Skip to main content

Involvement of kynurenines in Huntington’s disease and stroke-induced brain damage

Abstract

Several components of the kynurenine pathway of tryptophan metabolism are now recognised to have actions of profound biological importance. These include the ability to modulate the activation of glutamate and nicotinic receptors, to modify the responsiveness of the immune system to inflammation and infection, and to modify the generation and removal of reactive oxygen species. As each of these factors is being recognised increasingly as contributing to major disorders of the central nervous system (CNS), so the potentially fundamental role of the kynurenine pathway in those disorders is presenting a valuable target both for understanding the progress of those disorders and for developing potential drug treatments. This review will summarise some of the evidence for an important contribution of the kynurenines to Huntington’s disease and to stroke damage in the CNS. Together with preliminary evidence from a study of kynurenine metabolites after major surgery, an important conclusion is that kynurenine pathway activation closely reflects cognitive function, and may play a significant role in cognitive ability.

This is a preview of subscription content, access via your institution.

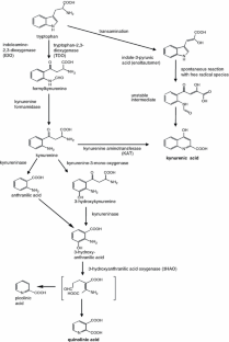
Fig. 1

References

  • Amann A, Widner B, Rieder J, Antretter H, Hoffmann G, Mayr V, Strohmenger HU, Fuchs D (2001) Monitoring of immune activation using biochemical changes in a porcine model of cardiac arrest. Mediat Inflamm 10:343–346

    CAS  Article  Google Scholar 

  • Bacciottini L, Pellegrini-Giampietro DE, Bongianno F, Deluca G, Beni M, Politi V, Moroni F (1987) Biochemical and behavioral-studies on indole-pyruvic acid—a keto-analogue of tryptophan. Pharmacol Res Commun 19:803–817

    PubMed  CAS  Article  Google Scholar 

  • Baran H, Kepplinger B, Herrera-Marschitz M, Stolze K, Lubec G, Nohl H (2001) Increased kynurenic acid in the brain after neonatal asphyxia. Life Sci 69:1249–1256

    PubMed  CAS  Article  Google Scholar 

  • Barone FC, Kilgore KS (2006) Role of inflammation and cellular stress in brain injury and central nervous system diseases. Clin Neurosci Res 6:329–356

    CAS  Article  Google Scholar 

  • Bates G (2003) Huntingtin aggregation and toxicity in Huntington’s disease. Lancet 361:1642–1644

    PubMed  CAS  Article  Google Scholar 

  • Bauer TM, Jiga LP, Chuang JJ, Randazzo M, Opelz G, Terness P (2005) Studying the immunosuppressive role of indoleamine 2, 3-dioxygenase: tryptophan metabolites suppress rat allogeneic T-cell responses in vitro and in vivo. Transpl Intern 18:95–100

    CAS  Article  Google Scholar 

  • Beal MF, Matson WR, Storey E, Milbury P, Ryan EA, Ogawa T, Bird ED (1992) Kynurenic acid concentrations are reduced in Huntington’s disease. J Neurol Sci 108:80–87

    PubMed  CAS  Article  Google Scholar 

  • Beal MF, Kowall NW, Ellison DW, Mazurek MF, Swartz KJ, Martin JB (1986) Replication of the neurochemical characteristics of Huntington’s disease by quinolinic acid. Nature 321:168–171

    PubMed  CAS  Article  Google Scholar 

  • Beal MF, Swartz KJ, Finn SF, Mazurek MF, Kowall NW (1991a) Neurochemical characterization of excitotoxin lesions in the cerebral cortex. J Neurosci 11:147–158

    PubMed  CAS  Google Scholar 

  • Beal MF, Ferrante RJ, Swartz KJ, Kowall NW (1991b) Chronic quinolinic acid lesions in rats closely resemble Huntington’s disease. J Neurosci 11:1649–1659

    PubMed  CAS  Google Scholar 

  • Behan WMH, Stone TW (2000) Role of kynurenines in the neurotoxic actions of kainic acid. Br J Pharmacol 129:1764–1770

    PubMed  CAS  Article  Google Scholar 

  • Bjorkqvist M, Wild EJ, Thiele J, Silvestroni A, Andre R, Lahiri N et al (2008) A novel pathogenic pathway of immune activation detectable before clinical onset in Huntington’s disease. J Exp Med 205:1869–1877

    PubMed  Article  CAS  Google Scholar 

  • Block ML, Zecca L, Hong JS (2007) Microglia-mediated neurotoxicity: uncovering the molecular mechanisms. Nat Rev Neurosci 8:57–69

    PubMed  CAS  Article  Google Scholar 

  • Block ML, Hong JS (2005) Microglia and inflammation-mediated neurodegenration: multiple triggers with a common mechanism. Prog Neurobiol 76:77–98

    PubMed  CAS  Article  Google Scholar 

  • Brouns R, Verkerk R, Aerts T, De Surgeloose D, Wauters A, Scharpe S, De Deyn PP (2010) The role of tryptophan catabolism along the kynurenine pathway in acute ischemic stroke. Neurochem Res 35:1315–1322

    PubMed  CAS  Article  Google Scholar 

  • Browne SE, Ferrante RJ, Beal MF (1999) Oxidative stress in Huntington’s disease. Brain Pathol 9:147–163

    PubMed  CAS  Article  Google Scholar 

  • Burns LH, Pakzaban P, Deacon TW, Brownell AL, Tatter SB, Jenkins BG, Isacson O (1995) Selective putaminal excitotoxic lesions in nonhuman-primates model the movement disorder of Huntington disease. Neuroscience 64:1007–1017

    PubMed  CAS  Article  Google Scholar 

  • Carpenedo R, Chiarugi A, Russi P, Lombardi G, Carla V, Pellicciari R, Moroni F, Mattoli L (1994) Inhibitors of kynurenine hydroxylase and kynureninase increase cerebral formation of kynurenate and have sedative and anticonvulsant activities. Neuroscience 61:237–244

    PubMed  CAS  Article  Google Scholar 

  • Carter RJ, Lione LA, Humby T, Mangiarini L, Mahal A, Bates GP et al (1999) Characterization of progressive motor deficits in mice transgenic for the human Huntington’s disease mutation. J Neurosci 19:3248–3257

    PubMed  CAS  Google Scholar 

  • Clark CJ, Mackay GM, Smythe GA, Bustamante S, Stone TW, Phillips RS (2005) Prolonged survival of a murine model of cerebral malaria by kynurenine pathway inhibition. Infect Immun 73:5249–5251

    PubMed  CAS  Article  Google Scholar 

  • Connick JH, Heywood GC, Sills GJ, Thompson GG, Brodie MJ, Stone TW (1992) Nicotinylalanine increases cerebral kynurenic acid content and has anticonvulsant activity. Gen Pharmacol 23:235–239

    PubMed  CAS  Article  Google Scholar 

  • Cowan CM, Fan MMY, Fan J, Shehadeh J, Zhang LYJ, Graham RK et al (2008) Polyglutamine-modulated striatal calpain activity in YAC transgenic huntington disease mouse model: impact on NMDA receptor function and toxicity. J Neurosci 28:12725–12735

    PubMed  CAS  Article  Google Scholar 

  • Cozzi R, Carpenedo R, Moroni F (1999) Kynurenine hydroxylase inhibitors reduce ischaemic brain damage: studies with (m-nitrobenzoyl)alanine and 3, 4-dimethoxy-[N-4-(nitrophenyl)thiazol-2-yl]-benzenesulfonamide (Ro 61-8048) in models of focal or global ischaemia. J Cereb Blood Flow Metab 19:771–777

    PubMed  CAS  Article  Google Scholar 

  • Darlington LG, Mackay GM, Forrest CM, Stoy N, George C, Stone TW (2007) Altered kynurenine metabolism correlates with infarct volume in stroke. Eur J Neurosci 26:2211–2221

    PubMed  CAS  Article  Google Scholar 

  • Darlington LG, Forrest CM, Mackay GM, Stoy N, Smith RA, Smith AJ, Stone TW (2010) On the biological significance of the 3-hydroxyanthranilic acid:anthranilic acid ratio. Int J Tryptophan Res 3:51–59

    Google Scholar 

  • Dykens JA, Sullivan SG, Stern A (1987) Oxidative reactivity of the tryptophan metabolites 3-hydroxyanthranilate, quinolinate and picolinate. Biochem Pharmacol 36:211–217

    PubMed  CAS  Article  Google Scholar 

  • Eastman CL, Guilarte TR (1989) Cytotoxicity of 3-hydroxykynurenine in a neuronal hybrid cell line. Brain Res 495:225–231

    PubMed  CAS  Article  Google Scholar 

  • Eastman CL, Guilarte TR (1990) The role of hydrogen peroxide in the in vitro cytotoxicity of 3-hydroxykynurenine. Neurochem Res 15:1101–1107

    PubMed  CAS  Article  Google Scholar 

  • Espey MG, Chernyshev ON, Reinhard JF, Namboodiri MAA, Colton CA (1997) Activated human microglia produce the excitotoxin quinolinic acid. Neuroreport 8:431–434

    PubMed  CAS  Article  Google Scholar 

  • Espey MG, Moffett JR, Namboodiri MAA (1995) Temporal and spatial changes of quinolinic acid immunoreactivity in the immune-system of lipopolysaccharide-stimulated mice. J Leukocyte Biol 57:199–206

    PubMed  CAS  Google Scholar 

  • Fainardi E, Rizzo R, Melchiorri L, Castellazzi M, Paolino E, Tola MR, Granieri E, Baricordi OR (2006) Intrathecal synthesis of soluble HLA-G and HLA-I molecules are reciprocally associated to clinical and MRI activity in patients with multiple sclerosis. Mult Scler 12:2–12

    Google Scholar 

  • Feger U, Tolosa E, Huang Y-H, Waschbisch A, Biedermann T, Melms A, Wiendl H (2007) HLA-G expression defines a novel regulatory T-cell subset present in human peripheral blood and sites of inflammation. Blood 110:568–577

    PubMed  CAS  Article  Google Scholar 

  • Forrest CM, Mackay GM, Stoy N, Egerton M, Christofides J, Stone TW, Darlington LG (2004) Tryptophan loading induces oxidative stress. Free Radic Res 38:1167–1171

    PubMed  CAS  Article  Google Scholar 

  • Forrest CM, Mackay GM, Stoy N, Spiden SL, Taylor R, Stone TW, Darlington LG (2010) Blood levels of kynurenines, interleukin IL-23 and sHLA-G at different stages of Huntington’s disease. J Neurochem 112:112–122

    PubMed  CAS  Article  Google Scholar 

  • Forrest CM, Mackay GM, Oxford L, Stoy N, Stone TW, Darlington LG (2006) Kynurenine pathway metabolism in patients with osteoporosis after two years of drug treatment. Clin Exp Pharmacol Physiol 33:1078–1087

    PubMed  CAS  Article  Google Scholar 

  • Fuchs D, Moeller A-A, Reibnegger G, Stoeckle E, Werner E-R, Wachter H (1990) Decreased serum tryptophan in patients with HIV-1 infection correlates with increased serum neopterin and with neurologic/psychiatric symptoms. J Acquir Immune Defic Syndr 3:873–876

    PubMed  CAS  Google Scholar 

  • Gayán J, Brocklebank D, Andresen JM, Alkorta-Aranburu G, US-Venezuela Collaborative Research Group, Zameel Cader M, Roberts SA, Cherny SS, Wexler NS, Cardon LR, Housman DE (2008) Genomewide linkage scan reveals novel loci modifying age of onset of Huntington’s disease in the Venezuelan HD kindreds. Genet Epidemiol 32:445–453

    PubMed  Article  Google Scholar 

  • Gehrmann J, Banati RB, Wiessnert C, Hossmann KA, Kreutzberg GW (1995) Reactive microglia in cerebral ischemia—an early mediator of tissue damage. Neuropathol Appl Neurobiol 21:277–289

    PubMed  CAS  Article  Google Scholar 

  • Giles GI, Collins CA, Stone TW, Jacob C (2003) Electrochemical and in vitro evaluation of the redox properties of kynurenine species. Biochem Biophys Res Commun 300:719–724

    PubMed  CAS  Article  Google Scholar 

  • Giorgini F, Guidetti P, Nguyen QV, Bennett SC, Muchowski PJ (2005) A genomic screen in yeast implicates kynurenine 3-monooxygenase as a therapeutic target for Huntington disease. Nat Genet 37:526–531

    PubMed  CAS  Article  Google Scholar 

  • Giorgini F, Moller T, Kwan W, Zwilling D, Wacker JL, Hong S, Tsai LC-L, Cheah CS, Schwarcz R, Guidetti P, Muchowski PJ (2008) Histone deacetylase inhibition modulates kynurenine pathway activation in yeast, microglia and mice expressing a mutant huntingtin fragment. J Biol Chem 283:7390–7400

    PubMed  CAS  Article  Google Scholar 

  • Goldstein LE, Leopold MC, Huang X et al (2000) 3-Hydroxykynurenine and 3-hydroxy-anthranilic acid generate hydrogen peroxide and promote α-crystallin cross-linking by metal ion reduction. Biochemistry 39:7266–7275

    PubMed  CAS  Article  Google Scholar 

  • Gonzalez-Hernandez A, LeMaoult J, Lopez A, Alegre E, Caumartin J, Le Rond S et al (2005) Linking two immuno-suppressive molecules: indoleamine 2, 3 dioxygenase can modify HLA-G cell-surface expression. Biol Reprod 73:571–578

    PubMed  CAS  Article  Google Scholar 

  • Guidetti P, Schwarcz R (1999) 3-Hydroxykynurenine potentiates quinolinate but not NMDA toxicity in the rat striatum. Eur J Neurosci 11:3857–3863

    PubMed  CAS  Article  Google Scholar 

  • Guidetti P, Reddy PH, Tagle DA, Schwarcz R (2000) Early kynureninergic impairment in Huntington’s disease and in a transgenic animal model. Neurosci Lett 283:233–235

    PubMed  CAS  Article  Google Scholar 

  • Guidetti P, Luthi-Carter RE, Augood SJ, Schwarcz R (2004) Neostriatal and cortical quinolinate levels are increased in early grade Huntington’s disease. Neurobiol Dis 17:455–461

    PubMed  CAS  Article  Google Scholar 

  • Guidetti P, Bates GP, Graham RK, Hayden MR, Leavitt BR, MacDonald ME, Slow EJ, Wheeler VC, Woodman B, Schwarcz R (2006) Elevated brain 3-hydroxykynurenine and quinolinate in Huntington disease mice. Neurobiol Dis 23:190–197

    PubMed  CAS  Article  Google Scholar 

  • Guillemin GJ, Cullen KM, Lim CK, Smythe GA, Garner B, Kapoor V, Takikawa O, Brew BJ (2007) Characterization of the kynurenine pathway in human neurons. J Neurosci 27:12884–12892

    PubMed  CAS  Article  Google Scholar 

  • Haass C, Selkoe DJ (2007) Soluble protein oligomers in neurodegeneration: lessons from the Alzheimer’s amyloid beta-peptide. Nat Rev Mol Cell Biol 8:101–112

    PubMed  CAS  Article  Google Scholar 

  • Harris CA, Miranda AF, Tanguay JJ, Boegman RJ, Beninger RJ, Jhamandas K (1998) Modulation of striatal quinolinate neurotoxicity by elevation of endogenous brain kynurenic acid. Br J Pharmacol 124:391–399

    PubMed  CAS  Article  Google Scholar 

  • Hassel B, Tessler S, Faull RLM, Emson PC (2008) Glutamate uptake is reduced in prefrontal cortex in Huntington’s disease. Neurochem Res 33:232–237

    PubMed  CAS  Article  Google Scholar 

  • Heng MY, Detloff PJ, Wang PL, Tsien JZ, Albin RL (2009) In vivo evidence for NMDA receptor-mediated excitotoxicity in a murine genetic model of Huntington disease. J Neurosci 29:3200–3205

    PubMed  CAS  Article  Google Scholar 

  • Heyes MP (1993) Quinolinic acid and inflammation. Ann NY Acad Sci 679:211–216

    PubMed  CAS  Article  Google Scholar 

  • Heyes MP, Saito K, Crowley JS, Davis LE, Demitrack MA, Der M, Dilling LA, Elia J, Kruesi MJP, Lackner A, Larsen SA, Lee K, Leonard HL, Markey SP, Martin A, Milstein S, Mouradian MM, Pranzatelli MR, Quearry BJ, Salazar A, Smith M, Strauss SE, Sunderland T, Swedo SW, Tourtellotte WW (1992a) Quinolinic acid and kynurenine pathway metabolism in inflammatory and noninflammatory neurological disease. Brain 115:1249–1273

    PubMed  Article  Google Scholar 

  • Heyes MP, Saito K, Markey SP (1992b) Human macrophages convert l-tryptophan into the neurotoxin quinolinic acid. Biochem J 283:633–635

    PubMed  CAS  Google Scholar 

  • Heyes MP, Achim CL, Wiley CA, Major EO, Saito K, Markey SP (1996) Human microglia convert l-tryptophan into the neurotoxin quinolinic acid. Biochem J 320:595–597

    PubMed  CAS  Google Scholar 

  • Hilmas C, Pereira EF, Alkondon M, Rassoulpour A, Schwarcz R (2001) The brain metabolites kynurenic acid inhibits α7-nicotinic receptor activity and increases non-α7 nicotinic receptor expression. J Neurosci 21:7463–7473

    PubMed  CAS  Google Scholar 

  • Hoffmann G, Schobersberger W (2004) Neopterin: a mediator of the cellular immune system. Pteridines 15:107–112

    CAS  Google Scholar 

  • Huang Q, Zhou D, Sapp E, Aizawa H, Ge P, Bird ED et al (1995) Quinolinic acid-induced increases in calbindin-d-28 k immunoreactivity in rat striatal neurons in-vivo and in-vitro mimic the pattern seen in Huntingtons-disease. Neuroscience 65:397–407

    PubMed  CAS  Article  Google Scholar 

  • Huang J, Uphadyay UM, Tamargo RJ (2006) Inflammation in stroke and focal cerebral ischemia. Surg Neurol 66:232–245

    PubMed  Article  Google Scholar 

  • Hughes PE, Alexi T, Williams CE, Clark RG, Gluckman PD (1999) Administration of recombinant human Activin-A has powerful neurotrophic effects on select striatal phenotypes in the quinolinic acid lesion model of Huntington’s disease. Neuroscience 92:197–209

    PubMed  CAS  Article  Google Scholar 

  • Hunt JS, Langat DL (2009) HLA-G: a human pregnancy modulator. Curr Opin Pharmacol 9:462–469

    PubMed  CAS  Article  Google Scholar 

  • Jauch D, Urbanska EM, Guidetti P, Bird ED, Vonsattel JP, Whetsell WO, Schwarcz R (1995) Dysfunction of brain kynurenic acid metabolism in Huntington’s disease: focus on kynurenine aminotransferase. J Neurol Sci 130:39–47

    PubMed  CAS  Article  Google Scholar 

  • Kanai T, Fujii T, Kozuma S, Yamashita T, Miki A, Kikuchi A, Taketani Y (2001) Soluble HLA-G influences the release of cytokines from allogeneic peripheral blood mononuclear cells in culture. Mol Human Reprod 7:195–200

    CAS  Article  Google Scholar 

  • Kepplinger B, Baran H, Kainz A, Ferraz-Leite H, Newcombe J, Kalina P (2005) Age-related increase of kynurenic acid in human cerebrospinal fluid-IgG and beta(2)-microglobulin changes. Neurosignals 14:126–135

    PubMed  CAS  Article  Google Scholar 

  • Kuemmerle S, Gutekunst CA, Klein AM, Li XJ, Li SH, Beal MF, Hersch SM et al (1999) Huntingtin aggregates may not predict neuronal death in Huntington’s disease. Ann Neurol 46:842–849

    PubMed  CAS  Article  Google Scholar 

  • Le Rond S, Gonzalez A, Gonzalez ASL, Carosella ED, Rouas-Freiss N (2005) Indoleamine 2, 3 dioxygenase and human leucocyte antigen-G inhibit the T-cell alloproliferative response through two independent pathways. Immunology 116:297–307

    PubMed  CAS  Article  Google Scholar 

  • Leblhuber F, Walli J, Jellinger K, Tilz GP, Widner B, Laccone F, Fuchs D (1998) Activated immune system in patients with Huntington’s disease. Clin Chem Lab Med 36:747–750

    PubMed  CAS  Article  Google Scholar 

  • Lee SM, Lee YS, Choi JH, Park SG, Choi IW, Joo YD, Lee WS, Lee JN, Choi I, Seo K (2010) Tryptophan metabolite 3-hydroxyanthranilic acid selectively induces activated T cell death via intracellular GSH depletion. Immunol Lett 132:53–60

    PubMed  CAS  Article  Google Scholar 

  • Leipnitz G, Schumacher C, Dalcin KB et al (2006) In vitro evidence for an antioxidant role of 3-hydroxykynurenine and 3-hydroxyanthranilic acid in the brain. Neurochem Int 50:83–94

    PubMed  Article  CAS  Google Scholar 

  • López AS, Alegre E, LeMaoult J, Carosella E, González A (2006) Regulatory role of tryptophan degradation pathway in HLA-G expression by human monocyte-derived dendritic cells. Mol Immunol 43:2151–2160

    PubMed  Article  CAS  Google Scholar 

  • López AS, Alegre E, Díaz-Lagares A, García-Girón C, Coma MJ, González A (2008) Effect of 3-hydroxyanthranilic acid in the immunosuppressive molecules indoleamine dioxygenase and HLA-G in macrophages. Immunol Lett 117:91–95

    PubMed  Article  CAS  Google Scholar 

  • Mackay GM, Forrest CM, Stoy N, Christofides J, Egerton M, Stone TW, Darlington LG (2006) Tryptophan metabolism and oxidative stress in patients with chronic brain injury. Eur J Neurol 13:30–42

    PubMed  CAS  Article  Google Scholar 

  • Marquardt L, Ruf A, Mansmann U, Winter R, Buggle F, Kallenberg K, Grau AJ (2005) Inflammatory response after acute stroke. J Neurol Sci 236:65–71

    PubMed  CAS  Article  Google Scholar 

  • Matteoli G, Mazzini E, Iliev ID, Mileti E, Fallarino F, Puccetti P, Chieppa M, Rescigno M (2010) Gut CD103+dendritic cells express indoleamine 2, 3-dioxygenase which influences T regulatory/T effector cell balance and oral tolerance induction. Gut 59:595–604

    PubMed  CAS  Article  Google Scholar 

  • Mezrich JD, Fechner JH, Zhang X, Johnson BP, Burlingham WJ, Bradfield CA (2010) An interaction between kynurenine and the aryl hydrocarbon receptor can generate regulatory T cells. J Immunol 185:3190–3198

    PubMed  CAS  Article  Google Scholar 

  • Miller BR, Dorner JL, Shou M, Sari Y, Barton SJ, Sengelaub DR et al (2008) Up-regulation of GLT1 expression increases glutamate uptake and attenuates the Huntington’s disease phenotype in the R6/2 mouse. Neuroscience 153:329–337

    PubMed  CAS  Article  Google Scholar 

  • Moroni F (1999) Tryptophan metabolism and brain function: focus on kynurenine and other indole metabolites. Eur J Pharmacol 375:87–100

    PubMed  CAS  Article  Google Scholar 

  • Munn DH, Zhou M, Attwood JT, Bondarev I, Conway SJ, Marshall B et al (1998) Prevention of allogeneic fetal rejection by tryptophan catabolism. Science 281:1191–1193

    PubMed  CAS  Article  Google Scholar 

  • Nakagami Y, Saito H, Katsuki H (1996) 3-Hydroxykynurenine toxicity on the rat striatum in vivo. Jpn J Pharmacol 71:183–186

    PubMed  CAS  Article  Google Scholar 

  • Narui K, Noguchi N, Saito A, Kakimi K, Motomura N, Kubo K (2009) Anti-infectious activity of tryptophan metabolites in the l-tryptophan–l-kynurenine pathway. Biol Pharm Bull 32:41–44

    PubMed  CAS  Article  Google Scholar 

  • Nemeth H, Toldi J, Vecsei L (2005) Role of kynurenines in the central and peripheral nervous systems. Curr Neurovasc Res 2:249–260

    PubMed  Article  Google Scholar 

  • Okuda S, Nishiyama N, Saito H, Katsuki H (1996) Hydrogen peroxide-mediated neuronal cell death induced by an endogenous neurotoxin, 3-hydroxykynurenine. Proc Natl Acad Sci USA 93:12553–12558

    PubMed  CAS  Article  Google Scholar 

  • Okuda S, Nishiyama N, Saito H, Katsuki H (1998) 3-Hydroxykynurenine, an endogenous oxidative stress generator, causes neuronal cell death with apoptotic features and region selectivity. J Neurochem 70:299–307

    PubMed  CAS  Article  Google Scholar 

  • Pearson SJ, Reynolds GP (1992) Increased brain concentrations of a neurotoxin, 3-hydroxy-kynurenine, in Huntington’s disease. Neurosci Lett 144:199–201

    PubMed  CAS  Article  Google Scholar 

  • Pearson SJ, Meldrum A, Reynolds GP (1995) An investigation of the activities of 3-hydroxykynureninease and kynurenine aminotransferase in the brain in Huntington’s disease. J Neural Transm 102:67–73

    CAS  Article  Google Scholar 

  • Perez-De La Cruz V, Elinos-Calderon D, Robledo-Arratia Y, Medina-Campos ON, Pedraza-Chaverri J, Ali SF, Santamaria A (2009) Targeting oxidative/nitrergic stress ameliorates motor impairment, and attenuates synaptic mitochondrial dysfunction and lipid peroxidation in two models of Huntington’s disease. Behav Brain Res 199:210–217

    PubMed  CAS  Article  Google Scholar 

  • Perkins MN, Stone TW (1982) An iontophoretic investigation of the actions of convulsant kynurenines and their interaction with the endogenous excitant quinolinic acid. Brain Res 247:184–187

    PubMed  CAS  Article  Google Scholar 

  • Pertovaara M, Raitala A, Lehtimaki T, Karhunen PJ, Oja SS, Jylha M, Hervonen A, Hurme M (2006) Indoleamine 2,3-dioxygenase activity in nonagenarians is markedly increased and predicts mortality. Mech Ageing Develop 127:497–499

    CAS  Article  Google Scholar 

  • Politi V, Deluca G, Gallai V, Puca O, Comin M (1999) Clinical experiences with the use of indole-3-pyruvic acid. Adv Exp Med Biol 467:227–232

    PubMed  CAS  Article  Google Scholar 

  • Popoli P, Pezzola A, Domenici ME, Sagratella S, Diana G, Caporali MG et al (1994) Behavioural and electrophysiological correlates of the quinolinic acid rat model of Huntington’s disease in rats. Brain Res Bull 35:329–335

    PubMed  CAS  Article  Google Scholar 

  • Reynolds GP, Pearson SJ (1989) Increased brain 3-hydroxykynurenine in Huntington’s disease. Lancet 2:979–980

    PubMed  CAS  Article  Google Scholar 

  • Rodgers J, Stone TW, Barratt MP, Bradley B, Kennedy PG (2009) Kynurenine pathway inhibition reduces central nervous system inflammation in a model of human African trypanosomiasis. Brain 132:1259–1267

    PubMed  Article  Google Scholar 

  • Roever S, Cesura AM, Hugenin P, Kettler R, Szente A (1997) Synthesis and biochemical evaluation of N-(4-phenylthiazol-2-yl)benzenesulfonamides as high-affinity inhibitors of kynurenine 3-hydroxylase. J Med Chem 40:4378–4385

    CAS  Article  Google Scholar 

  • Roze E, Saudou F, Caboche J (2008) Pathophysiology of Huntington’s disease: from huntingtin functions to potential treatments. Curr Opin Neurol 21:497–503

    PubMed  CAS  Article  Google Scholar 

  • Saito K, Markey SP, Heyes MP (1992) Effects of immune activation on quinolinic acid and neuroactive kynurenines in the mouse. Neuroscience 51:25–39

    PubMed  CAS  Article  Google Scholar 

  • Saito K, Nowak TS, Markey SP, Heyes MP (1993a) Mechanism of delayed increases in kynurenine pathway metabolism in damaged brain-regions following transient cerebral-ischemia. J Neurochem 60:180–192

    PubMed  CAS  Article  Google Scholar 

  • Saito K, Nowak TS, Suyama K, Quearry BJ, Saito M, Crowley JS, Markey SP, Heyes MP (1993b) Kynurenine pathway enzymes in brain—responses to ischemic brain injury versus systemic immune activation. J Neurochem 61:2061–2070

    PubMed  CAS  Article  Google Scholar 

  • Sapp E, Kegel KB, Aronin N, Hashikawa T, Uchiyama Y, Tohyama K et al (2001) Early and progressive accumulation of reactive microglia in the Huntington disease brain. J Neuropathol Exp Neurol 60:161–172

    PubMed  CAS  Google Scholar 

  • Sathasivam K, Hobbs C, Mangiarini L, Mahal A, Turmaine M, Doherty P et al (1999) Transgenic models of Huntington’s disease. Philos Trans R Soc B Biol Sci 354:963–969

    CAS  Article  Google Scholar 

  • Sathyasaikumar KV, Stachowski EK, Amori L, Guidetti P, Muchowski PJ, Schwarcz R (2010) Dysfunctional kynurenine pathway metabolism in the R6/2 mouse model of Huntington’s disease. J Neurochem 113:1416–1425

    PubMed  CAS  Google Scholar 

  • Schroecksnadel K, Murr C, Winkler C, Wirleitner B, Fruith LC, Fuchs D (2004) Neopterin to monitor clinical pathologies involving interferon-gamma production. Pteridines 15:75–90

    CAS  Google Scholar 

  • Schwarcz R, Jnr Whetsell WO, Mangano RM (1983) Quinolinic acid: an endogenous metabolite that produces axon-sparing lesions in rat brain. Science 219:316–318

    PubMed  CAS  Article  Google Scholar 

  • Schwarcz R, Okuno E, White RJ, Bird ED, Jnr Whetsell WO (1988) 3-Hydroxyanthranilate oxygenase activity is increased in the brains of Huntington disease victims. Proc Natl Acad Sci USA 85:4079–4081

    PubMed  CAS  Article  Google Scholar 

  • Schwarcz R, Pellicciari R (2002) Manipulation of brain kynurenines: glial targets, neuronal effects, and clinical opportunities. J Pharmacol Exp Ther 303:1–10

    PubMed  CAS  Article  Google Scholar 

  • Schwarcz R, Guidetti P, Sathyasaikumar KV, Muchowski PJ (2009) Of mice, rats and men: revisiting the quinolinic acid hypothesis of Huntington’s disease. Progr Neurobiol 90:230–245

    Article  CAS  Google Scholar 

  • Schwarz M, Block F, Topper R, Sontag KH, Noth J (1992) Abnormalities of somatosensory evoked-potentials in the quinolinic acid model of Huntingtons-disease—evidence that basal ganglia modulate sensory cortical input. Ann Neurol 32:358–364

    PubMed  CAS  Article  Google Scholar 

  • Sperner-Unterweger B, Miller C, Holzner B, Laich A, Widner B, Fleischhacker WW, Fuchs D (2002) Immunologic alterations in schizophrenia: neopterin, L-kynurenine, tryptophan and T-cell subsets in the acute stage of illness. Pteridines 13:9–14

    CAS  Google Scholar 

  • Stone TW (1993) The neuropharmacology of quinolinic and kynurenic acids. Pharmacol Rev 45:309–379

    PubMed  CAS  Google Scholar 

  • Stone TW, Darlington LG (2002) Endogenous kynurenines as targets for drug discovery and development. Nat Rev Drug Discov 1:609–620

    PubMed  CAS  Article  Google Scholar 

  • Stone TW, Perkins MN (1981) Quinolinic acid: a potent endogenous excitant at amino acid receptors in the CNS. Eur J Pharmacol 72:411–412

    PubMed  CAS  Article  Google Scholar 

  • Stone TW (2001) Kynurenines in the CNS—from obscurity to therapeutic importance. Prog Neurobiol 64:185–218

    PubMed  CAS  Article  Google Scholar 

  • Stone TW (2007) Kynurenic acid blocks nicotinic synaptic transmission to hippocampal interneurons in young rats. Eur J Neurosci 25:2656–2665

    PubMed  Article  Google Scholar 

  • Storey E, Cipolloni PB, Ferrrante RJ, Kowall NW, Beal MF (1994) Movement disorder following excitotoxin lesions in primates. Neuroreport 5:1259–1261

    PubMed  CAS  Google Scholar 

  • Stoy N, Mackay GM, Forrest CM, Christofides J, Egerton M, Stone TW, Darlington LG (2005) Tryptophan metabolism and oxidative stress in patients with Huntington’s disease. J Neurochem 93:611–623

    PubMed  CAS  Article  Google Scholar 

  • Tabrizi SJ, Workman J, Hart PE, Mangiarini L, Mahal A, Bates G, Cooper JM, Schapira AHV (2000) Mitochondrial dysfunction and free radical damage in the Huntington R6/2 transgenic mouse. Ann Neurol 47:80–86

    PubMed  CAS  Article  Google Scholar 

  • Tatter SB, Galpern WR, Hoogeveen AT, Isacson O (1995) Effects of striatal excitotoxicity on Huntington-like immunoreactivity. Neuroreport 6:1125–1129

    PubMed  CAS  Article  Google Scholar 

  • Tauber E, Miller-Fleming L, Mason RP, Kwan W, Clapp J, Butler NJ, Outeiro TF, Muchowski PJ, Giorgini F (2010) Functional gene expression profiling in yeast implicates translational dysfunction in mutant huntingtin toxicity. J Biol Chem (in press)

  • Terness P, Bauer TM, Rose L, Dufter C, Watzlik A, Simon H, Opelz G (2002) Inhibition of allogeneic T cell proliferation by indoleamine 2, 3-dioxygenase-expressing dendritic cells: mediation of suppression by tryptophan metabolites. J Exp Med 196:447–457

    PubMed  CAS  Article  Google Scholar 

  • Thakur AK, Jayaraman M, Mishra R, Thakur M, Chellgren VM, Byeon IJ et al (2009) Polyglutamine disruption of the huntingtin exon 1 N terminus triggers a complex aggregation mechanism. Nat Struct Mol Biol 16:380–389

    PubMed  CAS  Article  Google Scholar 

  • The Huntington Study Group (1996) Unified Huntington’s disease rating scale: reliability and consistency. Mov Disord 11:136–142

    Article  Google Scholar 

  • Thomas SR, Stocker R (1999) Redox reactions related to indoleamine 2, 3-dioxygenase and tryptophan metabolism along the kynurenine pathway. Redox Rep 4:199–220

    PubMed  CAS  Article  Google Scholar 

  • Thomas SR, Witting PK, Stocker R (1996) 3-Hydroxyanthranilic acid is an efficient, cell-derived co-antioxidant for alpha-tocopherol, inhibiting human low density lipoprotein and plasma lipid peroxidation. J Biol Chem 271:32714–32721

    PubMed  CAS  Article  Google Scholar 

  • Usdin MT, Shelbourne PF, Myers RM, Madison DV (1999) Impaired synaptic plasticity in mice carrying the Huntington’s disease mutation. Human Mol Genet 8:839–846

    CAS  Article  Google Scholar 

  • Vecsei L, Beal MF (1991) Comparative behavioral and neurochemical studies with striatal kainic acid-lesioned or quinolinic acid-lesioned rats. Pharmacol Biochem Behav 39:473–478

    PubMed  CAS  Article  Google Scholar 

  • Vexler ZS, Tang XN, Yenari MA (2006) Inflammation in adult and neonatal stroke. Clin Neurosci Res 6:293–313

    PubMed  CAS  Article  Google Scholar 

  • Weber WP, Feder-Mengus C, Chiarugi A, Rosenthal R, Reschner A, Schumacher R, Zajaz P, Misteli H, Frey DM, Oertli D, Heberer M, Spagnoli GC (2006) Differential effects of the tryptophan metabolite 3-hydroxyanthranilic acid on the proliferation of human CD8(+) T cells induced by TCR triggering or homeostatic cytokines. Eur J Immunol 36:296–304

    PubMed  CAS  Article  Google Scholar 

  • Weiss G, Diez-Ruiz A, Murr C, Theurl I, Fuchs D (2002) Tryptophan metabolites as scavengers of reactive oxygen and chlorine species. Pteridines 13:140–144

    CAS  Google Scholar 

  • Werner ER, Bitterlich G, Fuchs D, Hausen A, Reibnegger G, Szabo G (1987) Human macrophages degrade tryptophan upon induction by interferon-γ. Life Sci 41:273–280

    PubMed  CAS  Article  Google Scholar 

  • Werner ER, Werner-Felmayer G, Fuchs D, Hausen A, Reibnegger G, Wachter H (1989) Parallel induction of tetrahydrobiopterin biosynthesis and indoleamine 2, 3-dioxygenase activity in human cells and cell lines by interferon-gamma. Biochem J 262:861–866

    PubMed  CAS  Google Scholar 

  • White BC, Sullivan JM, De Gracia DJ, O’Neill BJ, Neumar RW, Grossman LI, Rafols JA, Krause GS (2000) Brain ischemia and reperfusion: molecular mechanisms of neuronal injury. J Neurol Sci 179:1–33

    PubMed  CAS  Article  Google Scholar 

  • Widner B, Ledochowski M, Fuchs D (2000) Interferon-gamma-induced tryptophan degradation: neuropsychiatric and immunological consequences. Curr Drug Metabol 1:193–204

    CAS  Article  Google Scholar 

  • Wiendl H, Feger U, Mittelbronn M, Jack C, Schreiner B, Stadelmann C et al (2005) Expression of the immune-tolerogenic major histocompatibility molecule HLA-G in multiple sclerosis: implications for CNS immunity. Brain 128:2689–2704

    PubMed  Article  Google Scholar 

  • Wiendl H (2007) HLA-G in the nervous system. Human Immunol 68:286–293

    CAS  Article  Google Scholar 

  • Wirleitner B, Neurauter G, Schrocksnadel K, Frick B, Fuchs D (2003a) Interferon-gamma-induced conversion of tryptophan: immunologic and neuropsychiatric aspects. Curr Med Chem 10:1581–1591

    PubMed  CAS  Article  Google Scholar 

  • Wirleitner B, Rudzite V, Neurauter G, Murr C, Kalnins U, Erglis A, Trusinskis K, Fuchs D (2003b) Immune activation and degradation of tryptophan in coronary heart disease. Eur J Clin Invest 33:550–554

    PubMed  CAS  Article  Google Scholar 

  • Xu H, Zhang GX, Ciric B, Rostami A (2008) IDO: a double-edged sword for T(H)1/T(H)2 regulation. Immunol Lett 121:1–6

    PubMed  CAS  Article  Google Scholar 

  • Yan Y, Zhang GX, Gran B, Fallarino F, Yu S, Li H, Cullimore ML, Roatami A, Xu H (2010) IDO upregulates regulatory T cells via tryptophan catabolite and suppresses encephalitogenic T cell responses in experimental autoimmune encephalomyelitis. J Immunol 185:5953–5961

    PubMed  CAS  Article  Google Scholar 

  • Zhang XQ, Smith DL, Merlin AB, Engemann S, Russel DE, Roark M et al (2005) A potent small molecule inhibits polyglutamine aggregation in Huntington’s disease neurons and suppresses neurodegeneration in vivo. Proc Natl Acad Sci USA 102:892–897

    PubMed  CAS  Article  Google Scholar 

  • Zhu BT (2010) Development of selective immune tolerance towards the allogeneic fetus during pregnancy: role of tryptophan catabolites. Int J Mol Med 25:831–835

    PubMed  Article  Google Scholar 

Download references

Author information

Affiliations

Authors

Corresponding author

Correspondence to Trevor W. Stone.

Rights and permissions

Reprints and Permissions

About this article

Cite this article

Stone, T.W., Forrest, C.M., Stoy, N. et al. Involvement of kynurenines in Huntington’s disease and stroke-induced brain damage. J Neural Transm 119, 261–274 (2012). https://doi.org/10.1007/s00702-011-0676-8

Download citation

  • Received:

  • Accepted:

  • Published:

  • Issue Date:

  • DOI: https://doi.org/10.1007/s00702-011-0676-8

Keywords

  • Tryptophan
  • Kynurenine
  • Kynurenic acid
  • Quinolinic acid
  • Huntington’s disease
  • Stroke
  • Neurodegeneration
  • Cognition