Skip to main content

Behavioral sensitization to nicotine in female and male rats

Abstract

Behavioral sensitization to nicotine has been studied in both male and female rats, but studies up to now have been difficult to compare due to different experimental conditions. Including both sexes in scientific research is of great importance since clinical data indicate gender differences both in response to nicotine and in ability for smoking cessation. The aim of the present study was to compare behavioral sensitization and body-weight gain to two chronic doses of nicotine in female and male Wistar rats housed in unisex conditions. The rats received daily subcutaneous injections of vehicle or nicotine (0.2 or 0.4 mg/kg, free base) and locomotor activity was measured at days 1, 7, 14, 21, 28 and 37 after administration of vehicle or nicotine (0.4 mg/kg). On day 45, all rats received an injection of nicotine. Body weights were monitored throughout the experiment. All rats receiving nicotine developed a sensitized response to the locomotor stimulatory effects of the drug. Male and female rats displayed a similar effect on horizontal and rearing activity after treatment with nicotine. Acute nicotine treatment induced a depressed rearing activity in male, but not female, rats; however, after chronic treatment the rats displayed a sensitized response. Furthermore, females treated with nicotine gained less weight compared to controls, while no such effect was seen in males. In conclusion, the present study does not support findings suggesting sex differences in development of behavioral sensitization to nicotine, while it demonstrates differences in nicotine-induced effects on weight gain in female and male rats.

This is a preview of subscription content, access via your institution.

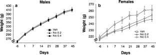
Fig. 1
Fig. 2
Fig. 3
Fig. 4

References

  • Balfour DJ, Benwell ME, Birrell CE, Kelly RJ, Al-Aloul M (1998) Sensitization of the mesoaccumbens dopamine response to nicotine. Pharmacol Biochem Behav 59:1021–1030

    CAS  Article  PubMed  Google Scholar 

  • Blanchard DC, Cholvanich P, Blanchard RJ, Clow DW, Hammer RP Jr, Rowlett JK, Bardo MT (1991) Serotonin, but not dopamine, metabolites are increased in selected brain regions of subordinate male rats in a colony environment. Brain Res 568:61–66

    CAS  Article  PubMed  Google Scholar 

  • Blanchard DC, Sakai RR, McEwen B, Weiss SM, Blanchard RJ (1993) Subordination stress: behavioral, brain, and neuroendocrine correlates. Behav Brain Res 58:113–121

    CAS  Article  PubMed  Google Scholar 

  • Booze RM, Welch MA, Wood ML, Billings KA, Apple SR, Mactutus CF (1999) Behavioral sensitization following repeated intravenous nicotine administration: gender differences and gonadal hormones. Pharmacol Biochem Behav 64:827–839

    CAS  Article  PubMed  Google Scholar 

  • Clarke PB, Kumar R (1983) The effects of nicotine on locomotor activity in non-tolerant and tolerant rats. Br J Pharmacol 78:329–337

    CAS  PubMed  Google Scholar 

  • Dagher A, Bleicher C, Aston JA, Gunn RN, Clarke PB, Cumming P (2001) Reduced dopamine D1 receptor binding in the ventral striatum of cigarette smokers. Synapse 42:48–53

    CAS  Article  PubMed  Google Scholar 

  • Dawe S, Gerada C, Russell MA, Gray JA (1995) Nicotine intake in smokers increases following a single dose of haloperidol. Psychopharmacology (Berl) 117:110–115

    CAS  Article  Google Scholar 

  • DiFranza JR, Wellman RJ (2007) Sensitization to nicotine: how the animal literature might inform future human research. Nicotine Tob Res 9:9–20

    CAS  Article  PubMed  Google Scholar 

  • Domino EF (2001) Nicotine induced behavioral locomotor sensitization. Prog Neuropsychopharmacol Biol Psychiatry 25:59–71

    CAS  Article  PubMed  Google Scholar 

  • Grubbs FE (1950) Sample criteria for testing outlying observations. Ann Math Stat 21:27–58

    Article  Google Scholar 

  • Grunberg NE, Bowen DJ, Winders SE (1986) Effects of nicotine on body weight and food consumption in female rats. Psychopharmacology (Berl) 90:101–105

    CAS  Article  Google Scholar 

  • Grunberg NE, Winders SE, Popp KA (1987) Sex differences in nicotine’s effects on consummatory behavior and body weight in rats. Psychopharmacology (Berl) 91:221–225

    CAS  Article  Google Scholar 

  • Grunberg NE, Winders SE, Wewers ME (1991) Gender differences in tobacco use. Health Psychol 10:143–153

    CAS  Article  PubMed  Google Scholar 

  • Harrod SB, Mactutus CF, Bennett K, Hasselrot U, Wu G, Welch M, Booze RM (2004) Sex differences and repeated intravenous nicotine: behavioral sensitization and dopamine receptors. Pharmacol Biochem Behav 78:581–592

    CAS  Article  PubMed  Google Scholar 

  • Harrod SB, Booze RM, Mactutus CF (2007) Sex differences in nicotine levels following repeated intravenous injection in rats are attenuated by gonadectomy. Pharmacol Biochem Behav 86:32–36

    CAS  Article  PubMed  Google Scholar 

  • Henschke CI, Yip R, Miettinen OS (2006) Women’s susceptibility to tobacco carcinogens and survival after diagnosis of lung cancer. JAMA 296:180–184

    Article  PubMed  Google Scholar 

  • Iyaniwura TT, Wright AE, Balfour DJ (2001) Evidence that mesoaccumbens dopamine and locomotor responses to nicotine in the rat are influenced by pretreatment dose and strain. Psychopharmacology (Berl) 158:73–79

    CAS  Article  Google Scholar 

  • Kalivas PW, Sorg BA, Hooks MS (1993) The pharmacology and neural circuitry of sensitization to psychostimulants. Behav Pharmacol 4:315–334

    CAS  Article  PubMed  Google Scholar 

  • Kanyt L, Stolerman IP, Chandler CJ, Saigusa T, Pogun S (1999) Influence of sex and female hormones on nicotine-induced changes in locomotor activity in rats. Pharmacol Biochem Behav 62:179–187

    CAS  Article  PubMed  Google Scholar 

  • Kita T, Okamoto M, Kubo K, Tanaka T, Nakashima T (1999) Enhancement of sensitization to nicotine-induced ambulatory stimulation by psychological stress in rats. Prog Neuropsychopharmacol Biol Psychiatry 23:893–903

    CAS  Article  PubMed  Google Scholar 

  • Leventhal AM, Waters AJ, Boyd S, Moolchan ET, Lerman C, Pickworth WB (2007) Gender differences in acute tobacco withdrawal: effects on subjective, cognitive, and physiological measures. Exp Clin Psychopharmacol 15:21–36

    Article  PubMed  Google Scholar 

  • McCormick CM, Robarts D, Gleason E, Kelsey JE (2004) Stress during adolescence enhances locomotor sensitization to nicotine in adulthood in female, but not male, rats. Horm Behav 46:458–466

    CAS  Article  PubMed  Google Scholar 

  • Miczek KA, Covington HE 3rd, Nikulina EM Jr, Hammer RP (2004) Aggression and defeat: persistent effects on cocaine self-administration and gene expression in peptidergic and aminergic mesocorticolimbic circuits. Neurosci Biobehav Rev 27:787–802

    CAS  Article  PubMed  Google Scholar 

  • Morrison CF, Stephenson JA (1972) The occurrence of tolerance to a central depressant effect of nicotine. Br J Pharmacol 46:151–156

    CAS  PubMed  Google Scholar 

  • Mucha L, Stephenson J, Morandi N, Dirani R (2006) Meta-analysis of disease risk associated with smoking, by gender and intensity of smoking. Gend Med 3:279–291

    Article  PubMed  Google Scholar 

  • Pauk N, Kubik A, Zatloukal P, Krepela E (2005) Lung cancer in women. Lung Cancer 48:1–9

    Article  PubMed  Google Scholar 

  • Perkins KA, Scott J (2008) Sex differences in long-term smoking cessation rates due to nicotine patch. Nicotine Tob Res 10:1245–1250

    CAS  Article  PubMed  Google Scholar 

  • Perkins KA, Gerlach D, Vender J, Grobe J, Meeker J, Hutchison S (2001) Sex differences in the subjective and reinforcing effects of visual and olfactory cigarette smoke stimuli. Nicotine Tob Res 3:141–150

    CAS  Article  PubMed  Google Scholar 

  • Perna MK, Cope ZA, Maple AM, Longacre ID, Correll JA, Brown RW (2008) Nicotine sensitization in adult male and female rats quinpirole-primed as neonates. Psychopharmacology (Berl) 199:67–75

    CAS  Article  Google Scholar 

  • Prescott E, Hippe M, Schnohr P, Hein HO, Vestbo J (1998) Smoking and risk of myocardial infarction in women and men: longitudinal population study. BMJ 316:1043–1047

    CAS  PubMed  Google Scholar 

  • Robinson TE, Berridge KC (1993) The neural basis of drug craving: an incentive-sensitization theory of addiction. Brain Res Brain Res Rev 18:247–291

    CAS  Article  PubMed  Google Scholar 

  • Robinson TE, Berridge KC (2000) The psychology and neurobiology of addiction: an incentive-sensitization view. Addiction 95(Suppl 2):S91–S117

    PubMed  Google Scholar 

  • Royce JM, Corbett K, Sorensen G, Ockene J (1997) Gender, social pressure, and smoking cessations: the Community Intervention Trial for Smoking Cessation (COMMIT) at baseline. Soc Sci Med 44:359–370

    CAS  Article  PubMed  Google Scholar 

  • Shacka JJ, Fennell OB, Robinson SE (1997) Prenatal nicotine sex-dependently alters agonist-induced locomotion and stereotypy. Neurotoxicol Teratol 19:467–476

    CAS  Article  PubMed  Google Scholar 

  • Westenbroek C, Ter Horst GJ, Roos MH, Kuipers SD, Trentani A, den Boer JA (2003) Gender-specific effects of social housing in rats after chronic mild stress exposure. Prog Neuropsychopharmacol Biol Psychiatry 27:21–30

    Article  PubMed  Google Scholar 

  • Wise RA, Bozarth MA (1987) A psychomotor stimulant theory of addiction. Psychol Rev 94:469–492

    CAS  Article  PubMed  Google Scholar 

  • Hammond SK (2009) Global patterns of nicotine and tobacco consumption. Handb Exp Pharmacol 2009:3–28

    Article  Google Scholar 

Download references

Acknowledgments

Financial support was obtained from Stiftelsen Psykiatriska Forskningsfonden, the National Board of Health and Welfare (Sweden), Lars Hierta Memorial Foundation, Åhlén-stiftelsen, the Swedish Medical Research Council (No. 2006-4988 and 2006-6385), government support for medical research under the LUA agreement (LUA), Gunnar and Märtha Bergendahls Foundation and Wilhelm and Martina Lundgrens Vetenskapsfond. There is no conflict of interest in relation to this article.

Author information

Affiliations

Authors

Corresponding author

Correspondence to Anders I. Svensson.

Rights and permissions

Reprints and Permissions

About this article

Cite this article

Ericson, M., Norrsjö, G. & Svensson, A.I. Behavioral sensitization to nicotine in female and male rats. J Neural Transm 117, 1033–1039 (2010). https://doi.org/10.1007/s00702-010-0449-9

Download citation

  • Received:

  • Accepted:

  • Published:

  • Issue Date:

  • DOI: https://doi.org/10.1007/s00702-010-0449-9

Keywords

  • Gender difference
  • Smoking
  • Body weight
  • Dependence
  • Housing
  • Rat