Abstract
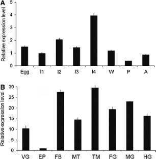
Alanine aminotransferase (ALT) plays important physiological and biochemical roles in insect. In this study, a full-length Ldalt cDNA was cloned from Leptinotarsa decemlineata. It was ubiquitously expressed in the eggs, larvae, pupae and adults. In the adults, Ldalt mRNA was widely distributed in thorax muscles, fat body, midgut, foregut, hindgut, Malpighian tubules, ventral ganglion and epidermis, with the expression levels from the highest to the lowest. Two double-stranded RNAs (dsRNAs) (dsLdalt1 and dsLdalt2) targeting Ldalt were constructed and bacterially expressed. After adults fed on dsLdalt1- and dsLdalt2-immersed foliage for 3 day, Ldalt mRNA abundance was significantly decreased by 79.5 and 71.1 %, and ALT activities were significantly reduced by 64.5 and 67.6 %, respectively. Moreover, silencing Ldalt affected free amino acid contents. Lysine was decreased by 100.0 and 100.0 %, and arginine was reduced by 87.5 and 89.4 %, respectively, in the hemolymph from dsLdalt1- and dsLdalt2-ingested beetles, compared with control ones. In contrast, proline was increased by 88.7 and 96.4 %. Furthermore, ingestion of dsLdalt1 and dsLdalt2 significantly decreased flight speed, shortened flight duration time and flight distance. In addition, knocking down Ldalt significantly increased adult mortality. These data imply that LdALT plays important roles in amino acid metabolism and in flight in L. decemlineata.





Similar content being viewed by others
Explore related subjects
Discover the latest articles and news from researchers in related subjects, suggested using machine learning.References
Auerswald L, Gäde G (1999) The fate of proline in the African fruit beetle Pachnoda sinuata. Insect Biochem Mol Biol 29:687–700
Baker M, Ferro D, Porter A (2001) Invasions on large and small scales: management of a well-established crop pest, the Colorado potato beetle. Biol Invasions 3:295–306
Bradford MM (1976) A rapid and sensitive method for the quantitation of microgram quantities of protein utilizing the principle of protein–dye binding. Anal Biochem 72:248–254
Bursell E (1981) The role of proline in energy metabolism. In: Downer RGH (ed) Energy metabolism in insects. Plenum Press, New York, pp 135–154
Candy D, Becker A, Wegener G (1997) Coordination and integration of metabolism in insect flight. Comp Biochem Physiol B Biochem Mol Biol 117:497–512
Chen P, Baker G (1976) l-alanine aminotransferase in the paragonial gland of Drosophila. Insect Biochem 6:441–447
Darriba D, Taboada GL, Doallo R, Posada D (2011) ProtTest 3: fast selection of best-fit models of protein evolution. Bioinformatics 27:1164–1165
DiAntonio A (2006) Glutamate receptors at the Drosophila neuromuscular junction. Int Rev Neurobiol 75:165–179
Etebari K, Mirhoseini SZ, Matindoost L (2005) A study on intraspecific biodiversity of eight groups of silkworm (Bombyx mori) by biochemical markers. Insect Sci 12:87–94
Fan J-M, Wan P-J, Fu Q, Li N, Mu L-L, Li G-Q (2014) Molecular cloning and characterization of two alanine aminotransferase genes in the white-backed planthopper Sogatella furcifera. J Asia Pac Entomol 17:355–361
Felig P (1973) The glucose–alanine cycle. Metabolism 22:179–207
Gäde G (2004) Flight or fight—the need for adipokinetic hormones. Int Congr Ser 1275:134–140
Gäde G, Auerswald L (2002) Beetles’ choice—proline for energy output: control by AKHs. Comp Biochem Physiol Part B 132:117–129
Giulivi C, Ross-Inta C, Horton A, Luckhart S (2008) Metabolic pathways in Anopheles stephensi mitochondria. Biochem J 415:309–316
Inagaki Y, Matsumoto Y, Kataoka K, Matsuhashi N, Sekimizu K (2012) Evaluation of drug-induced tissue injury by measuring alanine aminotransferase (ALT) activity in silkworm hemolymph. BMC Pharmacol Toxicol 13:1–7
Isoe J, Scaraffia PY (2013) Urea synthesis and excretion in Aedes aegypti mosquitoes are regulated by a unique cross-talk mechanism. PLoS One 8:e65393
Jadaho SB, Yang RZ, Lin Q, Hu H, Anania FA (2004) Murine alanine aminotransferase: cDNA cloning, functional expression, and differential gene regulation in mouse fatty liver. Hepatology 39:1297–1302
Khan MA, De Kort CAD (1978) Further evidence for the significance of proline as a substrate for flight in the colorado potato beetle, Leptinotarsa decemlineata. Comp Biochem Physiol B 60:407–411
Larkin MA, Blackshields G, Brown NP, Chenna R, McGettigan PA, McWilliam H, Valentin F, Wallace IM, Wilm A, Lopez R, Thompson JD, Gibson TJ, Higgins DG (2007) Clustal W and Clustal X version 2.0. Bioinformatics 23:2947–2948
Liepman AH, Olsen LJ (2003) Alanine aminotransferase homologs catalyze the glutamate:glyoxylate aminotransferase reaction in peroxisomes of Arabidopsis. Plant Physiol 131:215–227
Mane SD, Mehrotra K (1977) Alanine aminotransferase: properties and distribution in the desert locust, Schistocerca gregaria. Insect Biochem 7:419–426
McAllister CH, Facette M, Holt A, Good AG (2013) Analysis of the enzymatic properties of a broad family of alanine aminotransferases. PLoS One 8:e55032
Mehta PK, Hale TI, Christen P (1993) Aminotransferases: demonstration of homology and division into evolutionary subgroups. Eur J Biochem 214:549–561
Miyashita Y, Dolferus R, Ismond KP, Good AG (2007) Alanine aminotransferase catalyses the breakdown of alanine after hypoxia in Arabidopsis thaliana. Plant J 49:1108–1121
Mordue W, De Kort C (1978) Energy substrates for flight in the Colorado beetle, Leptinotarsa decemlineata Say. J Insect Physiol 24:221–224
Noronha C, Cloutier C (1999) Ground and aerial movement of adult Colorado potato beetle (Coleoptera: Chrysomelidae) in a univoltine population. Can Entomol 131:521–538
Peng L, Schousboe A, Hertz L (1991) Utilization of alpha-ketoglutarate as a precursor for transmitter glutamate in cultured cerebellar granule cells. Neurochem Res 16:29–34
Pfaffl MW (2001) A new mathematical model for relative quantification in real-time RT-PCR. Nucleic Acids Res 29:e45
Scaraffia P, Wells M (2003) Proline can be utilized as an energy substrate during flight of Aedes aegypti females. J Insect Physiol 49:591–601
Scaraffia PY, Isoe J, Murillo A, Wells MA (2005) Ammonia metabolism in Aedes aegypti. Insect Biochem Mol Biol 35:491–503
Scaraffia PY, Zhang Q, Thorson K, Wysocki VH, Miesfeld RL (2010) Differential ammonia metabolism in Aedes aegypti fat body and midgut tissues. J Insect Physiol 56:1040–1049
Schneider M, Chen P (1981) L-Alanine aminotransferase in Drosophila nigromelanica: isolation, characterization and activity during ontogenesis. Insect Biochem 11:657–673
Shi X-Q, Guo W-C, Wan P-J, Zhou L-T, Ren X-L, Tursun A, Fu K-Y, Li G-Q (2013) Validation of reference genes for expression analysis by quantitative real-time PCR in Leptinotarsa decemlineata (Say). BMC Res Notes 6:93
Sinakevitch I, Grau Y, Strausfeld NJ, Birman S (2010) Dynamics of glutamatergic signaling in the mushroom body of young adult Drosophila. Neural Develop 5:1–20
Sohocki MM, Sullivan LS, Harrison WR, Sodergren EJ, Elder FF, Weinstock G, Tanase S, Daiger SP (1997) Human glutamate pyruvate transaminase (GPT): localization to 8q24. 3, cDNA and genomic sequences, and polymorphic sites. Genomics 40:247–252
Stamatakis A (2006) RAxML-VI-HPC: maximum likelihood-based phylogenetic analyses with thousands of taxa and mixed models. Bioinformatics 22:2688–2690
Storey KB, Bailey E (1978) Intracellular distribution of enzymes associated with lipogenesis and gluconeogenesis in fat body of the adult cockroach, Periplaneta. Insect Biochem 8:125–131
Tanase S, Kojima H, Morino Y (1979) Pyridoxal 5′-phosphate binding site of pig heart alanine aminotransferase. Biochemistry 18:3002–3007
Vandesompele J, De Preter K, Pattyn F, Poppe B, Van Roy N, De Paepe A, Speleman F (2002) Accurate normalization of real-time quantitative RT-PCR data by geometric averaging of multiple internal control genes. Genome Biol 3:RESEARCH0034
Wan P-J, Yang L, Wang W-X, Fan J-M, Fu Q, Li G-Q (2014a) Constructing the major biosynthesis pathways for amino acids in the brown planthopper, Nilaparvata lugens Stål (Hemiptera: Delphacidae), based on the transcriptome data. Insect Mol Biol 23:152–164
Wan PJ, Lü D, Guo WC, Ahmat T, Yang L, Mu LL, Li GQ (2014b) Molecular cloning and characterization of a putative proline dehydrogenase gene in the Colorado potato beetle, Leptinotarsa decemlineata (Say). Insect Sci 21:147–158
Ward DE, Kengen SW, van Der Oost J, de Vos WM (2000) Purification and characterization of the alanine aminotransferase from the hyperthermophilic archaeon Pyrococcus furiosus and its role in alanine production. J Bactriol 182:2559–2566
Weber JP, Bolin RJ, Hixon MS, Sherald AF (1992) β-Alanine transaminase activity in black and suppressor of black mutations of Drosophila melanogaster. Biochim Biophys Acta 1115:181–186
Weeda E, de Kort C, Beenakkers A (1979) Fuels for energy metabolism in the Colorado potato beetle, Leptinotarsa decemlineata Say. J Insect Physiol 25:951–955
Weeda E, De Kort CAD, Beenakkers AM (1980a) Oxidation of proline and pyruvate by flight muscle mitochondria of the Colorado beetle, Leptinotarsa decemlineata Say. Insect Biochem 10:305–311
Weeda E, Koopmanschap AB, De Kort CAD, Beenakkers AM (1980b) Proline synthesis in fat body of Leptinotarsa decemlineata. Insect Biochem 10:631–636
Xiao K, Shen K, Zhong J, Li G-Q (2010) Effects of dietary sodium on performance, flight and compensation strategies in the cotton bollworm, Helicoverpa armigera (Hubner) (Lepidoptera: Noctuidae). Front Zool 7:11
Yang R, Park S, Reagan WJ, Goldstein R, Zhong S (2009) Alanine aminotransferase isoenzyme: molecular cloning and quantitative analysis of tissue expression in rats and serum elevation in liver toxicity. Hepatology 49:598–607
Yang L, Fu Q, Hu W-B, Li F, Li G-Q (2012) Transcriptome-based identification of enzymes involved in amino acid biosynthesis in the small brown planthopper, Laodelphax striatellus. Open Access Insect Physiol 4:19–29
Zhou L-T, Jia S, Wan P-J, Kong Y, Guo W-C, Ahmat T, Li G-Q (2013) RNA interference of a putative S-adenosyl-L-homocysteine hydrolase gene affects larval performance in Leptinotarsa decemlineata (Say). J Insect Physiol 59:1049–1056
Acknowledgments
This research was supported by the National Natural Sciences Foundation of China (31272047 and 31360442), a nationally special fund of China for agri-scientific research in the public interest (201103026), a science and technology project of Xinjiang Uygur autonomous region (2013911091) and the fundamental research funds for the central universities (KYTZ201403).
Conflict of interest
The authors state that there is no conflict of interests.
Author information
Authors and Affiliations
Corresponding author
Additional information
Handling Editor: C. Schiene-Fischer.
Rights and permissions
About this article
Cite this article
Wan, PJ., Fu, KY., Lü, FG. et al. Knockdown of a putative alanine aminotransferase gene affects amino acid content and flight capacity in the Colorado potato beetle Leptinotarsa decemlineata . Amino Acids 47, 1445–1454 (2015). https://doi.org/10.1007/s00726-015-1978-1
Received:
Accepted:
Published:
Issue Date:
DOI: https://doi.org/10.1007/s00726-015-1978-1


