Skip to main content

Expression of transglutaminase-2 isoforms in normal human tissues and cancer cell lines: dysregulation of alternative splicing in cancer

Abstract

The multiple enzymatic activities and functions of transglutaminase type 2 (TG2) may be attributed to alternative TG2 molecules produced by differential splicing of TG2 mRNA. Different RNA transcripts of the human TG2 gene (TGM2) have been identified, but the expression of TG2 multiple transcripts has never been systematically addressed. We have confirmed and rationalized the main TG2 variants and developed a screening assay for the detection of alternative splicing of TG2, based on real-time reverse-transcription PCR. We have quantified the multiple TG2 transcripts in a wide range of normal tissues and in cancer cell lines from four different sites of origin. Our data show a significant correlation in the expression of canonical and alternative TG2 isoforms in normal human tissue, but differences in alternative splicing of TG2 in cancer cell lines, suggesting that in cancer cells the alternative splicing of TG2 is a more active process.

This is a preview of subscription content, access via your institution.

Fig. 1
Fig. 2
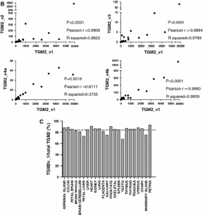
Fig. 3
Fig. 4

References

  • Ai L, Kim WJ, Demircan B, Dyer LM, Bray KJ, Skehan RR, Massoll NA, Brown KD (2008) The transglutaminase 2 gene (TGM2), a potential molecular marker for chemotherapeutic drug sensitivity, is epigenetically silenced in breast cancer. Carcinogenesis 29(3):510–518

    PubMed  CAS  Article  Google Scholar 

  • Antonyak MA, Jansen JM, Miller AM, Ly TK, Endo M, Cerione RA (2006) Two isoforms of tissue transglutaminase mediate opposing cellular fates. Proc Natl Acad Sci USA 103(49):18609–18614

    PubMed  CAS  Article  Google Scholar 

  • Antonyak MA, Li B, Regan AD, Feng Q, Dusaban SS, Cerione RA (2009) Tissue transglutaminase is an essential participant in the epidermal growth factor-stimulated signaling pathway leading to cancer cell migration and invasion. J Biol Chem 284(27):17914–17925

    PubMed  CAS  Article  Google Scholar 

  • Begg GE, Carrington L, Stokes PH, Matthews JM, Wouters MA, Husain A, Lorand L, Iismaa SE, Graham RM (2006) Mechanism of allosteric regulation of transglutaminase 2 by GTP. Proc Natl Acad Sci USA 103(52):19683–19688

    PubMed  CAS  Article  Google Scholar 

  • Citron BA, SantaCruz KS, Davies PJ, Festoff BW (2001) Intron-exon swapping of transglutaminase mRNA and neuronal Tau aggregation in Alzheimer’s disease. J Biol Chem 276(5):3295–3301

    PubMed  CAS  Article  Google Scholar 

  • David CJ, Manley JL (2010) Alternative pre-mRNA splicing regulation in cancer: pathways and programs unhinged. Genes Dev 24(21):2343–2364

    PubMed  CAS  Article  Google Scholar 

  • de Kok JB, Roelofs RW, Giesendorf BA, Pennings JL, Waas ET, Feuth T, Swinkels DW, Span PN (2005) Normalization of gene expression measurements in tumor tissues: comparison of 13 endogenous control genes. Lab Investig; J Tech Methods Pathol 85(1):154–159

    Google Scholar 

  • Fraij BM, Gonzales RA (1996) A third human tissue transglutaminase homologue as a result of alternative gene transcripts. Biochim Biophys Acta 1306(1):63–74

    PubMed  Article  Google Scholar 

  • Fraij BM, Birckbichler PJ, Patterson MK Jr, Lee KN, Gonzales RA (1992) A retinoic acid-inducible mRNA from human erythroleukemia cells encodes a novel tissue transglutaminase homologue. J Biol Chem 267(31):22616–22623

    PubMed  CAS  Google Scholar 

  • Friedrichs B, Riedmiller H, Goebel HW, Rausch U, Aumuller G (1995) Immunological characterization and activity of transglutaminases in human normal and malignant prostate and in prostate cancer cell lines. Urol Res 23(5):301–310

    PubMed  CAS  Article  Google Scholar 

  • Gentile V, Saydak M, Chiocca EA, Akande O, Birckbichler PJ, Lee KN, Stein JP, Davies PJ (1991) Isolation and characterization of cDNA clones to mouse macrophage and human endothelial cell tissue transglutaminases. J Biol Chem 266(1):478–483

    PubMed  CAS  Google Scholar 

  • Herman JF, Mangala LS, Mehta K (2006) Implications of increased tissue transglutaminase (TG2) expression in drug-resistant breast cancer (MCF-7) cells. Oncogene 25(21):3049–3058

    PubMed  CAS  Article  Google Scholar 

  • Hwang JY, Mangala LS, Fok JY, Lin YG, Merritt WM, Spannuth WA, Nick AM, Fiterman DJ, Vivas-Mejia PE, Deavers MT, Coleman RL, Lopez-Berestein G, Mehta K, Sood AK (2008) Clinical and biological significance of tissue transglutaminase in ovarian carcinoma. Cancer Res 68(14):5849–5858

    PubMed  CAS  Article  Google Scholar 

  • Jang GY, Jeon JH, Cho SY, Shin DM, Kim CW, Jeong EM, Bae HC, Kim TW, Lee SH, Choi Y, Lee DS, Park SC, Kim IG (2010) Transglutaminase 2 suppresses apoptosis by modulating caspase 3 and NF-kappaB activity in hypoxic tumor cells. Oncogene 29(3):356–367

    PubMed  CAS  Article  Google Scholar 

  • Keren H, Lev-Maor G, Ast G (2010) Alternative splicing and evolution: diversification, exon definition and function. Nat Rev Genet 11(5):345–355

    PubMed  CAS  Article  Google Scholar 

  • Kumar A, Xu J, Brady S, Gao H, Yu D, Reuben J, Mehta K (2010) Tissue transglutaminase promotes drug resistance and invasion by inducing mesenchymal transition in mammary epithelial cells. PLoS One 5(10):e13390

    PubMed  Article  Google Scholar 

  • Lai TS, Liu Y, Li W, Greenberg CS (2007) Identification of two GTP-independent alternatively spliced forms of tissue transglutaminase in human leukocytes, vascular smooth muscle, and endothelial cells. Faseb J 21(14):4131–4143

    PubMed  CAS  Article  Google Scholar 

  • Lin CJ, JR Grandis, TE Craey, SM Gollin, TL Whiteside, WM Koch, RL Ferris, SY Lai (2006) Head and neck squamous cell carcinoma cell lines: established models and rationale for selection. Wiley InterScience. http://www.intersceincewiley.com

  • Livak KJ, Schmittgen TD (2001) Analysis of relative gene expression data using real-time quantitative PCR and the 2 −ΔΔ C(T) method. Methods 25(4):402–408

    PubMed  CAS  Article  Google Scholar 

  • Mann AP, Verma A, Sethi G, Manavathi B, Wang H, Fok JY, Kunnumakkara AB, Kumar R, Aggarwal BB, Mehta K (2006) Overexpression of tissue transglutaminase leads to constitutive activation of nuclear factor-kappaB in cancer cells: delineation of a novel pathway. Cancer Res 66(17):8788–8795

    PubMed  CAS  Article  Google Scholar 

  • Mehta K, Fok J, Miller FR, Koul D, Sahin AA (2004) Prognostic significance of tissue transglutaminase in drug resistant and metastatic breast cancer. Clin Cancer Res 10(23):8068–8076

    PubMed  CAS  Article  Google Scholar 

  • Millevoi S, Vagner S (2010) Molecular mechanisms of eukaryotic pre-mRNA 3′ end processing regulation. Nucleic Acids Res 38(9):2757–2774

    PubMed  CAS  Article  Google Scholar 

  • Neve RM, Chin K, Fridlyand J, Yeh J, Baehner FL, Fevr T, Clark L, Bayani N, Coppe JP, Tong F, Speed T, Spellman PT, DeVries S, Lapuk A, Wang NJ, Kuo WL, Stilwell JL, Pinkel D, Albertson DG, Waldman FM, McCormick F, Dickson RB, Johnson MD, Lippman M, Ethier S, Gazdar A, Gray JW (2006) A collection of breast cancer cell lines for the study of functionally distinct cancer subtypes. Cancer Cell 10(6):515–527

    PubMed  CAS  Article  Google Scholar 

  • Satpathy M, Cao L, Pincheira R, Emerson R, Bigsby R, Nakshatri H, Matei D (2007) Enhanced peritoneal ovarian tumor dissemination by tissue transglutaminase. Cancer Res 67(15):7194–7202

    PubMed  CAS  Article  Google Scholar 

  • Satpathy M, Shao M, Emerson R, Donner DB, Matei D (2009) Tissue transglutaminase regulates matrix metalloproteinase-2 in ovarian cancer by modulating cAMP-response element-binding protein activity. J Biol Chem 284(23):15390–15399

    PubMed  CAS  Article  Google Scholar 

  • Shao M, Cao L, Shen C, Satpathy M, Chelladurai B, Bigsby RM, Nakshatri H, Matei D (2009) Epithelial-to-mesenchymal transition and ovarian tumor progression induced by tissue transglutaminase. Cancer Res 69(24):9192–9201

    PubMed  CAS  Article  Google Scholar 

  • Skill NJ, Johnson TS, Coutts IG, Saint RE, Fisher M, Huang L, El Nahas AM, Collighan RJ, Griffin M (2004) Inhibition of transglutaminase activity reduces extracellular matrix accumulation induced by high glucose levels in proximal tubular epithelial cells. J Biol Chem 279(46):47754–47762

    PubMed  CAS  Article  Google Scholar 

  • Sobel RE, Sadar MD (2005) Cell lines used in prostate cancer research: a compendium of old and new lines–part 1. J Urol 173(2):342–359

    PubMed  CAS  Article  Google Scholar 

  • Srebrow A, Kornblihtt AR (2006) The connection between splicing and cancer. J Cell Sci 119(Pt 13):2635–2641

    PubMed  CAS  Article  Google Scholar 

  • Tee AE, Marshall GM, Liu PY, Xu N, Haber M, Norris MD, Iismaa SE, Liu T (2010) Opposing effects of two tissue transglutaminase protein isoforms in neuroblastoma cell differentiation. J Biol Chem 285(6):3561–3567

    PubMed  CAS  Article  Google Scholar 

  • Verderio EA, Telci D, Okoye A, Melino G, Griffin M (2003) A novel RGD-independent cel adhesion pathway mediated by fibronectin-bound tissue transglutaminase rescues cells from anoikis. J Biol Chem 278(43):42604–42614

    PubMed  CAS  Article  Google Scholar 

  • Verma A, Mehta K (2007) Tissue transglutaminase-mediated chemoresistance in cancer cells. Drug Resist Updat 10(4–5):144–151

    PubMed  CAS  Article  Google Scholar 

  • Walton TJ, McCulloch TA, Rees RC, Bishop MC (2005) Obtaining fresh prostate cancer tissue for research: a novel biopsy needle and sampling technique for radical prostatectomy specimens. Prostate 64(4):382–386

    PubMed  Article  Google Scholar 

Download references

Acknowledgments

Work supported by The John and Lucille van Geest Foundation and Nottingham Trent University (RAE QR-U12 and Research Enhancement Funds). We wish to thank Mr Izhar Burhan (Nottingham Trent University) for help with real-time PCR.

Author information

Affiliations

Authors

Corresponding authors

Correspondence to S. McArdle or E. A. M. Verderio.

Additional information

V. M. Phatak and S. M. Croft contributed equally to this article.

Electronic supplementary material

Below is the link to the electronic supplementary material.

Supplementary material 1 (PPT 562 kb)

Rights and permissions

Reprints and Permissions

About this article

Cite this article

Phatak, V.M., Croft, S.M., Rameshaiah Setty, S.G. et al. Expression of transglutaminase-2 isoforms in normal human tissues and cancer cell lines: dysregulation of alternative splicing in cancer. Amino Acids 44, 33–44 (2013). https://doi.org/10.1007/s00726-011-1127-4

Download citation

  • Received:

  • Accepted:

  • Published:

  • Issue Date:

  • DOI: https://doi.org/10.1007/s00726-011-1127-4

Keywords

  • Transglutaminase-2
  • Alternative splicing
  • Splicing dysregulation
  • Normal tissue
  • Cancer
  • Cell lines