Skip to main content

Nutrition and metabolism of glutamate and glutamine in fish

Abstract

Glutamate (Glu) and glutamine (Gln) comprise a large proportion of total amino acids (AAs) in fish in the free and protein-bound forms. Both Glu and Gln are synthesized de novo from other α-amino acids and ammonia. Although these two AAs had long been considered as nutritionally non-essential AAs for an aquatic animal, they must be included adequately in its diet to support optimal health (particularly intestinal health) and maximal growth. In research on fish nutrition, Glu has been used frequently as an isonitrogenous control on the basis of the assumption that this AA has no nutritional or physiological function. In addition, purified diets used for feeding fish generally lack glutamine. As functional AAs, Glu and Gln are major metabolic fuels for tissues of fish (including the intestine, liver, kidneys, and skeletal muscle), and play important roles not only in protein synthesis but also in glutathione synthesis and anti-oxidative reactions. The universality of Glu and Gln as abundant intracellular AAs depends on their enormous versatility in metabolism. Dietary supplementation with Glu and Gln to farmed fish can improve their growth performance, intestinal development, innate and adaptive immune responses, skeletal muscle development and fillet quality, ammonia removal, and the endocrine status. Glu (mainly as monosodium glutamate), glutamine, or AminoGut (a mixture of Glu and Gln) is a promising feed additive to reduce the use of fishmeal, while gaining the profitability of global aquaculture production. Thus, the concept of dietary requirements of fish for Glu and Gln is a paradigm shift in the nutrition of aquatic animals (including fish).

This is a preview of subscription content, access via your institution.

Fig. 1
Fig. 2
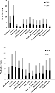
Fig. 3

source feedstuffs generally contain more protein than plant-source feedstuffs. Data are adapted from Li et al. (2011). GLN glutamine, GLU glutamate

Abbreviations

AA:

Amino acids

BCAA:

Branched-chain amino acid

GABA:

γ-Aminobutyrate

GAD:

Glutamate decarboxylase

GDH:

Glutamate dehydrogenase

Gln:

Glutamine

Glu:

Glutamate

GS:

Glutamine synthetase

GSH:

Glutathione

α-KG:

α-Ketoglutarate

MSG:

Monosodium glutamate

MTOR:

Mechanistic target of rapamycin

NEAA:

Nutritionally nonessential amino acid

References

  • Andersen SM, Waagbo R, Espe M (2016) Functional amino acids in fish nutrition, health and welfare. Front Biosci 8:143–169

    Google Scholar 

  • Anderson PM, Broderius MA, Fong KC, Tsui KNT, Chew SF, Ip YK (2002) Glutamine synthetase expression in liver, muscle, stomach and intestine of Bostrichthys sinensis in response to exposure to a high exogenous ammonia concentration. J Exp Biol 205:2053–2065

    CAS  PubMed  Google Scholar 

  • Apper-Bossard E, Feneuil A, Wagner A, Respondek F (2013) Use of vital wheat gluten in aquaculture feeds. Aquatic Biosyst 9:21

    Google Scholar 

  • Ballantyne JS (2001) Amino acid metabolism. Fish Physiol 20:77–107

    CAS  Google Scholar 

  • Baquet A, Lavoinne A, Hue L (1991) Comparison of the effects of various amino acids on glycogen synthesis, lipogenesis and ketogenesis in isolated rat hepatocytes. Biochem J 273:57–62

    CAS  PubMed  PubMed Central  Google Scholar 

  • Bernier NJ, Van Der Kraak G, Farrell AP, Brauner CJ (2009) Fish physiology: fish neuroendocrinology, vol 28. Academic Press, San Diego

    Google Scholar 

  • Bever K, Chenoweth M, Dunn A (1981) Amino acid gluconeogenesis and glucose turnover in kelp bass (Paralabrax sp.). Am J Physiol 240:R246–252

    CAS  PubMed  Google Scholar 

  • Bicudo ÁJ, Sado RY, Cyrino JE (2009) Dietary lysine requirement of juvenile pacu Piaractus mesopotamicus (Holmberg, 1887). Aquaculture 297:151–156

    CAS  Google Scholar 

  • Blachier F, Lancha AH Jr, Boutry C, Tomé D (2010) Alimentary proteins, amino acids and cholesterolemia. Amino Acids 38:15–22

    CAS  PubMed  Google Scholar 

  • Brose SA, Marquardt AL, Golovko MY (2014) Fatty acid biosynthesis from glutamate and glutamine is specifically induced in neuronal cells under hypoxia. J Neurochem 129:400–412

    CAS  PubMed  Google Scholar 

  • Buentello JA, Gatlin DM III (2000) The dietary arginine requirement of channel catfish (Ictalurus punctatus) is influenced by endogenous synthesis of arginine from glutamic acid. Aquaculture 188:311–321

    CAS  Google Scholar 

  • Buentello JA, Gatlin DM III (2001) Plasma citrulline and arginine kinetics in juvenile channel catfish, Ictalurus punctatus, given oral gabaculine. Fish Physiol Biochem 24:105–112

    CAS  Google Scholar 

  • Caballero-Solares A, Viegas I, Salgado MC, Siles AM, Sáez A, Metón I, Baanante IV, Fernández F (2015) Diets supplemented with glutamate or glutamine improve protein retention and modulate gene expression of key enzymes of hepatic metabolism in gilthead seabream (Sparus aurata) juveniles. Aquaculture 444:79–87

    CAS  Google Scholar 

  • Campbell JW, Vorhaben JE (1983) Mitochondrial ammoniagenesis in liver of the channel catfish Ictalurus punctatus. Am J Physiol 244:R709–717

    CAS  PubMed  Google Scholar 

  • Campbell JW, Aster PL, Vorhaben JE (1983) Mitochondrial ammoniagenesis in liver of the channel catfish Ictalurus punctatus. Am J Physiol 244:R709–R717

    CAS  PubMed  Google Scholar 

  • Cardenas P (1985) Influence of dietary composition on gluconeogenesis from L-(U-14C) glutamate in rainbow trout (Salmo gairdneri). Comp Biochem Physiol A 81:391–395

    PubMed  Google Scholar 

  • Chamberlin ME, Glemet HC, Ballantyne JS (1991) Glutamine metabolism in a holostean (Amia calva) and teleost fish (Salvelinus namaycush). Am J Physiol 260:R159–166

    CAS  PubMed  Google Scholar 

  • Chang EWY, Loong AM, Wong WP, Chew SF, Wilson JM, Ip YK (2007) Changes in tissue free amino acid contents, branchial Na+/K+-ATPase activity and bimodal breathing pattern in the freshwater climbing perch, Anabas testudineus (Bloch), during seawater acclimation. J Exp Zool 307A:708–723

    CAS  Google Scholar 

  • Cheng Z, Buentello A, Gatlin DM III (2011) Effects of dietary arginine and glutamine on growth performance, immune responses and intestinal structure of red drum, Sciaenops ocellatus. Aquaculture 319:247–252

    CAS  Google Scholar 

  • Cheng Z, Gatlin DM III, Buentello A (2012) Dietary supplementation of arginine and/or glutamine influences growth performance, immune responses and intestinal morphology of hybrid striped bass (Morone chrysops× Morone saxatilis). Aquaculture 362:39–43

    Google Scholar 

  • Chew SF, Gan J, Ip YK (2005) Nitrogen metabolism and excretion in the swamp eel, Monopterus albus, during 6 or 40 days of aestivation in mud. Physiol Biochem Zool 78:620–629

    CAS  PubMed  Google Scholar 

  • Chiu YN, Austic RE, Rumsey GL (1986) Urea cycle activity and arginine formation in rainbow trout (Salmo gairdneri). J Nutr 116:1640–1650

    CAS  PubMed  Google Scholar 

  • Chu ZJ, Gong Y, Lin YC, Yuan YC, Cai WJ, Gong SY, Luo Z (2014) Optimal dietary methionine requirement of juvenile Chinese sucker, Myxocyprinus asiaticus. Aquac Nutr 20:253–264

    CAS  Google Scholar 

  • Conceição LE, Rønnestad I, Tonheim SK (2002) Metabolic budgets for lysine and glutamate in unfed herring (Clupea harengus) larvae. Aquaculture 206:305–312

    Google Scholar 

  • Coutinho FF (2017) Potential benefits of functional amino acids in fish nutrition. Ph.D. Dissertation. Universidade do Porto, Porto, Portugal

  • Craig S (2017) Understanding fish nutrition, feeds, and feeding. Virginia Cooperative Extension, Virginia Tech. www.ext.vt.edu. Accessed 22 Jan 2020

  • Da Silva LCR, Furuya WM, Natali MRM, Schamber CR, Dos Santos LD, Vidal LVO (2010) Productive performance and intestinal morphology of Nile tilapia juvenile fed diets with l-glutamine and l-glutamate. Revista Brasileira de Zootecnia 39:1175–1179

    Google Scholar 

  • Daniels D, Joe F, Diachenko G (1995) Determination of free glutamic acid in a variety of foods by high-performance liquid chromatography. Food Addit Contam 12:21–29

    CAS  PubMed  Google Scholar 

  • DépêcheJ GR, Daufresne S, Chiapello H (1979) Urea content and urea production via the ornithine-urea cycle pathway during the ontogenic development of two teleost fishes. Comp Biochem Physiol A 63:51–56

    Google Scholar 

  • Dhanasiri AK, Fernandes JM, Kiron V (2012) Glutamine synthetase activity and the expression of three glul paralogues in zebrafish during transport. Comp Biochem Physiol B 163:274–284

    CAS  PubMed  Google Scholar 

  • Driedzic WR, West JL, Sephton DH, Raymond JA (1998) Enzyme activity levels associated with the production of glycerol as an antifreeze in liver of rainbow smelt (Osmerus mordax). Fish Physiol Biochem 18:125–134

    CAS  Google Scholar 

  • El-Etr SH, Yan L, Cirillo JD (2001) Fish monocytes as a model for mycobacterial host-pathogen interactions. Infect Immunol 69:7310–7317

    CAS  Google Scholar 

  • Fang YZ, Yang S, Wu G (2002) Free radicals, antioxidants, and nutrition. Nutrition 18:872–879

    CAS  PubMed  Google Scholar 

  • Gao Y, Lu S, Wu M, Yao W, Jin Z, Wu X (2019) Effects of dietary protein levels on growth, feed utilization and expression of growth related genes of juvenile giant grouper (Epinephelus lanceolatus). Aquaculture 504:369–374

    CAS  Google Scholar 

  • Gaylord TG, Barrows FT, Rawles SD (2008) Apparent digestibility of gross nutrients from feedstuffs in extruded feeds for rainbow trout, Oncorhynchus mykiss. J World Aquac Soc 39:827–834

    Google Scholar 

  • Goldspink G (1996) Muscle growth and muscle function: a molecular biological perspective. Res Vet Sci 60:193–204

    CAS  PubMed  Google Scholar 

  • Goto Y, Shimizu J, Okazaki T, Shukuya R (1979) Purification and characterization of cytosol phosphoenolpyruvate carboxykinase from bullfrog (Rana catesbeiana) liver. J Biochem 86:71–78

    CAS  PubMed  Google Scholar 

  • Goto Y, Ohki Y, Shimizu J, Shukuya R (1981) Cytosolic and mitochondrial phosphoenolpyruvate carboxykinase of the bullfrog, Rana catesbeiana, liver. Biochim Biophys Acta 657:383–389

    CAS  PubMed  Google Scholar 

  • Graciano TS, Michelato M, Neu DH, Vidal LVO, Xavier TO, de Moura LB, Furuya WM (2014) Performance and body composition of Nile tilapia fed diets supplemented with AminoGut® during sex reversal period. Ciências Agrárias, Londrina 35:2779–2789

    CAS  Google Scholar 

  • Gu M, Bai N, Xu B, Xu X, Jia Q, Zhang Z (2017) Protective effect of glutamine and arginine against soybean meal-induced enteritis in the juvenile turbot (Scophthalmus maximus). Fish Shellfish Immunol 70:95–105

    CAS  PubMed  Google Scholar 

  • Hawkins RA, Viña JR (2016) How glutamate is managed by the blood–brain barrier. Biology (Basel) 5:37

    Google Scholar 

  • He WL, Furukawa K, Leyva-Jimenez H, Bailey CA, Wu G (2018) Oxidation of energy substrates by enterocytes of 0- to 42-day-old chickens. Poult Sci 97(1):3

    Google Scholar 

  • Higaki S, Shimada M, Kawamoto K, Todo K, Kawasaki T, Tooyama I, Fujioka Y, Sakai N, Takada T (2017) In vitro differentiation of fertile sperm from cryopreserved spermatogonia of the endangered endemic cyprinid honmoroko (Gnathopogon caerulescens). Sci Rep 7:42852

    CAS  PubMed  PubMed Central  Google Scholar 

  • Hishida T, Nakano E (1954) Respiratory metabolism during fish development. Embryologia 2:67–79

    CAS  Google Scholar 

  • Hoar WS, Randall DJ, Iwama G, Nakanishi T (1997) The fish immune system: organism, pathogen, and environment, vol 15. Academic Press, San Diego

    Google Scholar 

  • Hou YQ, Wu G (2017) Nutritionally nonessential amino acids: a misnomer in nutritional sciences. Adv Nutr 8:137–139

    CAS  PubMed  PubMed Central  Google Scholar 

  • Hou YQ, Wu G (2018) L-Glutamate nutrition and metabolism in swine. Amino Acids 50:1497–1510

    CAS  PubMed  Google Scholar 

  • Hou YQ, Yin YL, Wu G (2015) Dietary essentiality of “nutritionally nonessential amino acids” for animals and humans. Exp Biol Med 240:997–1007

    CAS  Google Scholar 

  • Hou YQ, He WL, Hu SD, Wu G (2019) Composition of polyamines and amino acids in plant-source foods for human consumption. Amino Acids 51:1153–1165

    CAS  PubMed  Google Scholar 

  • Hu K, Zhang JX, Feng L, Jiang WD, Wu P, Liu Y, Jiang J, Zhou XQ (2015) Effect of dietary glutamine on growth performance, non-specific immunity, expression of cytokine genes, phosphorylation of target of rapamycin (TOR), and anti-oxidative system in spleen and head kidney of Jian carp (Cyprinus carpio var. Jian). Fish Physiol Biochem 41:635–649

    CAS  PubMed  Google Scholar 

  • Hu R, Qu F, Tang J, Zhao Q, Yan J, Zhou Z, Zhou Y, Liu Z (2017) Cloning, expression, and nutritional regulation of the glutamine synthetase gene in Ctenopharyngodon idellus. Comp Biochem Physiol B 212:70–76

    CAS  PubMed  Google Scholar 

  • Hughes SG, Rumsey GL, Nesheim MC (1983) Branched-chain amino acid aminotransferase activity in the tissues of lake trout. Comp Biochem Physiol B 76:429–431

    CAS  PubMed  Google Scholar 

  • Ingebrigtsen IA, Berge GM, Ruyter B, Kjær MA, Mørkøre T, Sørensen M, Gjøen T (2014) Growth and quality of Atlantic cod (Gadus morhua) fed with high and low fat diets supplemented with glutamate. Aquaculture 433:367–376

    CAS  Google Scholar 

  • Ip YK, Chew SF (2010) Ammonia production, excretion, toxicity, and defense in fish: a review. Front Physiol 1:134

    CAS  PubMed  PubMed Central  Google Scholar 

  • Ip YK, Loong AM, Ching B, Tham GHY, Wong WP, Chew SF (2009) The freshwater Amazonian stingray, Potamotrygon motoro, up-regulates glutamine synthetase activity and protein abundance, and accumulates glutamine when exposed to brackish (15‰) water. J Exp Biol 212:3828–3836

    CAS  PubMed  Google Scholar 

  • Jia SC, Li XY, Zheng SX, Wu G (2017) Amino acids are major energy substrates for tissues of hybrid striped bass and zebrafish. Amino Acids 49:2053–2063

    CAS  PubMed  Google Scholar 

  • Jiang J, Zheng T, Zhou XQ, Liu Y, Feng L (2009) Influence of glutamine and vitamin E on growth and antioxidant capacity of fish enterocytes. Aquac Nutr 15:409–414

    CAS  Google Scholar 

  • Jiang J, Shi D, Zhou XQ, Yin L, Feng L, Liu Y, Jiang WD, Zhao Y (2015) Effects of glutamate on growth, antioxidant capacity, and antioxidant-related signaling molecule expression in primary cultures of fish enterocytes. Fish Physiol Biochem 41:1143–1153

    CAS  PubMed  Google Scholar 

  • Jiang J, Wu X-Y, Zhou X-Q, Feng L (2016) Glutamate ameliorates copper-induced oxidative injury by regulating antioxidant defences in fish intestine. Br J Nutr 116:70–79

    CAS  PubMed  Google Scholar 

  • Jinap S, Hajeb P (2010) Glutamate. Its applications in food and contribution to health. Appetite 55:1–10

    CAS  PubMed  Google Scholar 

  • Johnston IA (2001) Muscle development and growth, vol 18. Gulf Professional Publishing, Oxford

    Google Scholar 

  • Jow LY, Chew SF, Lim CB, Anderson PM, Ip YK (1999) The marble goby Oxyeleotris marmoratus activates hepatic glutamine synthetase and detoxifies ammonia to glutamine during air exposure. J Exp Biol 202:237–245

    CAS  PubMed  Google Scholar 

  • Jürss K, Bastrop R (1995) Amino acid metabolism in fish. Biochemistry and molecular biology of fishes, vol 4. Elsevier, New York, pp 159–189

    Google Scholar 

  • Kaushik SJ, Seiliez I (2010) Protein and amino acid nutrition and metabolism in fish: current knowledge and future needs. Aquac Res 41:322–332

    CAS  Google Scholar 

  • Kim SK, Takeuchi T, Yokoyama M, Murata Y (2003) Effect of dietary supplementation with taurine, b-alanine, and GABA on the growth of juvenile and fingerling Japanese flounder Paralichthys olivaceus. Fish Sci 69:242–248

    CAS  Google Scholar 

  • Knox D, Walton MJ, Cowey CB (1980) Distribution of enzymes of glycolysis and gluconeogenesis in fish tissues. Marine Biol 56:7–10

    CAS  Google Scholar 

  • Kultz D, Jurss K (1993) Biochemical characterization of isolated branchial mitochondria-rich cells of Oreochromis mossambicus acclimated to fresh water or hypersaline sea water. J Comp Physiol 163B:406–412

    Google Scholar 

  • Land SC, Hochachka PW (1993) Compartmentation of liver phosphoenolpyruvate carboxykinase in the aquatic turtle pseudemy’s scripta elegans: a reassessment. J Exp Biol 182:271–273

    CAS  Google Scholar 

  • Lariviere K, Samia M, Lister A, Van Der Kraak G, Trudeau VL (2005) Sex steroid regulation of brain glutamic acid decarboxylase (GAD) mRNA is season-dependent and sexually dimorphic in the goldfish Carassius auratus. Mol Brain Res 141:1–9

    CAS  PubMed  Google Scholar 

  • Larsson T, Koppang EO, Espe M, Terjesen BF, Krasnov A, Moreno HM, Rørvik KA, Thomassen M, Mørkøre T (2014) Fillet quality and health of Atlantic salmon (Salmo salar L.) fed a diet supplemented with glutamate. Aquaculture 426:288–295

    Google Scholar 

  • Leatherland JF, Lin L, Renaud R (2004) Effect of glutamate on basal steroidogenesis by ovarian follicles of rainbow trout (Oncorhynchus mykiss). Comp Biochem Physiol B 138:71–80

    PubMed  Google Scholar 

  • LeMoine CM, Walsh PJ (2013) Ontogeny of ornithine-urea cycle gene expression in zebrafish (Danio rerio). Am J Physiol 304:R991–1000

    CAS  Google Scholar 

  • Levi G, Morisi G, Coletti A, Catanzaro R (1974) Free amino acids in fish brain: normal levels and changes upon exposure to high ammonia concentrations in vivo, and upon incubation of brain slices. Comp Biochem Physiol A 49:623–636

    CAS  PubMed  Google Scholar 

  • Li P, Wu G (2018) Roles of dietary glycine, proline and hydroxyproline in collagen synthesis and animal growth. Amino Acids 50:29–38

    CAS  PubMed  Google Scholar 

  • Li XY, Wu G (2019) Oxidation of energy substrates in tissues of Largemouth bass (Micropterus salmoides). J Anim Sci 97(Suppl 3):68–69

    Google Scholar 

  • Li P, Wu G (2020) Composition of amino acids and related nitrogenous nutrients in feedstuffs for animal diets. Amino Acids 52:523–542

    CAS  PubMed  Google Scholar 

  • Li P, Yin YL, Li DF, Kim SW, Wu G (2007) Amino acids and immune function. Br J Nutr 98:237–252

    CAS  PubMed  Google Scholar 

  • Li P, Mai KS, Trushenski J, Wu G (2009) New developments in fish amino acid nutrition: towards functional and environmentally oriented aquafeeds. Amino Acids 37:43–53

    PubMed  Google Scholar 

  • Li X, Rezaei R, Li P, Wu G (2011) Composition of amino acids in feed ingredients for animal diets. Amino Acids 40:1159–1168

    CAS  PubMed  Google Scholar 

  • Li HT, Feng L, Jiang WD, Liu Y, Jiang J, Li SH, Zhou XQ (2013) Oxidative stress parameters and anti-apoptotic response to hydroxyl radicals in fish erythrocytes: protective effects of glutamine, alanine, citrulline and proline. Aquatic Toxicol 126:169–179

    CAS  Google Scholar 

  • Lindley TE, Scheiderer CL, Walsh PJ, Wood CM, Bergman HL, Bergman AL, Laurent P, Wilson P, Anderson PM (1999) Muscle as the primary site of urea cycle enzyme activity in an alkaline lake-adapted tilapia, Oreochromis alcalicus grahami. J Biol Chem 274:29858–29861

    CAS  PubMed  Google Scholar 

  • Liu Y, Feng L, Jiang J, Liu Y, Zhou XQ (2009) Effects of dietary protein levels on the growth performance, digestive capacity and amino acid metabolism of juvenile Jian carp (Cyprinus carpiovar. Jian). Aquacult Res 40:1073–1082

    CAS  Google Scholar 

  • Liu Z, Zhou Y, Liu SJ, Zhong H, Zhang C, Kang XW, Liu Y (2012) Characterization and dietary regulation of glutamate dehydrogenase in different ploidy fishes. Amino Acids 43:2339–2348

    CAS  PubMed  Google Scholar 

  • Liu JW, Mai KS, Xu W, Ai QH (2015) Effects of dietary glutamine on survival, growth performance, activities of digestive enzyme, antioxidant status and hypoxia stress resistance of half-smooth tongue sole (Cynoglossus semilaevis Günther) post larvae. Aquaculture 446:48–56

    CAS  Google Scholar 

  • Luo Z, Liu YJ, Mai KS, Tian LX, Yang HJ, Tan XY, Liu DH (2005) Dietary L-methionine requirement of juvenile grouper Epinephelus coioides at a constant dietary cystine level. Aquaculture 249:409–418

    CAS  Google Scholar 

  • Luo Z, Liu YJ, Mai KS, Tian LX, Tan XY, Yang HJ, Liang GY, Liu DH (2006) Quantitative l-lysine requirement of juvenile grouper Epinephelus coioides. Aquac Nutr 12:165–172

    CAS  Google Scholar 

  • Mahapatro N, Patnaik BK (1993) Age-dependent changes in some aspects of glutamate metabolism in the brain of the teleost, channa punctatus. I. Ammonia and glutamine contents and glutamate dehydrogenase activity. Mech Ageing Dev 68:47–57

    CAS  PubMed  Google Scholar 

  • Mai K, Wan J, Ai Q, Xu W, Liufu Z, Zhang L, Zhang C, Li H (2006a) Dietary methionine requirement of large yellow croaker, Pseudosciaena crocea R. Aquaculture 253:564–572

    CAS  Google Scholar 

  • Mai K, Zhang L, Ai Q, Duan Q, Zhang C, Li H, Wan J, Liufu Z (2006b) Dietary lysine requirement of juvenile Japanese seabass, Lateolabrax japonicus. Aquaculture 258:535–542

    CAS  Google Scholar 

  • Marcouli PA, Alexis MN, Andriopoulou A, Iliopoulou-Georgudaki J (2006) Dietary lysine requirement of juvenile gilthead seabream Sparus aurata L. Aquac Nutr 12:25–33

    CAS  Google Scholar 

  • Martyniuk CJ, Awad R, Hurley R, Finger TE, Trudeau VL (2007) Glutamic acid decarboxylase 65, 67, and GABA-transaminase mRNA expression and total enzyme activity in the goldfish (Carassius auratus) brain. Brain Res 1147:154–166

    CAS  PubMed  Google Scholar 

  • Michelato M, de Oliveira Vidal LV, Xavier TO, de Moura LB, de Almeida FLA, Pedrosa VB, Furuya VRB, Furuya WM (2016) Dietary lysine requirement to enhance muscle development and fillet yield of finishing Nile tilapia. Aquaculture 457:124–130

    CAS  Google Scholar 

  • Milligan CL (1997) The role of cortisol in amino acid mobilization and metabolism following exhaustive exercise in rainbow trout (Oncorhynchus mykiss Walbaum). Fish Physiol Biochem 16:119–128

    CAS  Google Scholar 

  • Mommsen TP, Vijayan MM, Moon TW (1999) Cortisol in teleosts: dynamics, mechanisms of action, and metabolic regulation. Rev Fish Biol Fish 9:211–268

    Google Scholar 

  • Moyes CD, Moon TW, Ballantyne JS (1986) Oxidation of amino acids, Krebs cycle intermediates, fatty acids and ketone bodies by Raja erinacea liver mitochondria. J Exp Zool A 237:119–128

    CAS  Google Scholar 

  • Nagai M (1973) Carbohydrate metabolism in fish-IV. Effect of dietary composition on metabolism of acetate-U-14C and L-alanine-U-14C in carp. Nippon Suisan Gakkaishi 39:633–643

    CAS  Google Scholar 

  • Nagai M, Ikeda S (1971) Carbohydrate metabolism in fish. 2. Effect of dietary composition on metabolism of glucose-6-14C in carp. Bulle Jpn Soc Sci Fish 37:410–414

    CAS  Google Scholar 

  • Nagai M, Ikeda S (1972) Carbohydrate metabolism in fish: III. Effects of dietary composition on metabolism of glucose-U-14C and glutamate-U-14C in carp. Bull Jpn Soc Sci Fish 38:137–143

    CAS  Google Scholar 

  • Nilsson GE (1992) Evidence for a role of GABA in metabolic depression during anoxia in crucian carp (Carassius carassius). J Exp Biol 164:243–259

    CAS  Google Scholar 

  • Niu J, Du Q, Lin HZ, Cheng YQ, Huang Z, Wang Y, Wang J, Chen YF (2013) Quantitative dietary methionine requirement of juvenile golden pompano Trachinotus ovatus at a constant dietary cystine level. Aquac Nutr 19:677–686

    CAS  Google Scholar 

  • NRC (National Research Council (2011) Nutrient requirements of fish and shrimp. National Academy Press, Washington

    Google Scholar 

  • Oehme M, Grammes F, Takle H, Zambonino-Infante JL, Refstie S, Thomassen MS, Rørvik KA, Terjesen BF (2010) Dietary supplementation of glutamate and arginine to Atlantic salmon (Salmo salar L.) increases growth during the first autumn in sea. Aquaculture 310:156–163

    CAS  Google Scholar 

  • Olney JW, Sharpe LG (1969) Brain lesions in an infant rhesus monkey treated with monosodium glutamate. Science 166:386–388

    CAS  PubMed  Google Scholar 

  • Østbye TK, Ruyter B, Standal IB, Stien LH, Bahuaud D, Dessen JE, Latif MS, Fyhn-Terjesen B, Rørvik KA, Mørkøre T (2018) Functional amino acids stimulate muscle development and improve fillet texture of Atlantic salmon. Aquac Nutr 24:14–26

    Google Scholar 

  • Peh WYX, Chew SF, Ching BY, Loong AM, Ip YK (2010) Roles of intestinal glutamate dehydrogenase and glutamine synthetase in environmental ammonia detoxification in the euryhaline four-eyed sleeper, Bostrychus sinensis. Aquatic Toxicol 98:91–98

    CAS  Google Scholar 

  • Pereira RT, Rosa PV, Gatlin DM III (2017) Glutamine and arginine in diets for Nile tilapia: effects on growth, innate immune responses, plasma amino acid profiles and whole-body composition. Aquaculture 473:135–144

    CAS  Google Scholar 

  • Peres H, Oliva-Teles A (2005) The effect of dietary protein replacement by crystalline amino acid on growth and nitrogen utilization of turbot Scophthalmus maximus juveniles. Aquaculture 250:755–764

    CAS  Google Scholar 

  • Peres H, Oliva-Teles A (2008) Lysine requirement and efficiency of lysine utilization in turbot (Scophthalmus maximus) juveniles. Aquaculture 275:283–290

    CAS  Google Scholar 

  • Pérez-Jiménez A, Peres H, Oliva-Teles A (2014) Effective replacement of protein-bound amino acids by crystalline amino acids in Senegalese sole (Solea senegalensis) juveniles. Aquac Nutr 20:60–68

    Google Scholar 

  • Peter RE, Kah O, Paulencu CR, Cook H, Kyle AL (1980) Brain lesions and short-term endocrine effects of monosodium L-glutamate in goldfish, Carassius auratus. Cell Tissue Res 212:429–442

    CAS  PubMed  Google Scholar 

  • Pohlenz C, Buentello A, Bakke AM, Gatlin DM III (2012a) Free dietary glutamine improves intestinal morphology and increases enterocyte migration rates, but has limited effects on plasma amino acid profile and growth performance of channel catfish Ictalurus punctatus. Aquaculture 370–371:32–39

    Google Scholar 

  • Pohlenz C, Buentello A, Mwangi W, Gatlin DM III (2012b) Arginine and glutamine supplementation to culture media improves the performance of various channel catfish immune cells. Fish Shellfish Immunol 32:762–768

    CAS  PubMed  Google Scholar 

  • Qiyou X, Qing Z, Hong X, Changan W, Dajiang S (2011) Dietary glutamine improves growth performance and intestinal digestion/absorption ability in young hybrid sturgeon (Acipenser schrenckii ♀ × Huso dauricus ♂). J Appl Ichthyol 27:721–726

    CAS  Google Scholar 

  • Qu F, Liu Z, Hu Y, Zhao Q, Zhou Y, Liu Z, Zhong L, Lu S, Li J (2019) Effects of dietary glutamine supplementation on growth performance, antioxidant status and intestinal function in juvenile grass carp (Ctenopharyngodon idella). Aquac Nutr 25:609–621

    CAS  Google Scholar 

  • Rawles SD, Green BW, McEntire ME, Gaylord TG, Barrows FT (2018) Reducing dietary protein in pond production of hybrid striped bass (Morone chrysops × M. saxatilis): effects on fish performance and water quality dynamics. Aquaculture 490:217–227

    CAS  Google Scholar 

  • Rezaei R, Knabe DA, Tekwe CD, Dahanayaka S, Ficken MD, Fielder SE, Eide SJ, Lovering SL, Wu G (2013) Dietary supplementation with monosodium glutamate is safe and improves growth performance in postweaning pigs. Amino Acids 44:911–923

    CAS  PubMed  Google Scholar 

  • Rombout JH, Abelli L, Picchietti S, Scapigliati G, Kiron V (2011) Teleost intestinal immunology. Fish Shellfish Immunol 31:616–626

    CAS  PubMed  Google Scholar 

  • Rossi W Jr, Davis DA (2012) Replacement of fishmeal with poultry by-product meal in the diet of Florida pompano Trachinotus carolinus L. Aquaculture 338:160–166

    Google Scholar 

  • Rubino JG, Zimmer AM, Wood CM (2014) An in vitro analysis of intestinal ammonia handling in fasted and fed freshwater rainbow trout (Oncorhynchus mykiss). J Comp Physiol B 184:91–105

    CAS  PubMed  Google Scholar 

  • Rungruangsak-Torrissen K, Moss R, Andresen L, Berg A, Waagbø R (2006) Different expressions of trypsin and chymotrypsin in relation to growth in Atlantic salmon (Salmo salar L.). Fish Physiol Biochem 32:7–23

    CAS  PubMed  PubMed Central  Google Scholar 

  • Saha N, Das L, Dutta S (1999) Types of carbamyl phosphate synthetases and subcellular localization of urea cycle and related enzymes in air-breathing walking catfish, Clarias batrachus. J Exp Zool 283:121–130

    CAS  Google Scholar 

  • Saha N, Dutta S, Häussinger D (2000) Changes in free amino acid synthesis in the perfused liver of an air-breathing walking catfish, Clarias batrachus infused with ammonium chloride: a strategy to adapt under hyperammonia stress. J Exp Zool 286:13–23

    CAS  PubMed  Google Scholar 

  • Sánchez-Muros MJ, García-Rejón L, García-Salguero L, de laHiguera M, Lupiáñez J (1998) Long-term nutritional effects on the primary liver and kidney metabolism in rainbow trout. Adaptive response to starvation and a high-protein, carbohydrate-free diet on glutamate dehydrogenase and alanine aminotransferase kinetics. Int J Biochem Cell Biol 30:55–63

    PubMed  Google Scholar 

  • Sanderson LA, Wright PA, Robinson JW, Ballantyne JS, Bernier NJ (2010) Inhibition of glutamine synthetase during ammonia exposure in rainbow trout indicates a high reserve capacity to prevent brain ammonia toxicity. J Exp Biol 213:2343–2353

    CAS  PubMed  Google Scholar 

  • Sano C (2009) History of glutamate production. Am J Clin Nutr 90:728S–732S

    CAS  PubMed  Google Scholar 

  • Sinha AK, Giblen T, AbdElgawad H, De Rop M, Asard H, Blust R, De Boeck G (2013) Regulation of amino acid metabolism as a defensive strategy in the brain of three freshwater teleosts in response to high environmental ammonia exposure. Aquatic Toxicol 130–131:86–96

    Google Scholar 

  • Song F, He G, Wu G (2018) Oxidation of energy substrates in enterocytes of hybrid striped bass (Morone chrysops × M. Saxatilis). Aquaculture America Annual Meeting, Las Vegas

    Google Scholar 

  • Stumvoll M, Meyer C, Mitrakou A, Nadkarni V, Gerich JE (1997) Renal glucose production and utilization: new aspects in humans. Diabetologia 40:749–757

    CAS  PubMed  Google Scholar 

  • Su YY, Wu JY, Lam DM (1979) Purification of L-glutamic acid decarboxylase from catfish brain. J Neurochem 33:169–179

    CAS  PubMed  Google Scholar 

  • Tay ASL, Chew SF, Ip YK (2003) The swamp eel Monopterus albus reduces endogenous ammonia production and detoxifies ammonia to glutamine during aerial exposure. J Exp Biol 206:2473–2486

    CAS  PubMed  Google Scholar 

  • Taylor WM, Halperin ML (1975) Effect of glutamate on the control of fatty-acid synthesis in white adipose tissue of the rat. Eur J Biochem 53:411–418

    CAS  PubMed  Google Scholar 

  • Teigland M, Klungsøyr L (1983) Accumulation of alpha-ketoisocaproate from leucine in homogenates of tissues from rainbow trout (Salmo gairdnerii) and rat. An improved method for determination of branched chain keto acids. Comp Biochem Physiol B 75:703–705

    CAS  PubMed  Google Scholar 

  • Tiihonen K, Nikinmaa M (1991) Substrate utilization by carp (Cyprinus carpio) erythrocytes. J Exp Biol 161:509–514

    CAS  Google Scholar 

  • Tok CY, Chew SF, Peh WY, Loong AM, Wong WP, Ip YK (2009) Glutamine accumulation and up-regulation of glutamine synthetase activity in the swamp eel, Monopterus albus (Zuiew), exposed to brackish water. J Exp Biol 212:1248–1258

    CAS  PubMed  Google Scholar 

  • Trichet VV (2010) Nutrition and immunity: an update. Aquac Res 41:356–372

    CAS  Google Scholar 

  • Trudeau VL, Spanswick D, Fraser EJ, Lariviere K, Crump D, Chiu S, MacMillan M, Schulz RW (2000) The role of amino acid neurotransmitters in the regulation of pituitary gonadotropin release in fish. Biochem Cell Biol 78:241–259

    CAS  PubMed  Google Scholar 

  • Tseng YC, Hwang PP (2008) Some insights into energy metabolism for osmoregulation in fish. Comp Biochem Physiol C 148:419–429

    Google Scholar 

  • Turchini GM, Trushenski JT, Glencross BD (2019) Thoughts for the future of aquaculture nutrition: realigning perspectives to reflect contemporary issues related to judicious use of marine resources in aquafeeds. North Am J Aquacult 81:13–39

    Google Scholar 

  • Valdebenito I, Moreno C, Lozano C, Ubilla A (2010) Effect of L-glutamate and glycine incorporated in activation media, on sperm motility and fertilization rate of rainbow trout (Oncorhynchus mykiss) spermatozoa. J Appl Ichthyol 26:702–706

    CAS  Google Scholar 

  • Van den Thillart G (1986) Energy metabolism of swimming trout (Salmo gairdneri)—oxidation rates of palmitate, glucose, lactate, alanine, leucine and glutamate. J Comp Physiol B 156:511–520

    Google Scholar 

  • Van der Boon J, Eelkema FA, Van den Thillart GEEJM, Addink ADF (1992) Influence of anoxia on free amino acid levels in blood, liver and skeletal muscles of the goldfish, Carassius auratus L. Comp Biochem Physiol B 101:193–198

    Google Scholar 

  • Van Waarde A (1988) Biochemistry of non-protein nitrogenous compounds in fish including the use of amino acids for anaerobic energy production. Comp Biochem Physiol B 91:207–228

    Google Scholar 

  • Vedel NE, Korsgaard B, Jensen FB (1998) Isolated and combined exposure to ammonia and nitrite in rainbow trout (Oncorhynchus mykiss): effects on electrolyte status, blood respiratory properties and brain glutamine/glutamate concentrations. Aquatic Toxicol 41:325–342

    CAS  Google Scholar 

  • Verri T, Romano A, Barca A, Kottra G, Daniel H, Storelli C (2010) Transport of di- and tripeptides in teleost fish intestine. Aquac Res 41:641–653

    CAS  Google Scholar 

  • Wagner S, Castel M, Gainer H, Yarom Y (1997) GABA in the mammalian suprachiasmatic nucleus and its role in diurnal rhythmicity. Nature 387:598–603

    CAS  PubMed  Google Scholar 

  • Walsh PJ (1997) Evolution and regulation of urea synthesis and ureotely in (batrachoidid) fishes. Annu Rev Physiol 59:299–323

    CAS  PubMed  Google Scholar 

  • Walsh PJ, Handel-Fernandez ME, Vincek V (1999) Cloning and sequencing of glutamine synthetase cDNA from liver of the ureotelic gulf toadfish (Opsanus beta). Comp Biochem Physiol B 124:251–259

    CAS  PubMed  Google Scholar 

  • Walton MJ, Cowey CB (1977) Aspects of ammoniogenesis in rainbow trout, Salmo gairdneri. Comp Biochem Physiol 57B:143–149

    Google Scholar 

  • Wang D, Maler L (1994) The immunocytochemical localization of glutamate in the electrosensory system of the gymnotiform fish, Apteronotus leptorhynchus. Brain Res 653:215–222

    CAS  PubMed  Google Scholar 

  • Webb JT, Brown GW Jr (1976) Some properties and occurrence of glutamine synthetase in fish. Comp Biochem Physiol B 54:171–175

    CAS  PubMed  Google Scholar 

  • Wilson RP (2002) Amino acids and proteins. In: Halver JE, Hardy RW (eds) Fish nutrition, 3rd edn. Academic Press, San Diego, pp 144–175

    Google Scholar 

  • Wright PA, Anderson PM (2001) Nitrogen excretion, vol 20. Academic Press, San Diego

    Google Scholar 

  • Wright PA, Land MD (1998) Urea production and transport in teleost fishes. Comp Biochem Physiol A 119:47–54

    CAS  Google Scholar 

  • Wright PA, Steele SL, Huitema A, Bernier NJ (2007) Induction of four glutamine synthetase genes in brain of rainbow trout in response to elevated environmental ammonia. J Exp Biol 210:2905–2911

    CAS  PubMed  Google Scholar 

  • Wu G (1998) Intestinal mucosal amino acid catabolism. J Nutr 128:1249–1252

    CAS  PubMed  Google Scholar 

  • Wu G (2009) Amino acids: metabolism, functions, and nutrition. Amino Acids 37:1–17

    PubMed  Google Scholar 

  • Wu G (2010) Functional amino acids in growth, reproduction and health. Adv Nutr 1:31–37

    CAS  PubMed  PubMed Central  Google Scholar 

  • Wu G (2013) Amino acids: biochemistry and nutrition. CRC Press, Boca Raton

    Google Scholar 

  • Wu G (2018) Principles of animal nutrition. CRC Press, Boca Raton

    Google Scholar 

  • Wu G, Morris SM Jr (1998) Arginine metabolism: nitric oxide and beyond. Biochem J 336:1–17

    CAS  PubMed  PubMed Central  Google Scholar 

  • Wu G, Meier SA, Knabe DA (1996) Dietary glutamine supplementation prevents jejunal atrophy in weaned pigs. J Nutr 126:2578–2584

    CAS  PubMed  Google Scholar 

  • Wu G, Wu Z, Dai Z, Yang Y, Wang W, Liu C, Wang B, Wang J, Yin Y (2013) Dietary requirements of “nutritionally non-essential amino acids” by animals and humans. Amino Acids 44:1107–1113

    CAS  PubMed  Google Scholar 

  • Xie F, Ai Q, Mai K, Xu W, Wang X (2012) Dietary lysine requirement of large yellow croaker (Pseudosciaena crocea, Richardson 1846) larvae. Aquacu Res 43:917–928

    CAS  Google Scholar 

  • Xu H, Zhu Q, Wang C, Zhao Z, Luo L, Wang L, Li J, Xu Q (2014) Effect of dietary alanyl-glutamine supplementation on growth performance, development of intestinal tract, antioxidant status and plasma non-specific immunity of young mirror carp (Cyprinus carpio L.). J Northeast Agric Univ (English Edn) 21:37–46

    CAS  Google Scholar 

  • Yan L, Zhou XQ (2006) Dietary glutamine supplementation improves structure and function of intestine of juvenile Jian carp (Cyprinus carpio var. Jian). Aquaculture 256:389–394

    CAS  Google Scholar 

  • Yoshida C, Maekawa M, Bannai M, Yamamoto T (2016) Glutamate promotes nucleotide synthesis in the gut and improves availability of soybean meal feed in rainbow trout. SpringerPlus 5:1021

    PubMed  PubMed Central  Google Scholar 

  • Zhang C, Ai Q, Mai K, Tan B, Li H, Zhang L (2008) Dietary lysine requirement of large yellow croaker, Pseudosciaena crocea R. Aquaculture 283:123–127

    CAS  Google Scholar 

  • Zhang K, Mai K, Xu W, Liufu Z, Zhang Y, Peng M, Chen J, Ai Q (2017) Effects of dietary arginine and glutamine on growth performance, nonspecific immunity, and disease resistance in relation to arginine catabolism in juvenile turbot (Scophthalmus maximus L.). Aquaculture 468:246–254

    CAS  Google Scholar 

  • Zhao Y, Hu Y, Zhou XQ, Zeng XY, Feng L, Liu Y, Jiang WD, Li SH, Li DB, Wu XQ, Wu CM (2015) Effects of dietary glutamate supplementation on growth performance, digestive enzyme activities and antioxidant capacity in intestine of grass carp (Ctenopharyngodon idella). Aquac Nutr 21:935–941

    CAS  Google Scholar 

  • Zhelyazkov G, Stratev D (2019) Effect of monosodium glutamate on growth performance and blood biochemical parameters of rainbow trout (Oncorhynchus mykiss W.). Vet World 12:1008–1012

    CAS  PubMed  PubMed Central  Google Scholar 

  • Zhou F, Shao J, Xu R, Ma J, Xu Z (2010) Quantitative L-lysine requirement of juvenile black sea bream (Sparus macrocephalus). Aquac Nutr 16:194–204

    CAS  Google Scholar 

  • Zhou F, Xiao JX, Hua Y, Ngandzali BO, Shao QJ (2011) Dietary L-methionine requirement of juvenile black sea bream (Sparus macrocephalus) at a constant dietary cystine level. Aquac Nutr 17:469–481

    CAS  Google Scholar 

  • Zhou CP, Song F, Wu G (2018) Catabolism of branched-chain amino acids in tissues of hybrid striped bass (Morone chrysops × M. Saxatilis). Aquaculture America Annual Meeting, Las Vegas

    Google Scholar 

Download references

Acknowledgements

This work was supported by Guangdong Yuehai Feeds Group Co. and Texas A&M AgriLife Research (H-8200). We thank Drs. Gregory Johnson, Duncan MacKenzie and Stephen B. Smith, as well as our graduate students and research staff for helpful discussion.

Author information

Affiliations

Authors

Corresponding author

Correspondence to Guoyao Wu.

Ethics declarations

Conflict of interest

The author declares no conflict of interest.

Ethics statement

This review article does not require either human consent or the approval of animal use.

Additional information

Publisher's Note

Springer Nature remains neutral with regard to jurisdictional claims in published maps and institutional affiliations.

Handling Editor: J. D. Wade.

Rights and permissions

Reprints and Permissions

About this article

Verify currency and authenticity via CrossMark

Cite this article

Li, X., Zheng, S. & Wu, G. Nutrition and metabolism of glutamate and glutamine in fish. Amino Acids 52, 671–691 (2020). https://doi.org/10.1007/s00726-020-02851-2

Download citation

  • Received:

  • Accepted:

  • Published:

  • Issue Date:

  • DOI: https://doi.org/10.1007/s00726-020-02851-2

Keywords

  • Glutamate
  • Glutamine
  • Fish
  • Metabolism
  • Health
  • Functions