcobacter halophilus sp. nov., the first obligate halophile in the genus Arcobacter. Int J Syst Evol Microbiol 55:1271–1277

    PubMed  Article  CAS  Google Scholar 

  • Drake HL, Gossner AS, Daniel SL (2008) Old acetogens, new light. In: Wiegel J, Maier RJ, Adams MWW (eds) Incredible anaerobes: from physiology to genomics to fuels, pp 100–128

  • Ellis RJ, Thompson IP, Bailey MJ (1999) Temporal fluctuations in the pseudomonad population associated with sugar beet leaves FEMS. Microb Ecol 28:345–356

    Article  CAS  Google Scholar 

  • Fernandez A, Huang SY, Seston S, Xing J, Hickey R, Criddle C, Tiedje J (1999) How stable is stable? Function versus community composition. Appl Environ Microbiol 65:3697–3704

    PubMed  CAS  Google Scholar 

  • Ferrero M, Menoyo E, Lugo M, Negritto M, Antón A, Siñeriz F (2010) Molecular characterization and in situ detection of bacterial communities associated with rhizosphere soil of high altitude native poaceae from the Andean puna region. J Arid Environ 74:1177–1185

    Article  Google Scholar 

  • Fisher E, Dawson AM, Polshyna G, Lisak J, Crable B, Perera E, Ranganathan M, Thangavelu M, Basu P, Stolz JF (2008) Transformation of inorganic and organic arsenic by Alkaliphilus oremlandii sp nov strain OhILAs. In: Incredible anaerobes: from physiology to genomics to fuels, pp 230–241

  • Flynn HC, McMahon V, Chong Diaz G, Demergasso CS, Corbisier P, Meharg AA, Paton GI (2002) Assessment of bioavailable arsenic and copper in soils and sediments from the Antofagasta region of Northern Chile. Sci Total Environ 286:51–59

    PubMed  Article  CAS  Google Scholar 

  • Gossner AS, Picardal F, Tanner RS, Drake HL (2008) Carbon metabolism of the moderately acid-tolerant acetogen Clostridium drakei isolated from peat. FEMS Microbiol Lett 287:236–242

    PubMed  Article  Google Scholar 

  • Handley KM, Hery M, Lloyd JR (2009) Marinobacter santoriniensis sp nov., an arsenate-respiring and arsenite-oxidizing bacterium isolated from hydrothermal sediment. Int J Syst Evol Microbiol 59:886–892

    PubMed  Article  CAS  Google Scholar 

  • Herrera C, Guerra N, Pereira M, Guerrero C (1997) Características geológicas y geoquímicas del Salar de Ascotán. In: Chong G (ed) VII Congreso Geológico Chileno. Universidad Católica del Norte, Antofagasta, pp 732–737

    Google Scholar 

  • Hoeft SE, Kulp TR, Stolz JF, Hollibaugh JT, Oremland RS (2004) Dissimilatory arsenate reduction with sulfide as electron donor: experiments with Mono Lake water and isolation of strain MLMS-1, a chemoautotrophic arsenate respirer. Appl Environ Microbiol 70:2741–2747

    PubMed  Article  CAS  Google Scholar 

  • Hollibaugh JT, Budinoff C, Hollibaugh RA, Ransom B, Bano N (2006) Sulfide oxidation coupled to arsenate reduction by a diverse microbial community in a Soda Lake. Appl Environ Microbiol 72:2043–2049

    PubMed  Article  CAS  Google Scholar 

  • Hoover RB, Pikuta EV, Bej AK, Marsic D, Whitman WB, Tang J, Krader P (2003) Spirochaeta americana sp nov., a new haloalkaliphilic, obligately anaerobic spirochaete isolated from soda Mono Lake in California. Int J Syst Evol Microbiol 53:815–821

    PubMed  Article  CAS  Google Scholar 

  • Huong NL, Itoh K, Suyama K (2007) Diversity of 2,4-dichlorophenoxyacetic ccid (2,4-D) and 2,4,5-trichlorophenoxyacetic acid (2,4,5-T)-degrading bacteria in vietnamese soils. Microbes Environ 22:243–256

    Article  Google Scholar 

  • Ishikawa M, Ishizaki S, Yamamoto Y, Yamasato K (2002) Paraliobacillus ryukyuensis gen. nov., sp nov., a new Gram-positive, slightly halophilic, extremely halotolerant, facultative anaerobe isolated from a decomposing marine alga. J Gen Appl Microbiol 48:269–279

    PubMed  Article  CAS  Google Scholar 

  • Ishikawa M, Nakajima K, Itamiya Y, Furukawa S, Yamamoto Y, Yamasato K (2005) Halolactibacillus halophilus gen. nov., sp nov and Halolactibacillus miurensis sp nov., halophilic and alkaliphilic marine lactic acid bacteria constituting a phylogenetic lineage in Bacillus rRNA group 1. Int J Syst Evol Microbiol 55:2427–2439

    PubMed  Article  CAS  Google Scholar 

  • Kaye JZ, Sylvan JB, Edwards KJ, Baross JA (2010) Halomonas and Marinobacter ecotypes from hydrothermal vent, subseafloor and deep-sea environments. FEMS Microbiol Ecol 75:123–133

    PubMed  Article  Google Scholar 

  • Kim HM, Hwang CY, Cho BC (2010) Arcobacter marinus sp. nov. Int J Syst Evol Microbiol 60:531–536

    PubMed  Article  CAS  Google Scholar 

  • Kuai L, Nair AA, Polz MF (2001) Rapid and simple method for the most-probable-number estimation of arsenic-reducing bacteria 67:3168–3173

  • Kulp TR, Han S, Saltikov CW, Lanoil BD, Zargar K, Oremland RS (2007) Effects of imposed salinity gradients on dissimilatory arsenate reduction, sulfate reduction, and other microbial processes in sediments from two California soda lakes. Appl Environ Microbiol 73:5130–5137

    PubMed  Article  CAS  Google Scholar 

  • Kulp TR, Hoeft SE, Asao M, Madigan MT, Hollibaugh JT, Fisher JC, Stolz JF, Culbertson CW, Miller LG, Oremland RS (2008) Arsenic (III) fuels anoxygenic photosynthesis in hot spring biofilms from Mono Lake, California. Science 321:967–970

    PubMed  Article  CAS  Google Scholar 

  • Ledbetter RN, Connon SA, Neal AL, Dohnalkova A, Magnuson TS (2007a) Biogenic mineral production by a novel arsenic-metabolizing thermophilic bacterium from the Alvord Basin, Oregon. Appl Environ Microbiol 73:5928–5936

    PubMed  Article  CAS  Google Scholar 

  • Ledbetter RN, Deobald LA, Paszczynsk AJ, Magnuson TS (2007b) Directed proteomics applied to the detection and characterization of arsenic-transforming enzymes in complex communities from the Alvord Basin hydrothermal system. Geochim Cosmochim Acta 71:A552–A552

    Google Scholar 

  • Li W, Godzik A (2006) Cd-hit: a fast program for clustering and comparing large sets of protein or nucleotide sequences. Bioinformatics 22:1658–1659

    PubMed  Article  CAS  Google Scholar 

  • Lloyd JR, Oremland RS (2006) Microbial transformations of arsenic in the environment: from soda lakes to aquifers. Elements 2:85–90

    Article  CAS  Google Scholar 

  • Martins RF, Davids W, Abu Al-Soud W, Levander F, Radstrom P, Hatti-Kaul R (2001) Starch-hydrolyzing bacteria from Ethiopian soda lakes. Extremophiles 5:135–144

    PubMed  Article  CAS  Google Scholar 

  • Marzorati M, Wittebolle L, Boon N, Daffonchio D, Verstraete W (2008) How to get more out of molecular fingerprints: practical tools for microbial ecology. Environ Microbiol 10:1571–1581

    PubMed  Article  CAS  Google Scholar 

  • Montes MJ, Bozal N, Mercade E (2008) Marinobacter guineae sp. nov., a novel moderately halophilic bacterium from an Antarctic environment. Int J Syst Evol Microbiol 58:1346–1349

    PubMed  Article  CAS  Google Scholar 

  • Muyzer G, de Waal EC, Uitterlinden AG (1993) Profiling of complex microbial populations by denaturing gradient gel electrophoresis analysis of polymerase chain reaction-amplified genes coding for 16S rRNA. Appl Environ Microbiol 59:695–700

    PubMed  CAS  Google Scholar 

  • Newman DK, Kennedy EK, Coates JD, Ahmann D, Ellis DJ, Lovley DR, Morel FM (1997) Dissimilatory arsenate and sulfate reduction in Desulfotomaculum auripigmentum sp. nov. Arch Microbiol 168:380–388

    PubMed  Article  CAS  Google Scholar 

  • Nielsen P, Fritze D, Priest FG (1995) Phenetic diversity of alkaliphilic bacillus strains—proposal for 9 new species. Microbiology 141:1745–1761

    Article  CAS  Google Scholar 

  • Ordonez OF, Flores MR, Dib JR, Paz A, Farias ME (2009) Extremophile culture collection from Andean lakes: extreme pristine environments that host a wide diversity of microorganisms with tolerance to UV radiation. Microb Ecol 58:461–473

    PubMed  Article  Google Scholar 

  • Oremland RS, Stolz JF, Hollibaugh JT (2004) The microbial arsenic cycle in Mono Lake, California. FEMS Microbiol Ecol 48:15–27

    PubMed  Article  CAS  Google Scholar 

  • Oremland RS, Kulp TR, Blum JS, Hoeft SE, Baesman S, Miller LG, Stolz JF (2005) A microbial arsenic cycle in a salt-saturated, extreme environment. Science 308:1305–1308

    PubMed  Article  CAS  Google Scholar 

  • Oremland RS, Saltikov CW, Wolfe-Simon F, Stolz JF (2009) Arsenic in the evolution of earth and extraterrestrial ecosystems. Geomicrobiol J 26:522–536

    Article  CAS  Google Scholar 

  • Oren A (1999) Bioenergetic aspects of halophilism. Microbiol Mol Biol Rev 63:334–348

    PubMed  CAS  Google Scholar 

  • Read S, Marzorati M, Guimaraes BCM, Boon N (2011) Microbial resource management revisited: successful parameters and new concepts. Appl Microbiol Biotechnol 90:861–871

    PubMed  Article  CAS  Google Scholar 

  • Reddy Raghavan, Sarita Prakash, Nagesh N, Delille D, Shivaji (2003) Halomonas glaciei sp. nov. isolated from fast ice of Adelie Land, Antarctica. Extremophiles 7:55–61

    PubMed  CAS  Google Scholar 

  • Risacher F, Alonso H (1996) Geochemistry of the Salar de Atacama. 2. Water evolution. Rev Geol Chile 23:123–134

    CAS  Google Scholar 

  • Risacher F, Fritz B (2009) Origin of Salts and Brine Evolution of Bolivian and Chilean Salars. Aquat Geochem 15:123–157

    Article  CAS  Google Scholar 

  • Risacher F, Alonso H, Salazar C (1999) Geoquímica de aguas en cuencas cerradas: I, II y III Regiones—Chile. Technical Report S.I.T. No. 51. In: Convenio de Cooperación DGA, UCN, IRD. Santiago, Chile

  • Romero L, Alonso H, Campano P, Fanfani L, Cidu R, Dadea C, Keegan T, Thornton I, Farago M (2003) Arsenic enrichment in waters and sediments of the Rio Loa (Second Region, Chile). Appl Geochem 18:1399–1416

    Google Scholar 

  • Saikia SP, Jain V, Khetarpal S, Aravind S (2007) Dinitrogen fixation activity of Azospirillum brasilense in maize (Zea mays). Curr Sci India 93:1296–1300

    CAS  Google Scholar 

  • Schmidt M, Prieme A, Stougaard P (2006) Bacterial diversity in permanently cold and alkaline ikaite columns from Greenland. Extremophiles 10:551–562

    PubMed  Article  CAS  Google Scholar 

  • Seifert K, Waligorska M, Laniecki M (2010) Brewery wastewaters in photobiological hydrogen generation in presence of Rhodobacter sphaeroides O.U. 001. Int J Hydrogen Energ 35:4085–4091

    Article  CAS  Google Scholar 

  • Shivaji S, Suresh K, Chaturvedi P, Dube S, Sengupta S (2005) Bacillus arsenicus sp. nov., an arsenic-resistant bacterium isolated from a siderite concretion in West Bengal, India. Int J Syst Evol Microbiol 55:1123–1127

    PubMed  Article  CAS  Google Scholar 

  • Slyemi D, Moinier D, Brochier-Armanet C, Bonnefoy V, Johnson DB (2011) Characteristics of a phylogenetically ambiguous, arsenic-oxidizing Thiomonas sp., Thiomonas arsenitoxydans strain 3As(T) sp. nov. Arch Microbiol 193:439–449

    PubMed  Article  CAS  Google Scholar 

  • Stevens H, Ulloa O (2008) Bacterial diversity in the oxygen minimum zone of the eastern tropical South Pacific. Environ Microbiol 10:1244–1259

    PubMed  Article  CAS  Google Scholar 

  • Stoertz GE, Ericksen GE (1974) Geology of salars in Northern Chile. Geol Surv Prof Paper 811–876

  • Surkov A, Dubinina G, Lysenko A, Glockner F, Kuever J (2001) Dethiosulfovibrio russensis sp. nov., Dethiosulfovibrio marinus sp. nov. and Dethiosulfovibrio acidaminovorans sp. nov., novel anaerobic, thiosulfate- and sulfur-reducing bacteria isolated from ‘Thiodendron’ sulfur mats in different saline environments. Int J Syst Evol Microbiol 51:327–337

    PubMed  CAS  Google Scholar 

  • Switzer Blum J, Burns Bindi A, Buzzelli J, Stolz JF, Oremland RS (1998) Bacillus arsenicoselenatis, sp. nov., and Bacillus selenitireducens, sp. nov.: two haloalkaliphiles from Mono Lake, California that respire oxyanions of selenium and arsenic. Arch Microbiol 171:19–30

    PubMed  Article  CAS  Google Scholar 

  • Takai K, Moser DP, Onstott TC, Spoelstra N, Pfiffner SM, Dohnalkova A, Fredrickson JK (2001) Alkaliphilus transvaalensis gen. nov., sp. nov., an extremely alkaliphilic bacterium isolated from a deep South African gold mine. Int J Syst Evol Microbiol 51:1245–1256

    PubMed  CAS  Google Scholar 

  • Takai K, Moyer CL, Miyazaki M, Nogi Y, Hirayama H, Nealson KH, Horikoshi K (2005) Marinobacter alkaliphilus sp. nov., a novel alkaliphilic bacterium isolated from subseafloor alkaline serpentine mud from Ocean Drilling Program Site 1200 at South Chamorro Seamount, Mariana Forearc. Extremophiles 9:17–27

    Google Scholar 

  • Takeuchi M, Kawahata H, Gupta LP, Kita N, Morishita Y, Ono Y, Komai T (2007) Arsenic resistance and removal by marine and non-marine bacteria. J. Biotechnol 127:434–442

    Google Scholar 

  • Toffin L, Webster G, Weightman AJ, Fry JC, Prieur D (2004) Molecular monitoring of culturable bacteria from deep-sea sediment of the Nankai Trough, Leg 190 Ocean Drilling Program. FEMS Microbiol Ecol 48:357–367

    PubMed  Article  CAS  Google Scholar 

  • Vartoukian SR, Palmer RM, Wade WG (2007) The division Synergistes. Anaerobe 13:99–106

    PubMed  Article  CAS  Google Scholar 

  • Walsh DA, Zaikova E, Howes CG, Song YC, Wright JJ, Tringe SG, Tortell PD, Hallam SJ (2009) Metagenome of a versatile chemolithoautotroph from expanding oceanic dead zones. Science 326:578–582

    PubMed  Article  CAS  Google Scholar 

  • Wolfe-Simon F, Blum JS, Kulp TR, Gordon GW, Hoeft SE, Pett-Ridge J, Stolz JF, Webb SM, Weber PK, Davies PC, Anbar AD, Oremland RS (2010) A bacterium that can grow by using arsenic instead of phosphorus. Science 332:1163–1166

    PubMed  Article  Google Scholar 

  • Yamamura S, Yamashita M, Fujimoto N, Kuroda M, Kashiwa M, Sei K, Fujita M, Ike M (2007) Bacillus selenatarsenatis sp nov., a selenate- and arsenate-reducing bacterium isolated from the effluent drain of a glass-manufacturing plant. Int J Syst Evol Microbiol 57:1060–1064

    PubMed  Article  CAS  Google Scholar 

  • Zhang DC, Li HR, Xin YH, Liu HC, Chen B, Ch ZM, Zhou PJ, Yu Y (2008) Marinomonas arctica sp nov., a psychrotolerant bacterium isolated from the Arctic. Int J Syst Evol Microbiol 58:1715–1718

    PubMed  Article  CAS  Google Scholar 

Download references

Acknowledgments

This work was supported by funds provided by the BBVA Foundation project BIOARSENICO and the Chilean Government through FONDECYT Project 1100795 from the Science and Technology Chilean Commission (CONICYT). We also would like to thank the A. v. Humboldt Stiftung for the donation of part of the equipment used in this project, as well as V. Iturriaga, M. J. Demergasso and M.V. Coalova for their collaboration.

Author information

Affiliations

Authors

Corresponding author

Correspondence to Cecilia Demergasso.

Additional information

Communicated by A. Oren.

Electronic supplementary material

Below is the link to the electronic supplementary material.

Supplementary material 1 (DOC 329 kb)

Rights and permissions

Reprints and Permissions

About this article

Cite this article

Lara, J., Escudero González, L., Ferrero, M. et al. Enrichment of arsenic transforming and resistant heterotrophic bacteria from sediments of two salt lakes in Northern Chile. Extremophiles 16, 523–538 (2012). https://doi.org/10.1007/s00792-012-0452-1

Download citation

  • Received:

  • Accepted:

  • Published:

  • Issue Date:

  • DOI: https://doi.org/10.1007/s00792-012-0452-1

Keywords

  • Arsenic microbial metabolisms
  • Arsenic-resistant microorganisms
  • Northern Chile