Skip to main content

Foliar application of brassinosteroids alleviates adverse effects of zinc toxicity in radish (Raphanus sativus L.) plants

Abstract

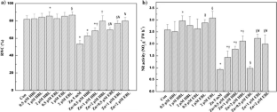
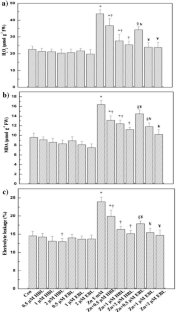
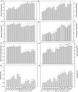
Growth chamber experiments were conducted to investigate the comparative effect of 24-epibrassinolide (EBL) and 28-homobrassinolide (HBL) at 0.5, 1.0, or 2.0 μM concentrations by foliar application on radish plants growing under Zn2+ stress. In radish plants exposed to excess Zn2+, growth was substantially reduced in terms of shoot and root length, fresh and dry weight. However, foliar application of brassinosteroids (BRs) was able to alleviate Zn2+-induced stress and significantly improve the above growth traits. Zinc stress decreased chlorophyll a, b, and carotenoids levels in radish plants. However, follow-up treatment with BRs increased the photosynthetic pigments in stressed and stress-free plants. The treatment of BRs led to reduced levels of H2O2, lipid peroxidation and, electrolyte leakage (ELP) and improved the leaf relative water content (RWC) in stressed plants. Increased levels of carbonyls indicating enhanced protein oxidation under Zn2+ stress was effectively countered by supplementation of BRs. Under Zn2+ stress, the activities of catalase (CAT), ascorbate peroxidase (APX), and superoxidase dismutase (SOD) were increased but peroxidase (POD) and glutathione reductase (GR) decreased. Foliar spraying of BRs enhanced all these enzymatic activities in radish plants under Zn2+ stress. The BRs application greatly enhanced contents of ascorbate (ASA), glutathione (GSH), and proline under Zn2+ stress. The decrease in the activity of nitrate reductase (NR) caused by Zn2+ stress was restored to the level of control by application of BRs. These results point out that BRs application elevated levels of antioxidative enzymes as well as antioxidants could have conferred resistance to radish plants against Zn2+ stress resulting in improved plant growth, relative water content and photosynthetic attributes. Of the two BRs, EBL was most effective in amelioration of Zn2+ stress.

This is a preview of subscription content, access via your institution.

Fig. 1
Fig. 2
Fig. 3
Fig. 4
Fig. 5

References

  • Aebi H (1974) Catalase. In: Bergmeyer HU (ed) Methods of enzymatic analysis. Verlag Chemie/Academic, Weinheim, pp 673–680

    Chapter  Google Scholar 

  • Agami RR (2013) Alleviating the adverse effects of NaCl stress in maize seedlings by pretreating with salicylic acid and 24-epibrassinolide. South Afri J Bot 88:171–177

    Article  CAS  Google Scholar 

  • Alscher RG, Erturk N, Heath LS (2002) Role of superoxide dismutases (SODs) in controlling oxidative stress in plants. J Exp Bot 53:1331–1341

    Article  CAS  PubMed  Google Scholar 

  • Anderson ME (1985) Determination of glutathione and glutathione disulphide in biological samples. Methods Enzymol 113:548–555

    Article  CAS  PubMed  Google Scholar 

  • Arnon DI (1949) Copper enzymes in isolated chloroplast. Polyphenol oxidase in Beta vulagaris. Plant Physiol 4:1–15

    Article  Google Scholar 

  • Bajguz A, Hayat S (2009) Effects of brassinosteroids on the plant responses to environmental stresses. Plant Physiol Biochem 47:1–8

    Article  CAS  PubMed  Google Scholar 

  • Bajguz A, Tretyn A (2003) The chemical structures and occurrence of brassinosteroids in plants. In: Hayat S, Ahamad A (eds) Brassinosteroids bioactivity and crop productivity. Kluwer, Netherland, pp 1–44

    Google Scholar 

  • Bates L, Waldren RP, Teare ID (1973) Rapid determination of free proline for water-stress studies. Plant Soil 39:205–207

    Article  CAS  Google Scholar 

  • Beauchamp CO, Fridovich I (1971) Superoxide dismutase: improved assays and an assay applicable to acrylamide gels. Ann Biochem 44:276–287

    Article  CAS  Google Scholar 

  • Belmonte M, Elhiti M, Waldner B, Stasolla C (2010) Depletion of cellular brassinolide decreases embryo production and disrupts the architecture of the apical meristems in Brassica napus microspore-derived embryos. J Exp Bot 61:2779–2794

    Article  PubMed Central  CAS  PubMed  Google Scholar 

  • Bituer N, Aoues A, Kharoubi O, Slimani M (2011) Oxidative stress induction by lead in leaves of radish (Raphanus sativus) seedlings. Not Sci Biol 3:93–99

    Google Scholar 

  • Broadley MR, White PJ, Hammond JP, Zelko I, Lux A (2007) Zinc in plants: Tansley review. New Phytol 173:677–702

    Article  CAS  PubMed  Google Scholar 

  • Cao S, Xu Q, Cao Y, Qian K, An K, Zhu Y, Binzeng H, Zhao H, Kuai B (2005) Loss-of-function mutations in DET2 gene lead to an enhanced resistance to oxidative stress in Arabidopsis. Physiol Plant 123:57–66

    Article  CAS  Google Scholar 

  • Clouse SD (2011) Brassinosteroids. Arabidopsis Book 9:e0151. doi:10.1199/tab.0151

    Article  PubMed Central  PubMed  Google Scholar 

  • Cui JX, Zhou YH, Ding JG, Xia XJ, Shi K, Chen SC, Asami T, Chen ZX, Yu JQ (2011) Role of nitric oxide in hydrogen peroxide-dependent induction of abiotic stress tolerance by brassinosteroids in cucumber. Plant Cell Environ 34:347–358

    Article  CAS  PubMed  Google Scholar 

  • Fridman Y, Savaldi-Goldstein S (2013) Brassinosteroids in growth control: how, when and where. Plant Sci 209:24–31

    Article  CAS  PubMed  Google Scholar 

  • Gill SS, Tuteja N (2010) Reactive oxygen species and antioxidant machinery in abiotic stress tolerance in crop plants. Plant Physiol Biochem 48:909–930

    Article  CAS  PubMed  Google Scholar 

  • Goda H, Shimada Y, Asami T, Fujioka S, Yoshida S (2002) Microarray analysis of brassinosteroid-regulated genes in Arabidopsis. Plant Physiol 130:1319–1334

    Article  PubMed Central  CAS  PubMed  Google Scholar 

  • Hasan SY, Hayat S, Ahamad A (2011) Brassinosteroids protect photosynthetic machinery against the cadmium induced oxidative stress in two tomato cultivars. Chemosphere 84:1446–1451

    Article  CAS  PubMed  Google Scholar 

  • Hayat S, Hasan SA, Yusuf M, Hayat Q, Ahamad A (2010) Effect of 28-homobrassinolide on photosynthesis, fluorescence and antioxidant system in the presence of or absence of salinity and temperature in Vigna radiata. Environ Exp Bot 69:105–112

    Article  CAS  Google Scholar 

  • Hayat S, Yadav S, Wani AS, Irfan M, Ahamad A (2011) Comparative effect of 28-homobrassinolide and 24-epibrassinolide on the growth, carbonic anhydrase and photosynthetic efficiency of Lycopersicon esculentum. Photosynthetica 49:397–404

    Article  CAS  Google Scholar 

  • Heath RL, Packer L (1968) Photoperoxidation in isolated chloroplasts 1. Kinetics and stoichiometry of fatty acid peroxidation. Arch Biochem Biophys 12:189–198

    Article  Google Scholar 

  • Hodges DM, Andrews CJ, Johnson DA, Hamilton RI (1996) Antioxidant compound response to chilling stress in differentially sensitive inbred maize lines. Physiol Plant 98:685–692

    Article  CAS  Google Scholar 

  • Hu YX, Bao F, Li JY (2000) Promotive effect of brassinosteroids on cell division involves a distinct CycD3-induction pathway in Arabidopsis. Plant J 24:693–701

    Article  CAS  PubMed  Google Scholar 

  • Jain R, Srivastava S, Solomon S, Shrivastava AK, Chandra A (2010) Impact of excess zinc on growth parameters, cell division, nutrient accumulation, photosynthetic pigments and oxidative stress of sugar cane (Saccharum spp.). Acta Physiol Plant 32:979–986

    Article  CAS  Google Scholar 

  • Jaworski EG (1971) Nitrate reductase assay in intact plant tissue. Biochem Biol Res Commun 43:1274–1279

    Article  CAS  Google Scholar 

  • Jiang M, Zhang J (2001) Effect of abscisic acid on active oxygen species, antioxidative defense system and oxidative damage in leaves of maize seedlings. Plant Cell Physiol 42:1265–1273

    Article  CAS  PubMed  Google Scholar 

  • Jin H, Do J, Shin SJ, Choi JW, Choi YI, Kim W, Kwon M (2014) Exogenously applied 24-epi brassinolide reduces lignifications and alters cell wall carbohydrate biosynthesis in the secondary xylem of Liriodendron tulipifera. Photochem 101:40–51

    Article  CAS  Google Scholar 

  • Jones MM, Turner NC (1978) Osmotic adjustment in leaves of Sorghum in response to water deficits. Plant Physiol 61:122–126

    Article  PubMed Central  CAS  PubMed  Google Scholar 

  • Kanwar MK, Bharwaj R, Arora P, Chowdhary SP, Sharma P, Kumar S (2012) Plant steroid hormones produced under Ni stress are involved in the regulation of metal uptake and oxidative stress in Brassica juncea L. Chemosphere 86:41–49

    Article  CAS  PubMed  Google Scholar 

  • Kar M, Mishra D (1976) Catalase, peroxidase and polyphenol oxidase activities during rice leaf senescence. Plant Physiol 57:315–319

    Article  PubMed Central  CAS  PubMed  Google Scholar 

  • Khripach VA, Zhabinskii VN, Khripach NB (2003) New practical aspects of brassinosteroids and results of their 10 year agricultural use in Russia and Belarus. In: Hayat S, Ahmad A (eds) Brassinosteroids: bioactivity and crop productivity. Kluwer, Dordrecht, pp 189–230

    Chapter  Google Scholar 

  • Khudsar T, Arshi A, Siddiqi TQ, Mahmooduzzafar IM (2008) Zinc-induced changes in growth characters, foliar properties, and Zn-accumulation capacity of pigeon pea at different stages of plant growth. J Plant Nutr 31:281–306

    Article  CAS  Google Scholar 

  • Lin YF, Aarts MGM (2012) The molecular mechanism of zinc and cadmium stress response in plants. Cell Mol Life Sci 69:3187–3206

    Article  CAS  PubMed  Google Scholar 

  • Lowry OH, Rosebrough NJ, Farr AL, Randall RJ (1951) Protein measurement with the Folin phenol reagent. J Biol Chem 193:265–275

    CAS  PubMed  Google Scholar 

  • Lutts S, Kinet JM, Bouharmont J (1996) NaCl-induced senescence in leaves of rice (Oryza sativa L.) cultivars differing in salinity resistance. Ann Bot 78:389–398

    Article  CAS  Google Scholar 

  • Mathe-Gaspar G, Anton A (2002) Heavy metal uptake by two radish varieties. Acta Biol Szeged 46:113–114

    Google Scholar 

  • Morina F, Jovanovicb L, Mojovicc M, Vidovica M, Pankovicd D, Jovanovic SV (2010) Zinc-induced oxidative stress in Verbascum thapsus caused by an accumulation of reactive oxygen species and quinhydrone in the cell wall. Physiol Plant 140:209–224

    CAS  PubMed  Google Scholar 

  • Mukherjee SP, Choudhari MA (1983) Implications for water stress induced changes in the levels of endogenous ascorbic acid and hydrogen peroxide in Vigna seedlings. Physiol Plant 58:166–170

    Article  CAS  Google Scholar 

  • Nakano Y, Asada K (1981) Hydrogen peroxide is scavenged by ascorbate specific peroxidase in spinach chloroplasts. Plant Cell Physiol 22:867–880

    CAS  Google Scholar 

  • Nie WF, Wang MM, Xia XJ, Zhou YH, Shi K, Chen ZX, Yu JQ (2013) Silencing of tomato RBOH1 and MPK2 abolishes brassinosteroid-induced H2O2 generation and stress tolerance. Plant Cell Environ 36:789–803

    Article  CAS  PubMed  Google Scholar 

  • Prasad MNV (2004) Heavy metal stress in plants; from biomolecules to ecosystems, 2nd edn. Springer, Heidelberg, p 462

    Book  Google Scholar 

  • Pullman GS, Zhang Y, Phan BH (2003) Brassinolide improves embryogenic tissue initiation in conifers and rice. Plant Cell Rep 22:96–104

    Article  CAS  PubMed  Google Scholar 

  • Radić S, Babić M, Skobić D, Roje V, Pevalek-Kozlina B (2010) Ecotoxicological effects of aluminum and zinc on growth and antioxidants in Lemna minor L. Ecotoxicol Environ Saf 7:336

    Google Scholar 

  • Rady MM (2011) Effect of 24-epibrassinolide on growth, yield, antioxidant system and cadmium content of bean (Phaseolus vulagaris L.) plants under salinity and cadmium stress. Sci Hortic 129:232–237

    Article  CAS  Google Scholar 

  • Remans T, Opdenakker K, Guisez Y, Carleer R, Schat H, Vangronsveld J, Cuypers A (2012) Exposure of Arabidopsis thaliana to excess Zn reveals a Zn-specific oxidative stress signature. Environ Exp Bot 84:61–71

    Article  CAS  Google Scholar 

  • Reznick AZ, Packer L (1994) Oxidative damage to proteins: spectrophotometric method for carbonyl assay. Methods Enzymol 233:357–363

    Article  CAS  PubMed  Google Scholar 

  • Sagardoy R, Morales F, Lopez-Millan AF, Abadía A, Abadía J (2009) Effects of zinc toxicity on sugar beet (Beta vulgaris L.) plants grown in hydroponics. Plant Biol 11:339–350

    Article  CAS  PubMed  Google Scholar 

  • Sasaki H (2002) Brassinolide promotes adventitious shoot regeneration from cauliflower hypocotyl segments. Plant Cell Tiss Organ Cult 71:111–116

    Article  CAS  Google Scholar 

  • Shahid M, Pervez MA, Balal RM, Mattson NS, Rashid A, Ahamad R, Ayyub CM, Abbas T (2011) Brassinosteroid (24-epibrassinolide) enhances growth and alleviates the deleterious effects induced by salt stress in pea (Pisum sativum L.). Australian J Crop Sci 5:500–510

    CAS  Google Scholar 

  • Tewari RK, Kumar P, Sharma PN (2008) Morphology and physiology of zinc-stressed mulberry plants. J Plant Nutri Soil Sci 171:286–294

    Article  CAS  Google Scholar 

  • Vaillant N, Monnet F, Hitmi A, Sallanon H, Coudret A (2005) Comparative study of responses in four Datura species to zinc stress. Chemosphere 59:1005–1013

    Article  CAS  PubMed  Google Scholar 

  • Van Assche F, Clijsters H (1990) Effects of metals on enzyme activity in plants. Plant Cell Environ 13:195–206

    Article  Google Scholar 

  • Vardhini BV, Anuradha S, Sujatha E, Rao SSR (2010) Role of brassinosteroids in alleviating various abiotic and biotic stresses—a review. Plant Stress 4:55–61

    Google Scholar 

  • Verma A, Malik CP, Gupta VK (2012) In vitro effects of brassinosteroids on the growth and antioxidant enzyme activities in groundnut, ISRN Agronomy, Vol. 2012, Article ID: 356485 doi:10.5402/2012/356485

  • Vriet C, Russinova E, Reuzeau C (2012) Boosting crop yields with plant steroids. Plant Cell 24:842–857

    Article  PubMed Central  CAS  PubMed  Google Scholar 

  • Wang C, Zhang SH, Wang PF, Hou J, Zhang WJ, Li W, Lin ZP (2009) The effect of excess Zn on mineral nutrition and antioxidative response in rapeseed seedlings. Chemosphere 75:1468–1476

    Article  CAS  PubMed  Google Scholar 

  • Xia XJ, Wang YJ, Zhou YH, Tao Y, Mao WH, Shi K, Asami T, Chen Z, Yu JQ (2009) Reactive oxygen species are involved in brassinosteroid-induced stress tolerance in cucumber. Plant Physiol 150:801–814

    Article  PubMed Central  CAS  PubMed  Google Scholar 

  • Yadav SK (2010) Heavy metals toxicity in plants: an overview on the role of glutathione and phytochelatins in heavy metal stress tolerance of plants. South African J Bot 76:167–179

    Article  CAS  Google Scholar 

  • Yang CJ, Zhang C, Lu YN, Jin JQ, Wang XL (2011) The mechanism of brassinosteroids action: from signal transduction to plant development. Mol Plant 4:588–600

    Article  CAS  PubMed  Google Scholar 

  • Yusuf M, Fariduddin Q, Ahmad A (2011) 28-Homobrassinolide mitigates boron induced toxicity through enhanced antioxidant system in Vigna radiata plants. Chemosphere 85:1574–1584

    Article  CAS  PubMed  Google Scholar 

  • Zhu Z, Zhang Z, Qin G, Tian S (2010) Effects of brassinosteroids on disease and senescence of jujube fruit in storage. Postharv Biol Technol 56:50–55

    Article  CAS  Google Scholar 

  • Zullo MAT, Adam G (2002) Brassinosteroid phytohormones—structure, bioactivity and applications. Braz J Plant Physiol 14:143–181

    Article  CAS  Google Scholar 

Download references

Acknowledgments

The financial support to Bellamkonda Ramakrishna under the UGC-RFSMS Scheme from University Grants Commission, New Delhi, India is greatly acknowledged.

Conflict of Interest

There is no conflict of interest.

Author information

Affiliations

Authors

Corresponding author

Correspondence to S. Seeta Ram Rao.

Additional information

Handling Editor: Bhumi Nath Tripathi

Electronic supplementary material

Below is the link to the electronic supplementary material.

ESM 1

(DOC 742 kb)

Rights and permissions

Reprints and Permissions

About this article

Verify currency and authenticity via CrossMark

Cite this article

Ramakrishna, B., Rao, S.S.R. Foliar application of brassinosteroids alleviates adverse effects of zinc toxicity in radish (Raphanus sativus L.) plants. Protoplasma 252, 665–677 (2015). https://doi.org/10.1007/s00709-014-0714-0

Download citation

  • Received:

  • Accepted:

  • Published:

  • Issue Date:

  • DOI: https://doi.org/10.1007/s00709-014-0714-0

Keywords

  • 28-Homobrassinolide
  • 24-Epibrassinolide
  • Antioxidant system
  • Nitrate reductase
  • Protein carbonyls
  • Zinc stress