Abstract
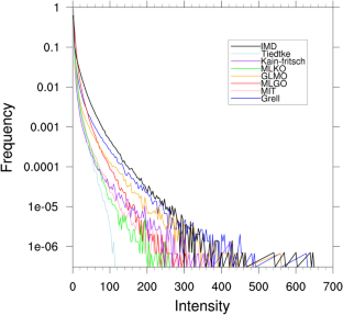
An effort is made to identify a suitable convective parameterization scheme (CPS) in a regional climate model (RegCM4.5) for simulating the spatiotemporal variability of precipitation extremes over India. In this regard, a set of seven sensitivity experiments are conducted using different CPS. The performance of the mixed scheme, MIT over land and Grell over ocean (MLGO), bears a considerable resemblance to observations in the spatial distribution of mean extreme precipitation compared to other schemes. All schemes underestimate the mean precipitation due to heavy and extreme events, particularly over central India. However, this underestimation is considerably reduced in MLGO. The overestimation of the rainy days and underestimation of the dry days is one of the possible regions of higher mean rainfall in MLGO. Despite having considerable performance in simulating mean rainfall, MLGO fails to correctly simulate rainy days, dry days, and the frequency of events for very low intensities. However, Grell simulates the intensity and frequency of events closer to observation. In general, the Grell has the highest performance in simulating extreme events, dry/wet days, and daily precipitation intensity. The better performance of Grell and MLGO in simulating the precipitation extremes is due to the stronger south-westerly wind from the Arabian Sea (AS), and convergent flow from the northern Bay of Bengal (BoB) to central India (CI) facilitates the moisture pulling mechanisms enhancing moisture availability and hence precipitation. In addition, the higher atmospheric instability in MLGO enhances the moist convection, strengthening convective activity, leading to enhanced precipitation.















Similar content being viewed by others
Data availability
The observational datasets used in this study are derived from public resources, and model data would be made available upon reasonable request to the corresponding author.
Code availability
The analysis code is available on request from the corresponding author.
References
Aldrian E, Dümenil-Gates L, Jacob D, Podzun R, Gunawan D (2004) Long-term simulation of Indonesian rainfall with the MPI regional model. Clim Dyn 22:795–814
Alexander LV, Zhang X, Peterso TC, Caesar J, Gleason B, Klein Tank AMG, Haylock M et al (2006) Global observed changes in daily climate extremes of temperature and precipitation. J Geophys Res 111:D05109. https://doi.org/10.1029/2005JD006290
Ali S, Dan L, Fu C, Yang Y (2015) Performance of convective parameterization schemes in Asia using RegCM: simulations in three typical regions for the period 1998–2002. Adv Atmos Sci 32(5):715–730
Bhatla R, Ghosh S (2015) Study of break phase of Indian summer monsoon using different parameterization schemes of RegCM-4.3. Int J Earth Atmos Sci 2(3):109–115.
Bhatla R, Ghosh S, Mall RK, Sinha P, Sarkar A (2018)Regional climate model performance in simulating intra-seasonal and interannual variability of Indian summer monsoon. Pure Appl Geophys 1–22.https://doi.org/10.1007/s00024-018-1886-x
Bhatla R, Ghosh S, Shruti V, Mall RK, Gharde GR (2019) Variability of monsoon over homogeneous regions of India using regional climate model and impact on crop production. Agric Res 8(3):331–346
Bhatla R, Verma S, Ghosh S, Mall RK (2020) Performance of regional climate model in simulating Indian summer monsoon over Indian homogeneous region. Theor Appl Climatol 139(3):1121–1135
De US, Dube RK, Prakasa Rao GS (2005) Extreme weather events over India in the last 100 years. J Ind Geophys Union 9(3):173–187
Dee DP, Uppala SM, Simmons AJ, Berrisford P, Poli P, Kobayashi S, Andrae U, Balmaseda MA, Balsamo G, Bauer P, Bechtold P, Beljaars ACM, van de Berg L, Bidlot J, Bormann N, Delsol C, Dragani R, Fuentes M, Geer AJ, Haimberger L, Healy SB, Hersbach H, Holm EV, Isaksen L, Kallberg P, Köhler M, Matricardi M, McNally AP, Monge-Sanz BM, Morcette JJ, Park BK, Peubey C, de Rosnay P, Tavolato C, Thepaut JN, Vitart F (2011) The ERA-interim reanalysis: configuration and performance of the data assimilation system. Q J R Meteorol Soc 137:553–597
Dickinson RE, Henderson-Sellers A, Kennedy PJ (1993) Biosphere-atmosphere transfer scheme (BATS) version 1e as coupled to the NCAR community climate model. NCAR technical note NCAR/TN-387+STR, NCAR, Boulder, 72 p
Di Sante F, Coppola E, Farneti R, Giorgi F (2019) Indian summer monsoon as simulated by the regional earth system model RegCM-ES: the role of local air-sea interaction. Clim Dyn 53(1):759–778
Elguindi N, Bi X, Giorgi F, Nagarajan B, Pal J, Solmon F, Rauscher S, Zakey A, O’Brien T, Nogherotto R, Giuliani G (2014) Regional climatic model RegCM Reference Manual version 4.5. ITCP, Trieste, 37p
Emanuel KA, Zivkovic-Rothman M (1999) Development and evaluation of a convection scheme for use in climate models. J Atmos Sci 56:1766–1782
Emori S, Brown SJ (2005) Dynamic and thermodynamic changes in mean and extreme precipitation under changed climate. Geophys Res Lett 32:L17706
Fletcher JK, Parker DJ, Turner AG, Menon A, Martin GM, Birch CE, Mitra AK, Mrudula G, Hunt KM, Taylor CM, Houze RA (2020) The dynamic and thermodynamic structure of the monsoon over southern India: new observations from the INCOMPASS IOP. Q J R Meteorol Soc 146:2867–2890
Fritsch JM, Chappell CF (1980) Numerical prediction of convectively driven mesoscale pressure systems. Part I: convective parameterization. J Atmos Sci 37:1722–1733
Gadgil S, Gadgil S (2006) The Indian monsoon, GDP and agriculture. Econ Polit Wkly 25:4887–4895
Gao XJ, Shi Y, Giorgi F (2016) Comparison of convective parameterizations in RegCM4 experiments over China with CLM as the land surface model. Atmos Ocean Sci Lett 9(4):246–54
Giorgi F, Shields C (1999) Tests of precipitation parameterizations available in latest version of NCAR regional climate model (RegCM) over continental United States. J Geophys Res: Atmos 104:6353–6375
Giorgi F, Jones C, Asrar GR (2009) Addressing climate information needs at the regional level: the cordex framework. WMO Bull 58(3):175p
Giorgi F, Coppola E, Raffaele F, Tefera Diro G, Fuentes-Franco R, Giuliani G, Mamgain A, Llopart MP, Mariotti L, Torma C (2014) Changes in extremes and hydroclimatic regimes in the CREMA ensemble projections. Clim Chang 125(1):39–51
Gochis DJ, Shuttleworth WJ, Yang ZL (2002) Sensitivity of the modeled North American monsoon regional climate to convective parameterization. Mon Weather Rev 130(5):1282–1298
Goswami BN (2005) South Asian monsoon. In: Lau WKM, Waliser DE (eds) Intraseasonal variability of the atmosphere-ocean climate system. Springer, Berlin, Heidelberg, pp 19–61
Grell GA (1993) Prognostic evaluation of assumptions used by cumulus parameterizations. Mon Weather Rev 121(3):764–787
Halenka T, Kalvová J, Chládová Z, Demeterová A, Zemánková K, Belda M (2006) On the capability of RegCM to capture extremes in long term regional climate simulation-comparison with the observations for Czech Republic. Theor Appl Climatol 86(1–4):125–145
Herrera S, Fita L, Fernández J, Gutiérre JM (2010) Evaluation of the mean and extreme precipitation regimes from the ENSEMBLES regional climate multimodel simulations over Spain. J Geophys Res 115:D21117. https://doi.org/10.1029/2010JD013936
Holtslag AAM, de Bruijn EIF, Pan HL (1990) A high resolution air mass transformation model for short-range weather forecasting. Mon Weather Rev 118:1561–1575
Kang I-S, Jin K, Wang B, Lau K-M, Shukla J, Krishnamurthy V, Schubert S, Wailser D, Stern W, Meehl KA, G, (2002) Intercomparison of the climatological variations of Asian summer monsoon precipitation simulated by 10 GCMs. Clim Dyn 19(5–6):383–395
Kang S, Im ES, Ahn JB (2014) The impact of two land-surface schemes on the characteristics of summer precipitation over East Asia from the RegCM4 simulations. Int J Climatol 34(15):3986–3997
Karl TR, Easterling DR (1999) Climate extremes: selected review and future research directions. Clim Chang 42(1):309–325
Kiehl JT, Hack JJ, Bonan GB, Boville BA, Briegleb BP, Williamson DL, Rasch PJ (1996) Description of the NCAR Community Climate Model (CCM3), NCAR Tech. note/TN-420+STR, 152pp. Natl. Cent. For Atmos. Res., Boulder, CO, USA. Clim. and Global Dyn. Div
Klein Tank AMG, Peterson TC, Quadir DA, Dorji S, Zou X, Tang H, Santhosh K et al (2006) Changes in daily temperature and precipitation extremes in central and south Asia. J Geophys Res: Atmos 111:D16105. https://doi.org/10.1029/2005JD006316
Krishnan R, Sabin TP, Vellore R, Mujumdar M, Sanjay J, Goswami BN, Hourdin F, Dufresne JL, Terray P (2016) Deciphering the desiccation trend of the South Asian monsoon hydroclimate in a warming world. Clim Dyn 47(3–4):1007–1027
Kumar A, Dimri AP (2020a) Sensitivity of convective and land surface parameterization in the simulation of contrasting monsoons over CORDEX-South Asia domain using RegCM-4.4.5.5. Theor Appl Climatol 139:297–322
Kumar D, Dimri AP (2020b) Context of the added value in coupled atmosphere-land RegCM4–CLM4.5 in the simulation of Indian summer monsoon. Clim Dyn. https://doi.org/10.1007/s00382-020-05481-2
Melsen L, Teuling A, Torfs P, Zappa M, Mizukami N, Clark M, Uijlenhoet R (2016) Representation of spatial and temporal variability in large-domain hydrological models: case study for a mesoscale pre-Alpine basin. Hydrol Earth Syst Sci 20:2207–2226
Miao C, Ashouri H, Hsu KL, Sorooshian S, Duan Q (2015) Evaluation of the PERSIANN-CDR daily rainfall estimates in capturing the behavior of extreme precipitation events over China. J Hydrometeorol 16(3):1387–1396
Mishra AK, Dwivedi S (2019) Assessment of convective parametrization schemes over the Indian subcontinent using a regional climate model. Theor Appl Climatol 137(3–4):1747–1764
Mishra AK, Dwivedi S, Das S (2020a) Role of Arabian Sea warming on the Indian summer monsoon rainfall in a regional climate model. Int J Climatol 40(4):2226–2238
Mishra AK, Dwivedi S, Di Sante F, Coppola E (2020b) Thermodynamical properties associated with the Indian summer monsoon rainfall using a regional climate model. Theor Appl Climatol 141:587–599
Mishra AK, Dwivedi S, Di Sante F (2021a) Performance of the RegCM-MITgcm coupled regional model in simulating the Indian summer monsoon rainfall. Pure Appl Geophys 178(2):603–617
Mishra AK, Kumar P, Dubey AK, Javed A, Saharwardi MS, Sein DV, Martyanov S, Jacob D (2021b) Impact of horizontal resolution on monsoon precipitation for CORDEX-South Asia: a regional earth system model assessment. Atmos Res. https://doi.org/10.1016/j.atmosres.2021.105681
Mukhopadhyay P, Taraphdar S, Goswami BN, Krishna Kumar K (2010) Indian summer monsoon precipitation climatology in a high resolution regional climate model: impact of convective parameterization on systematic biases. Weather Forecast 25:369–387
Mukhopadhyay P, Taraphdar S, Goswami BN (2011) Influence of moist processes on track and intensity forecast of cyclones over the north Indian Ocean. J Geophys Res: Atmos 116:D05116. https://doi.org/10.1029/2010JD014700
Pokhrel S, Hazra A, Saha SK, Chaudhari HS, Metya A, Ghude SD, Konwar M (2018) Contrast in monsoon precipitation over oceanic region of north Bay of Bengal and east equatorial Indian Ocean. Int J Climatol 38:1061–1075
Rai PK, Singh GP, Dash SK (2020) Projected changes in extreme precipitation events over various subdivisions of India using RegCM4. Clim Dyn 1–2:247–272
Rajeevan M, Bhate J, Jaswal AK (2008) Analysis of variability and trends of extreme rainfall events over India using 104 years of gridded daily rainfall data. Geophys Res Lett 35(18):L18707. https://doi.org/10.1029/2008GL035143
Revadekar JV, Kulkarni A (2008) The El Nino-Southern oscillation and winter precipitation extremes over India. Int J Climatol 28(11):1445–1452
Reynolds RW, Rayner NA, Smith TM, Stokes DC, Wang W (2002) An improved in situ and satellite SST analysis for climate. J Clim 15(13):1609–1625
Roxy MK, Ghosh S, Pathak A, Athulya R, Mujumdar M, Murtugudde R, Terray P, Rajeevan M (2017) A threefold rise in widespread extreme rain events over central India. Nat Commun 8(1):708. https://doi.org/10.1038/s41467-017-00744-9
Saha SK, Pokhrel S, Chaudhari HS, Dhakate A, Shewale S, Sabeerali CT, Salunke K, Hazra A, Mahapatra S, Rao AS (2014) Improved simulation of Indian summer monsoon in latest NCEP climate forecast system free run. Int J Climatol 34(5):1628–1641
Sahany S, Mishra SK, Pathak R, Rajagopalan B (2018) Spatiotemporal variability of seasonality of rainfall over India. Geophys Res Lett 45:7140–7147. https://doi.org/10.1029/2018GL077932
Shashikanth K, Ghosh S, Vittal H, Karmakar S (2018) Future projections of Indian summer monsoon rainfall extremes over India with statistical downscaling and its consistency with observed characteristics. Clim Dyn 51:1–15
Shepherd TG (2014) Atmospheric circulation as a source of uncertainty in climate change projections. Nat Geosci 7:703–708
Sillmann J, Kharin VV, Zwiers FW, Zhang X, Bronaugh D (2013) Climate extremes indices in the CMIP5 multimodel ensemble: Part 2. Future climate projections. J Geophys Res: Atmos 118(6):2473–2493
Sinha P, Maurya RKS, Mohanty MR, Mohanty UC (2019) Inter-comparison and evaluation of mixed-convection schemes in RegCM4 for Indian summer monsoon simulation. Atmos Res 215:239–252
Srinivas CV, Hariprasad D, Bhaskar RDV, Anjaneyulu Y, Baskaran R, Venkatraman B (2013) Simulation of the Indian summer monsoon regional climate using advanced research WRF mode. Int J Climatol 33:1195–1210
Tiedtke M (1989) A comprehensive mass flux scheme for cumulus parameterization in large-scale models. Mon Weather Rev 117:1779–1800
Torma C, Giorgi F, Coppola E (2015) Added value of regional climate modeling over areas characterized by complex terrain-Precipitation over the Alps. J Geophys Res: Atmos 120(9):3957–3972
Turner AG, Annamalai H (2012) Climate change and the South Asian summer monsoon. Nat Clim Chang 2(8):587. https://doi.org/10.1038/nclimate1495
Unnikrishnan CK, Rajeevan M, Rao SVB, Kumar M (2013) Development of a high resolution land surface dataset for the South Asian monsoon region. Curr Sci 105(9):1235–1246
Vellore RK, Krishnan R, Pendharkar J, Choudhur AD, Sabin TP (2014) On the anomalous precipitation enhancement over the Himalayan foothills during monsoon breaks. Clim Dyn 43(7–8):2009–2031
Vittal H, Ghosh S, Karmakar S, Pathak A, Murtugudde R (2016) Revisiting the dependence of precipitation extremes on temperature with the observed long-term dataset over India. Sci Rep 7:1228
Wang Y, Sen OL, Wang B (2003) A highly resolved regional climate model (IPRC-RegCM) and its simulation of the 1998 severe precipitation event over China. Part I: Model description and verification of simulation. J Clim. 16(11):1721–1738
York JG (2018) Its getting better all the time (can’t get any worse): the why, how, and when of environmental entrepreneurship. Int J Entrep Ventur 10(1):17–31
Zanis P, Douvis C, Kapsomenakis I, Kioutsioukis I, Melas D, Pal JS (2009) A sensitivity study of the regional climate model (RegCM3) to the convective scheme with an emphasis in central-eastern and southeastern Europe. Theor Appl Climatol 97(3):327–337
Acknowledgements
We thank the anonymous reviewers whose constructive comments and suggestions helped us to improve the overall quality of the paper. The authors thankfully acknowledge the ICTP for providing the regional climate model RegCM4.5. The computing facility in K. Banerjee Centre of Atmospheric and Ocean Studies, University of Allahabad, was used to carry out the simulations. Thanks are also due to respective agencies of the IMD, CRU, and ECMWF ERA-Interim data products for making available these datasets.
Author information
Authors and Affiliations
Contributions
A K Mishra designed the study and model experiment and performed the model simulations. A K Mishra and A K Dubey processed and analyzed model data and created the figures. All authors contributed to the analysis and interpretation of the results. A K Mishra wrote the paper. All the authors read the paper and accepted the authors’ agreement.
Corresponding author
Ethics declarations
Ethics approval
We do not need any ethics approval.
Consent to participate
All the authors read the paper and accepted the authors’ agreement.
Consent for publication
The authors declared that the contents of the manuscript are novel and neither published nor under consideration anywhere else.
Conflict of interest
The authors declare competing interests.
Additional information
Publisher's note
Springer Nature remains neutral with regard to jurisdictional claims in published maps and institutional affiliations.
Supplementary Information
Below is the link to the electronic supplementary material.
Rights and permissions
About this article
Cite this article
Mishra, A.K., Dubey, A.K. Sensitivity of convective parameterization schemes in regional climate model: precipitation extremes over India. Theor Appl Climatol 146, 293–309 (2021). https://doi.org/10.1007/s00704-021-03714-w
Received:
Accepted:
Published:
Issue Date:
DOI: https://doi.org/10.1007/s00704-021-03714-w


