Skip to main content

Root-end surgery with leucocyte- and platelet-rich fibrin and an occlusive membrane: a randomized controlled clinical trial on patients’ quality of life

Abstract

Objectives

The aim of this study was to investigate the impact of the adjunct of leukocyte- and platelet-rich fibrin (LPRF) to root-end surgery (RES) on the patients’ quality of life during the first week post RES.

Materials and methods

Patients in need of RES were recruited for an open randomized controlled clinical trial (RCT) with a 2 × 2 factorial design. They were randomly allocated to the test (+LPRF) and control (−LPRF) group. Each group was subsequently divided into two strata: with or without an occlusive membrane (Bio-Gide®, Geistlich Biomaterials, Switzerland; BG). After RES, the patients completed daily for 1 week a visual analog pain scale (VAS) and a 5-point Likert-type scale questionnaire concerning activity impairment, occurrence of symptoms, and medication use.

Results

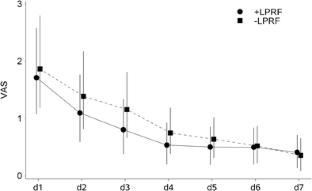
Fifty patients were included, equally divided between the test and control group. Only one patient in the “−LPRF+BG-group” had to take additional antibiotics due to a persistent jaw swelling. There was no evidence (p ≤ 0.05) for a difference between the test and control group in VAS, occurrence of pain symptoms, impairment of daily activities, and medication use, over the 7 days and daily during the 7 days post RES.

Conclusions

There was no statistical significant evidence for improvement of patients’ quality of life during the first week post RES with LPRF in comparison with RES without LPRF.

Clinical relevance

Although LPRF seems to be an inexpensive and autologous agent to reduce pain and swelling post RES, this RCT does not provide a statistical significant evidence for that.

This is a preview of subscription content, access via your institution.

Fig. 1
Fig. 2
Fig. 3

References

  1. Wuchenich G, Meadows D, Torabinejad M (1994) A comparison between two root end preparation techniques in human cadavers. J Endod 20(6):279–282

    PubMed  Article  Google Scholar 

  2. Saunders WP (2008) A prospective clinical study of periradicular surgery using mineral trioxide aggregate as a root-end filling. J Endod 34(6):660–665. https://doi.org/10.1016/j.joen.2008.03.002

    PubMed  Article  Google Scholar 

  3. Setzer FC, Kohli MR, Shah SB, Karabucak B, Kim S (2012) Outcome of endodontic surgery: a meta-analysis of the literature—part 2: comparison of endodontic microsurgical techniques with and without the use of higher magnification. J Endod 38(1):1–10. https://doi.org/10.1016/j.joen.2011.09.021

    PubMed  Article  Google Scholar 

  4. Setzer FC, Shah SB, Kohli MR, Karabucak B, Kim S (2010) Outcome of endodontic surgery: a meta-analysis of the literature—part 1: comparison of traditional root-end surgery and endodontic microsurgery. J Endod 36(11):1757–1765. https://doi.org/10.1016/j.joen.2010.08.007

    PubMed  Article  Google Scholar 

  5. Sathorn C, Parahos P (2011) Monitoring the outcome of root canal re-treatments. Endod Top 19:153–162

    Article  Google Scholar 

  6. Tawil PZ, Saraiya VM, Galicia JC, Duggan DJ (2015) Periapical microsurgery: the effect of root dentinal defects on short- and long-term outcome. J Endod 41(1):22–27. https://doi.org/10.1016/j.joen.2014.08.007

    PubMed  Article  Google Scholar 

  7. Kontogiannis TG, Tosios KI, Kerezoudis NP, Krithinakis S, Christopoulos P, Sklavounou A (2015) Periapical lesions are not always a sequelae of pulpal necrosis: a retrospective study of 1521 biopsies. Int Endod J 48(1):68–73. https://doi.org/10.1111/iej.12276

    PubMed  Article  Google Scholar 

  8. Engler WO, Ramfjord SP, Hiniker JJ (1966) Healing following simple gingivectomy. A tritiated thymidine radioautographic study. I. Epithelialization. J Periodontol 37(4):298–308. https://doi.org/10.1902/jop.1966.37.4.298

    PubMed  Article  Google Scholar 

  9. Nyman S, Lindhe J, Karring T, Rylander H (1982) New attachment following surgical treatment of human periodontal disease. J Clin Periodontol 9(4):290–296. https://doi.org/10.1111/j.1600-051X.1982.tb02095.x

    PubMed  Article  Google Scholar 

  10. Nyman S, Gottlow J, Lindhe J, Karring T, Wennstrom J (1987) New attachment formation by guided tissue regeneration. J Periodontal Res 22(3):252–254

    PubMed  Article  Google Scholar 

  11. Caton JG, DeFuria EL, Polson AM, Nyman S (1987) Periodontal regeneration via selective cell repopulation. J Periodontol 58(8):546–552. https://doi.org/10.1902/jop.1987.58.8.546

    PubMed  Article  Google Scholar 

  12. Melcher AH (1976) On the repair potential of periodontal tissues. J Periodontol 47(5):256–260. https://doi.org/10.1902/jop.1976.47.5.256

    PubMed  Article  Google Scholar 

  13. Bashutski JD, Wang HL (2009) Periodontal and endodontic regeneration. J Endod 35(3):321–328. https://doi.org/10.1016/j.joen.2008.11.023

    PubMed  Article  Google Scholar 

  14. Del Fabbro M, Ceresoli V, Lolato A, Taschieri S (2012) Effect of platelet concentrate on quality of life after periradicular surgery: a randomized clinical study. J Endod 38(6):733–739. https://doi.org/10.1016/j.joen.2012.02.022

    PubMed  Article  Google Scholar 

  15. Angerame D, De Biasi M, Kastrioti I, Franco V, Castaldo A, Maglione M (2015) Application of platelet-rich fibrin in endodontic surgery: a pilot study. G Ital Endod 29(2):51–57. https://doi.org/10.1016/j.gien.2015.08.003

    Google Scholar 

  16. Taschieri S, Corbella S, Tsesis I, Del Fabbro M (2014) Impact of the use of plasma rich in growth factors (PRGF) on the quality of life of patients treated with endodontic surgery when a perforation of sinus membrane occurred. A comparative study. Oral Maxillofac Surg 18(1):43–52. https://doi.org/10.1007/s10006-012-0386-x

    PubMed  Article  Google Scholar 

  17. Goyal B, Tewari S, Duhan J, Sehgal PK (2011) Comparative evaluation of platelet-rich plasma and guided tissue regeneration membrane in the healing of apicomarginal defects: a clinical study. J Endod 37(6):773–780. https://doi.org/10.1016/j.joen.2011.03.003

    PubMed  Article  Google Scholar 

  18. Dohan Ehrenfest DM, Andia I, Zumstein MA, Zhang CQ, Pinto NR, Bielecki T (2014) Classification of platelet concentrates (platelet-rich plasma-PRP, platelet-rich fibrin-PRF) for topical and infiltrative use in orthopedic and sports medicine: current consensus, clinical implications and perspectives. Muscles Ligaments Tendons J 4(1):3–9

    PubMed  PubMed Central  Google Scholar 

  19. Marx RE (2004) Platelet-rich plasma: evidence to support its use. J Oral Maxillofac Surg 62(4):489–496. https://doi.org/10.1016/j.joms.2003.12.003

    PubMed  Article  Google Scholar 

  20. Wirz S, Dietrich M, Flanagan TC, Bokermann G, Wagner W, Schmitz-Rode T, Jockenhoevel S (2011) Influence of platelet-derived growth factor-AB on tissue development in autologous platelet-rich plasma gels. Tissue Eng A 17(13–14):1891–1899. https://doi.org/10.1089/ten.TEA.2010.0610

    Article  Google Scholar 

  21. Dohan DM, Choukroun J (2006) Platelet-rich fibrin (PRF): a second-generation platelet concentrate. Part II: platelet-related biologic features. Oral Surg Oral Med Oral Pathol Oral Radiol Endod 101(3):E45–E50. https://doi.org/10.1016/j.tripleo.2005.07.009

    PubMed  Article  Google Scholar 

  22. Reed MD, Van Nostran W (2014) Assessing pain intensity with the visual analog scale: a plea for uniformity. J Clin Pharmacol 54(3):241–244. https://doi.org/10.1002/jcph.250

    PubMed  Article  Google Scholar 

  23. Shugars DA, Benson K, White RP Jr, Simpson KN, Bader JD (1996) Developing a measure of patient perceptions of short-term outcomes of third molar surgery. J Oral Maxillofac Surg 54(12):1402–1408. https://doi.org/10.1016/S0278-2391(96)90253-0

    PubMed  Article  Google Scholar 

  24. Meschi N, Castro AB, Vandamme K, Quirynen M, Lambrechts P (2016) The impact of autologous platelet concentrates on endodontic healing: a systematic review. Platelets 27(7):613–633. https://doi.org/10.1080/09537104.2016.1226497

    PubMed  Article  Google Scholar 

  25. Del Fabbro M, Corbella S, Sequeira-Byron P, Tsesis I, Rosen E, Lolato A, Taschieri S (2016) Endodontic procedures for retreatment of periapical lesions. The. Cochrane Database Syst Rev 10:Cd005511. https://doi.org/10.1002/14651858.CD005511.pub3

    PubMed  Google Scholar 

  26. Tal H, Kozlovsky A, Artzi Z, Nemcovsky CE, Moses O (2008) Cross-linked and non-cross-linked collagen barrier membranes disintegrate following surgical exposure to the oral environment: a histological study in the cat. Clin Oral Implants Res 19(8):760–766. https://doi.org/10.1111/j.1600-0501.2008.01546.x

    PubMed  Article  Google Scholar 

  27. Bottino MC, Thomas V, Schmidt G, Vohra YK, Chu TM, Kowolik MJ, Janowski GM (2012) Recent advances in the development of GTR/GBR membranes for periodontal regeneration—a materials perspective. Dent Mater 28(7):703–721. https://doi.org/10.1016/j.dental.2012.04.022

    PubMed  Article  Google Scholar 

  28. Aminoshariae A, Kulild JC (2016) Evidence-based recommendations for antibiotic usage to treat endodontic infections and pain: a systematic review of randomized controlled trials. J Am Dent Assoc 147(3):186–191. https://doi.org/10.1016/j.adaj.2015.11.002

    PubMed  Article  Google Scholar 

  29. Segura-Egea JJ, Gould K, Sen BH, Jonasson P, Cotti E, Mazzoni A, Sunay H, Tjaderhane L, Dummer PMH (2017) European Society of Endodontology position statement: the use of antibiotics in endodontics. Int Endod J 51(1):20–25. https://doi.org/10.1111/iej.12781

    PubMed  Article  Google Scholar 

Download references

Author information

Affiliations

Authors

Corresponding author

Correspondence to Nastaran Meschi.

Ethics declarations

Conflict of interest

The authors declare that they have no conflict of interest.

Ethical approval

Ethical approval was obtained from the Medical Ethics Committee UZ KU Leuven (KU Leuven, Leuven, Belgium; registration number: S58015/B322201525314).

Informed consent

Informed consent was obtained from all individual participants included in the study.

Electronic supplementary material

ESM 1

(DOC 352 kb)

Rights and permissions

Reprints and Permissions

About this article

Verify currency and authenticity via CrossMark

Cite this article

Meschi, N., Fieuws, S., Vanhoenacker, A. et al. Root-end surgery with leucocyte- and platelet-rich fibrin and an occlusive membrane: a randomized controlled clinical trial on patients’ quality of life. Clin Oral Invest 22, 2401–2411 (2018). https://doi.org/10.1007/s00784-018-2343-z

Download citation

  • Received:

  • Accepted:

  • Published:

  • Issue Date:

  • DOI: https://doi.org/10.1007/s00784-018-2343-z

Keywords

  • Blood platelets
  • Endodontics
  • Periapical periodontitis
  • Cysts
  • Membranes