Abstract
This work aims to use the response surface methodology to develop models for assessing monthly mean global solar radiation. Fifteen years of meteorological data (1986–2000) is used from 22 locations in India. From the data, an overall of 6 input parameters are selected (sunshine duration, temperature difference, humidity, precipitation, wind speed, and atmospheric pressure). The effect of each independent input parameter on the response (clearness index) is evaluated using different numbers and combinations of input parameters (ranging from two to six inputs) thereby resulting in 5 categories. A total of 57 empirical equations are developed using Minitab-19. The performance of the proposed models is compared by making use of statistical error tests. Further, these equations are ranked through the use of the global performance indicator. For each category, the best model is evaluated and the overall top model is also suggested. Global performance indicator values were in the range of − 3.907 to 0.948. Response plots are developed for the best models under each category and the effect of input parameters is discussed. Response surface methodology is found to be a modest and effective technique, and the models developed can be precisely used in different regions based on the availability of meteorological parameters.
Highlights
• Global solar radiation is estimated based on six meteorological input parameters.
• Response surface methodology is used to correlate the clearness index with variables.
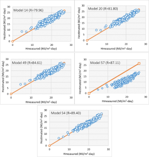
• Fifty-seven models under five categories (based on the number of input variables) are suggested.
• Contours are made to analyze response with input variables (taken two at a time).
• Errors analysis and GPI suggest that model 54 exhibits the best performance.






Similar content being viewed by others
Data availability
All data used in the study are freely available online from the corresponding data sources cited in the article. However, data that support the findings of this study are available on request from the corresponding author.
Code availability
Not applicable.
Abbreviations
- er-MAX:
-
Maximum absolute relative error
- FR :
-
Rainfall (mm)
- GPI:
-
Global performance indicator
- \(\mathrm{h}\) :
-
Altitude (m)
- \(\mathrm{H}\) :
-
Global solar radiation on a horizontal surface (MJ/ m2-day)
- Ho:
-
Extraterrestrial solar radiation (MJ/m2-day)
- \(\mathrm{H}/\mathrm{Ho}\) :
-
Clearness index
- MAE:
-
Mean absolute error (MJ/m2-day)
- MBE:
-
Mean bias error (MJ/m2-day)
- MPE:
-
Mean percentage error (%)
- MARE:
-
Mean absolute relative error
- PA :
-
Atmospheric pressure (hPa)
- S:
-
Monthly mean hours of bright sunshine (h)
- SD:
-
Standard deviation of the difference between estimated and measured values
- So:
-
Monthly mean hours of maximum possible sunshine (h)
- S/So:
-
Relative sunshine period
- t-stats:
-
T-statistics (MJ/m2-day)
- ΔT:
-
Mean monthly daily Temperature difference (°C)
- RH :
-
Relative humidity (%)
- RMSE:
-
Root mean square error (MJ/m2-day)
- RRMSE:
-
Relative root mean square error ( −)
- TR:
-
Temperature ratio = \(\left({~}^{{T}_{max}}\!\left/ \!{~}_{{T}_{min}}\right.\right)\)
- V:
-
Wind speed (km/h)
- \(\varnothing\) :
-
Latitude (°)
- \(\psi\) :
-
Longitude (°)
References
Adaramola MS (2012) Estimating global solar radiation using common meteorological data in Akure. Nigeria Renew Energy 47:38–44. https://doi.org/10.1016/j.renene.2012.04.005
Ağbulut Ü, Gürel AE, Biçen Y (2021) Prediction of daily global solar radiation using different machine learning algorithms: evaluation and comparison. Renew Sustain Energy Rev 135:10114. https://doi.org/10.1016/j.rser.2020.110114
Angstrom A (1924) Solar and terrestrial radiation. Report to the international commission for solar research on actinometric investigations of solar and atmospheric radiation. Q J R Meteorol Soc 50:121–126. https://doi.org/10.1002/qj.49705021008
Antonopoulos VZ, Papamichail DM, Aschonitis VG, Antonopoulos AV (2019) Solar radiation estimation methods using ANN and empirical models. Comput Electron Agric 160:160–167. https://doi.org/10.1016/j.compag.2019.03.022
Besharat F, Dehghan AA, Faghih AR (2013) Empirical models for estimating global solar radiation: a review and case study. Renew Sustain Energy Rev 21:798–821. https://doi.org/10.1016/j.rser.2012.12.043
Chen J-L, He L, Yang H, Ma M, Chen Q, Wu S-J et al (2019) Empirical models for estimating monthly global solar radiation: a most comprehensive review and comparative case study in China. Renew Sustain Energy Rev 108:91–111. https://doi.org/10.1016/j.rser.2019.03.033
Despotovic M, Nedic V, Despotovic D, Cvetanovic S (2015) Review and statistical analysis of different global solar radiation sunshine models. Renew Sustain Energy Rev 52:1869–1880. https://doi.org/10.1016/j.rser.2015.08.035
Draper NR (1992) Introduction to Box and Wilson (1951) On the Experimental Attainment of Optimum Conditions. In: Kotz S, Johnson NL (eds) Breakthroughs in Statistics. Springer Series in Statistics. Springer, New York, NY. https://doi.org/10.1007/978-1-4612-4380-9_22
Ghimire S, Deo RC, Downs NJ, Raj N (2019) Global solar radiation prediction by ANN integrated with European Centre for medium range weather forecast fields in solar rich cities of Queensland Australia. J Clean Prod 216:288–310. https://doi.org/10.1016/j.jclepro.2019.01.158
Gul Kaplan A, Alper Kaplan Y (2020) Developing of the new models in solar radiation estimation with curve fitting based on moving least-squares approximation. Renew Energy 146:2462–2471. https://doi.org/10.1016/j.renene.2019.08.095
Hassan GE, Youssef ME, Mohamed ZE, Ali MA, Hanafy AA (2016) New temperature-based models for predicting global solar radiation. Appl Energy 179:437–450. https://doi.org/10.1016/j.apenergy.2016.07.006
Hassan MA, Khalil A, Kaseb S, Kassem MA (2018) Independent models for estimation of daily global solar radiation: a review and a case study. Renew Sustain Energy Rev 82:1565–1575. https://doi.org/10.1016/j.rser.2017.07.002
Jahangir MS, Biazar SM, Hah D, Quilty J, Isazadeh M (2022) Investigating the impact of input variable selection on daily solar radiation prediction accuracy using data-driven models: a case study in northern Iran. Stoch Environ Res Risk Assess 36:225–249. https://doi.org/10.1007/s00477-021-02070-5
Jamil B, Akhtar N (2017a) Comparison of empirical models to estimate monthly mean diffuse solar radiation from measured data: case study for humid-subtropical climatic region of India. Renew Sustain Energy Rev 77:1326–1342. https://doi.org/10.1016/j.rser.2017.02.057
Jamil B, Akhtar N (2017b) Estimation of diffuse solar radiation in humid-subtropical climatic region of India: comparison of diffuse fraction and diffusion coefficient models. Energy 131:149–164. https://doi.org/10.1016/j.energy.2017.05.018
Jamil B, Akhtar N (2017c) Comparative analysis of diffuse solar radiation models based on sky- clearness index and sunshine period for humid-subtropical climatic region of India: A case study. Renew Sustain Energy Rev 78:329–355. https://doi.org/10.1016/j.rser.2017.02.057
Jamil B, Siddiqui AT (2017) Generalized models for estimation of diffuse solar radiation based on clearness index and sunshine duration in India: applicability under different climatic zones. J Atmos Solar Terrestrial Phys 157–158:16–34. https://doi.org/10.1016/j.jastp.2017.03.013
Jamil B, Siddiqui AT (2018) Estimation of monthly mean diffuse solar radiation over India: performance of two variable models under different climatic zones. Sustain Energy Technol Assess 25:161–180. https://doi.org/10.1016/j.seta.2018.01.003
Jha AK, Sit N (2021) Comparison of response surface methodology (RSM) and artificial neural network (ANN) modelling for supercritical fluid extraction of phytochemicals from Terminalia chebula pulp and optimization using RSM coupled with desirability function (DF) and genetic algorithm (GA) and ANN with GA. Ind Crops Prod 170:113769. https://doi.org/10.1016/j.indcrop.2021.113769
Jin Z, Yezheng W, Gang Y (2005) General formula for estimation of monthly average daily global solar radiation in China. Energy Convers Manag 46:257–268. https://doi.org/10.1016/j.enconman.2004.02.020
Keshtegar B, Heddam S (2018) Modeling daily dissolved oxygen concentration using modified response surface method and artificial neural network: a comparative study. Neural Comput Appl 30:2995–3006. https://doi.org/10.1007/s00521-017-2917-8
Keshtegar B, Allawi MF, Afan HA, El-Shafie A (2016) Optimized River Stream-Flow Forecasting Model Utilizing High-Order Response Surface Method. Water Resour Manag 30:3899–3914. https://doi.org/10.1007/s11269-016-1397-4
Majdi H, Esfahani JA, Mohebbi M (2019) Optimization of convective drying by response surface methodology. Comput Electron Agric 156:574–584. https://doi.org/10.1016/j.compag.2018.12.021
Makade RG, Jamil B (2018) Statistical analysis of sunshine based global solar radiation (GSR) models for tropical wet and dry climatic Region in Nagpur, India: a case study. Renew Sustain Energy Rev 87:22–43. https://doi.org/10.1016/j.rser.2018.02.001
Makade RG, Chakrabarti S, Jamil B (2019) Prediction of global solar radiation using a single empirical model for diversified locations across India. Urban Clim 29:100492. https://doi.org/10.1016/j.uclim.2019.100492
Makade RG, Chakrabarti S, Jamil B, Sakhale CN. Estimation of global solar radiation for the tropical wet climatic region of India: A theory of experimentation approach. Renew Energy 2020;146:2044–59. https://doi.org/10.1016/j.renene.2019.08.054.
Mustafa J, Alqaed S, Almehmadi FA, Jamil B (2022) Development and comparison of parametric models to predict global solar radiation: a case study for the southern region of Saudi Arabia. J Therm Anal Calorim. https://doi.org/10.1007/s10973-022-11209-7
Nwokolo SC, Ogbulezie JC (2017) A quantitative review and classification of empirical models for predicting global solar radiation in West Africa. Beni-Suef Univ J Basic Appl Sci. https://doi.org/10.1016/j.bjbas.2017.05.001
Patchali TE, Oyewola OM, Ajide OO, Matthew OJ, Salau TAO, Adaramola MS (2022) Assessment of global solar radiation estimates across different regions of Togo, West Africa. Meteorol Atmos Phys 134:1–15. https://doi.org/10.1007/s00703-021-00856-4
Premalatha N, Valan AA (2016) Prediction of solar radiation for solar systems by using ANN models with different back propagation algorithms. J Appl Res Technol 14:206–214. https://doi.org/10.1016/j.jart.2016.05.001
Rao KDVSK, Premalatha M, Naveen C (2018) Analysis of different combinations of meteorological parameters in predicting the horizontal global solar radiation with ANN approach: a case study. Renew Sustain Energy Rev 91:248–258. https://doi.org/10.1016/j.rser.2018.03.096
Sabzpooshani M, Mohammadi K (2014) Establishing new empirical models for predicting monthly mean horizontal diffuse solar radiation in city of Isfahan, Iran. Energy 69:571–577. https://doi.org/10.1016/j.energy.2014.03.051
Samuel CN (2017) A comprehensive review of empirical models for estimating global solar radiation in Africa. Renew Sustain Energy Rev 78:955–995. https://doi.org/10.1016/j.rser.2017.04.101
Saud S, Jamil B, Upadhyay Y, Irshad K (2020) Performance improvement of empirical models for estimation of global solar radiation in India: a k-fold cross-validation approach. Sustain Energy Technol Assess 40:100768. https://doi.org/10.1016/j.seta.2020.100768
ShahrukhAnis M, Jamil B, Azeem Ansari M, Bellos E (2019) Generalized models for estimation of global solar radiation based on sunshine duration and detailed comparison with the existing: a case study for India. Sustain Energy Technol Assess 31:179–198. https://doi.org/10.1016/j.seta.2018.12.009
Shamshirband S, Mohammadi K, Khorasanizadeh H, Yee PL, Lee M, Petković D et al (2016) Estimating the diffuse solar radiation using a coupled support vector machine-wavelet transform model. Renew Sustain Energy Rev 56:428–435. https://doi.org/10.1016/j.rser.2015.11.055
Singh S, Chakraborty JP, Mondal MK (2019) Optimization of process parameters for torrefaction of Acacia nilotica using response surface methodology and characteristics of torrefied biomass as upgraded fuel. Energy 186:115865. https://doi.org/10.1016/j.energy.2019.115865
Suthar M, Singh GK, Saini RP (2017) Effects of air pollution for estimating global solar radiation in India. Int J Sustain Energy 36(1):20–27. https://doi.org/10.1080/14786451.2014.979348
Vakili M, Sabbagh-Yazdi S-R, Kalhor K, Khosrojerdi S (2015) Using artificial neural networks for Prediction of global solar radiation in Tehran considering particulate matter air pollution. Energy Procedia 74:1205–1212. https://doi.org/10.1016/j.egypro.2015.07.764
Waewsak J, Chancham C, Mani M, Gagnon Y (2014) Estimation of monthly mean daily global solar radiation over Bangkok, Thailand using artificial neural networks. Energy Procedia 57:1160–1168. https://doi.org/10.1016/j.egypro.2014.10.103
Funding
The authors declare that no funds, grants, or other support were received during the preparation of this manuscript.
Author information
Authors and Affiliations
Contributions
YU conceptualized performed investigations and wrote original draft. BJ proposed methodology, provided supervision, created the outline of study, and revised the manuscript. SS performed the analysis of results, validation, and visualization.
Corresponding author
Ethics declarations
Ethics approval
Not applicable.
Consent to participate
Not applicable.
Consent for publication
All authors read and approved the final manuscript.
Competing interests
The authors declare no competing interests.
Additional information
Publisher's note
Springer Nature remains neutral with regard to jurisdictional claims in published maps and institutional affiliations.
Rights and permissions
Springer Nature or its licensor (e.g. a society or other partner) holds exclusive rights to this article under a publishing agreement with the author(s) or other rightsholder(s); author self-archiving of the accepted manuscript version of this article is solely governed by the terms of such publishing agreement and applicable law.
About this article
Cite this article
Upadhyay, Y., Jamil, B. & Saud, S. Implementing an advanced data-driven response surface approach to estimate global solar radiation based on multiple inputs. Theor Appl Climatol 152, 1075–1094 (2023). https://doi.org/10.1007/s00704-023-04448-7
Received:
Accepted:
Published:
Issue Date:
DOI: https://doi.org/10.1007/s00704-023-04448-7

