Abstract
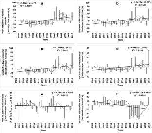
This article summarizes the results from an analysis conducted to investigate the spatio-temporal variability and trends in the rainfall over Ethiopia over a period of 31 years from 1980 to 2010. The data is mostly observed station data supplemented by bias-corrected AgMERRA climate data. Changes in annual and Belg (March–May) and Kiremt (June to September) season rainfalls and rainy days have been analysed over the entire Ethiopia. Rainfall is characterized by high temporal variability with coefficient of variation (CV, %) varying from 9 to 30% in the annual, 9 to 69% during the Kiremt season and 15–55% during the Belg season rainfall amounts. Rainfall variability increased disproportionately as the amount of rainfall declined from 700 to 100 mm or less. No significant trend was observed in the annual rainfall amounts over the country, but increasing and decreasing trends were observed in the seasonal rainfall amounts in some areas. A declining trend is also observed in the number of rainy days especially in Oromia, Benishangul-Gumuz and Gambella regions. Trends in seasonal rainfall indicated a general decline in the Belg season and an increase in the Kiremt season rainfall amounts. The increase in rainfall during the main Kiremt season along with the decrease in the number of rainy days leads to an increase in extreme rainfall events over Ethiopia. The trends in the 95th-percentile rainfall events illustrate that the annual extreme rainfall events are increasing over the eastern and south-western parts of Ethiopia covering Oromia and Benishangul-Gumuz regions. During the Belg season, extreme rainfall events are mostly observed over central Ethiopia extending towards the southern part of the country while during the Kiremt season, they are observed over parts of Oromia, (covering Borena, Guji, Bali, west Harerge and east Harerge), Somali, Gambella, southern Tigray and Afar regions. Changes in the intensity of extreme rainfall events are mostly observed over south-eastern parts of Ethiopia extending to the south-west covering Somali and Oromia regions. Similar trends are also observed in the greatest 3-, 5- and 10-day rainfall amounts. Changes in the consecutive dry and wet days showed that consecutive wet days during Belg and Kiremt seasons decreased significantly in many areas in Ethiopia while consecutive dry days increased. The consistency in the trends over large spatial areas confirms the robustness of the trends and serves as a basis for understanding the projected changes in the climate. These results were discussed in relation to their significance to agriculture.
This is a preview of subscription content, access via your institution.








References
Aklilu M, Kindie T, Duncan AJ (2013) Trends in daily observed temperature and precipitation extremes over three Ethiopian eco-environments. Int J Climatol 34(6):1990–1999. https://doi.org/10.1002/joc.3816
Ayalew D, Tesfaye K, Mamo G, Yitaferu B, Bayu W (2012) Variability of rainfall and its current trend in Amhara region, Ethiopia. Afr J Agric Res 7(10):1475–1486
Bewket W, Conway D (2007) A note on the temporal and spatial variability of rainfall in the drought-prone Amhara region of Ethiopia. Int J Climatol 27(11):1467–1477. https://doi.org/10.1002/joc.1481
Conway D, Schipper ELF (2011) Adaptation to climate change in Africa: challenges and opportunities identified from Ethiopia. Glob Environ Chang 21(1):227–237. https://doi.org/10.1016/j.gloenvcha.2010.07.013
Conway D, Schipper ELF, Yesuf M, Kassie M, Persechino A, Kebede B (2007) Reducing vulnerability in Ethiopia: addressing the implications of climate change. Report prepared for DFID and CIDA. University of East Anglia, Norwich
CSA (Central Statistical Agency) (2014) Agricultural sample survey 2013/2014. Vol. IV, Report on land utilization. Private Peasant Holdings, Meher
Deressa T, Hassan RM, Alemu T, Yesuf M, Ringler C (2008) Analyzing the determinants of farmers’ choice of adaptation methods and perceptions of climate change in the Nile Basin of Ethiopia. International Food Policy Research Institute (IFPRI) Discussion Paper No. 00798. Environment and Production Technology Division, IFPRI, Washington D.C
Easterling DR, Evans JL, Groisman PY, Karl TR, Kunkel KE, Ambenje P (2000) Observed variability and trends in extreme climate events: a brief review. Bull Am Meteorol Soc 81(3):417–425. https://doi.org/10.1175/1520-0477(2000)081<0417:OVATIE>2.3.CO;2
Elshamy ME, Seierstad IA, Sorteberg A (2009) Impacts of climate change on Blue Nile flows using bias-corrected GCM scenarios. Hydrol Earth Syst Sci 13(5):551–565. https://doi.org/10.5194/hess-13-551-2009
Endalew GJ (2007) Changes in the frequency and intensity of extremes over Northeast Africa. Scientific report; WR 2007–02. Retrieved June 13, 2011. http://www.knmi.nl/publications/fulltexts/wr200702_endulew.pdf
FDRE (Federal Democratic Republic of Ethiopia) (1997) Environmental policy. Environmental Protection Authority in collaboration with the Ministry of Economic Development and Cooperation: Addis Ababa
Fischer EM, Knutti R (2015) Anthropogenic contribution to global occurrence of heavy-precipitation and high-temperature extremes. Nat Clim Chang 5(6):560–564. https://doi.org/10.1038/nclimate2617
Funk C, Senay G, Asfaw A, Verdin J, Rowland J, Korecha D, Eilerts G, Michaelsen J, Amer S, Choularton R (2005) Recent drought tendencies in Ethiopia and equatorial-subtropical eastern Africa. Washington, U.S. Agency for International Development
Haylock M, Nicholls N (2000) Trends in extreme rainfall indices for an updated high quality data set for Australia, 1910–1998. Int J Climatol 20(13):1533–1541. https://doi.org/10.1002/1097-0088(20001115)20:13<1533::AID-JOC586>3.0.CO;2-J
Herring SC, Hoerling MP, Kossin JP, Peterson TC, Stott PA (eds) (2015) Explaining extreme events of 2014 from a climate perspective. Bull Amer Meteor Soc 96(12):S1–S172 http://www.jstor.org/stable/2239679
IPCC (2014) Climate change 2014: synthesis report. Contribution of Working Groups I, II and III to the Fifth Assessment Report of the Intergovernmental Panel on Climate Change (2014), pp. 3-87 by Leo Meyer, Sander Brinkman, Line van Kesteren, Noëmie Leprince-Ringuet, Fijke van Boxmeer edited by R. K. Pachauri, L. A. Meyer
Jaagus J (2006) Climatic changes in Estonia during the second half of the 20th century in relationship with changes in large-scale atmospheric circulation. Theor Appl Climatol 83(1-4):77–88. https://doi.org/10.1007/s00704-005-0161-0
Jury M.R, Funk C (2012) Climatic trends over Ethiopia: regional signals and drivers. Int J Climatol 33(8) 1924–1935. http://onlinelibrary.wiley.com/. doi: https://doi.org/10.1002/joc.3560
Kebede G, Bewket W (2009) Variations in rainfall and extreme event indices in the wettest part of Ethiopia. SINET Ethiop J Sci 32(2):129–140
Kendall MG (1975) Rank correlation measures. Charles. Griffin, London
Krishna Kumar K, Rupa Kumar K, Ashrit R, Deshpande NR, Hansen JW (2004) Climate impacts on Indian agriculture. Int J Climatol 24(11):1375–1393. https://doi.org/10.1002/joc.1081
McSweeney C, New M Lizcano G (2010) UNDP climate change profile for Ethiopia. Retrieved on June 03, 2011. http://countryprofiles.geog.ox.ac.uk
Ministry of Agriculture (MoA) (2000) Agroecological zonations of Ethiopia. Addis Ababa
Modarres R, Silva VPR (2007) Rainfall trends in arid and semi-arid regions of Iran. J Arid Environ 70(2):344–355. https://doi.org/10.1016/j.jaridenv.2006.12.024
MoWR (Ministry of Water Resources) (2005) Irrigation (potential) in Ethiopia. Irrigation and Drainage Development Studies Department, Federal Democratic Republic of Ethiopia, Ministry of Water Resources, Addis Ababa
Osman M, Sauerborn P (2002) A preliminary assessment of characteristics and long-term variability of rainfall in Ethiopia basis for sustainable land use and resources management. Conference on International Agricultural Research for Development, Deutscher Tropentag 2002, Witzenhausen, Germany October, pp 9–11
Pankhurst R, Johnson DH (1988) The great drought and famine of 1888–92 in northeast Africa. In: Johnson DH, Anderson DM (eds) The ecology of survival: case studies from northeast African history. Lester Crook Academic Publishing, London, pp 47–72
Partal T, Kahya E (2006) Trend analysis in Turkish precipitation data. Hydrol Process 20(9):2011–2026. https://doi.org/10.1002/hyp.5993
Petherick A (2012) Enumerating adaptation. Nat Clim Chang 2(4):228–229. https://doi.org/10.1038/nclimate1472
Rienecker MM, Suarez MJ, Gelaro R, Todling R, Bacmeister J, Liu E, Bosilovich MG, Schubert SD, Takacs L, Kim G, Bloom S, Chen J, Collins D, Conaty A, da Silva A, Joiner W, Gu J, Koster RD, Lucchesi R, Molod A, Owens T, Pawson S, Pegion P, Redder CR, Reichle R, Robertson FR, Ruddick AG, Sienkiewicz M, Woollen J (2011) MERRA—NASA’s modern-era retrospective analysis for research and applications. J Clim 24(14):3624–3648. https://doi.org/10.1175/JCLI-D-11-00015.1
Rosell S, Holmer B (2007) Rainfall change and its implications for Belg harvest in South Wollo, Ethiopia. Geogr Ann A 89(4):287–299. https://doi.org/10.1111/j.1468-0459.2007.00327.x
RRC (Relief and Rehabilitation Commission) (1985) Combating the effects of cyclical drought in Ethiopia. RRC, Addis Ababa
Seleshi Y, Camberlin P (2006) Recent changes in dry spell and extreme rainfall events in Ethiopia. Theor Appl Climatol 83(1-4):181–191. https://doi.org/10.1007/s00704-005-0134-3
Seleshi Y, Demaree GR (1995) Rainfall variability in the Ethiopian and Eritrean highlands and its links with the southern oscillation index. J Biogeogr 22(4/5):945–952. http://www.jstor.org/stable/2845995. https://doi.org/10.2307/2845995
Seleshi Y, Zanke U (2004) Recent changes in rainfall and rainy days in Ethiopia. Int J Climatol 24(8):973–983. https://doi.org/10.1002/joc.1052
Sen PK (1968) On a class of aligned rank order tests in two-way layouts. Ann Math Stat 39(4):1115–1124. https://doi.org/10.1214/aoms/1177698236
Shang H, Yan J, Gebremichael M, Ayalew SM (2010) Trend analysis of extreme precipitation in the northwestern Highlands of Ethiopia with a case study of DebreMarkos. www.hydrol-earth-syst-scidiscuss.net/7/8587/2010/.https://doi.org/10.5194/hessd-7-8587-2010
Sivakumar MVK, Das HP, Brunini O (2005) Impacts of present and future climate variability and change on agriculture and forestry in the arid and semi-arid tropics. Clim Chang 70(1-2):31–72. https://doi.org/10.1007/s10584-005-5937-9
Stardex (2002) Statistical and Regional Dynamical Downscaling of Extremes for European Regions, http://www.cru.uea.ac.uk/cru/projects/stardex/
UNICEF (2015) Ethiopia: drought crisis. Immediate Needs Overview
Viste E, Korecha D, Sorteberg A (2012) Recent drought and precipitation tendencies in Ethiopia. Theor Appl Climatol www.springerlink.com/content/r84166851504x2h2/
Von Braun J (1991) A policy agenda for famine prevention in Africa. Food Policy Statement No.13. IFPRI, Washington D.C
Williams AP, Funk C (2011) Recent summer precipitation trends in the Greater Horn of Africa and the emerging role of Indian Ocean Sea surface temperature. Clim Dyn 39(9-10):2307–2328. https://doi.org/10.1007/s00382-011-1222-y
Wood A (1977) A preliminary chronology of Ethiopian droughts. In: Dalby D, Church RJH, Bezzaz F (eds) Drought in Africa, Vol. 2. International African Institute, London, pp 68–73
Zerihun W (1999) Vegetation map of Ethiopia. Addis Ababa University, Addis Ababa
Zhang X, Yang F (2004) RClimDex (1.0) user guide. Climate Research Branch Environment Canada: Downsview, Ontario, Canada
Acknowledgements
We sincerely acknowledge the support rendered by the National Meteorology Agency (NMA) and the Ethiopian Institute for Agricultural Research (EIAR). We also thank anonymous reviewers and editors for comments on an earlier version of the manuscript.
Funding
This work was carried out as part of the International Crops Research Institute for the Semi-Arid Tropics (ICRISAT) and the CGIAR research program on Climate Change, Agriculture and Food Security (CCAFS), with the support from CGIAR fund donors and through bilateral funding agreements.
Author information
Authors and Affiliations
Corresponding author
Rights and permissions
About this article
Cite this article
Gummadi, S., Rao, K.P.C., Seid, J. et al. Spatio-temporal variability and trends of precipitation and extreme rainfall events in Ethiopia in 1980–2010. Theor Appl Climatol 134, 1315–1328 (2018). https://doi.org/10.1007/s00704-017-2340-1
Received:
Accepted:
Published:
Issue Date:
DOI: https://doi.org/10.1007/s00704-017-2340-1