Skip to main content

Effects of pharmacological entopeduncular manipulations on idiopathic dystonia in the dt sz mutant hamster

Abstract

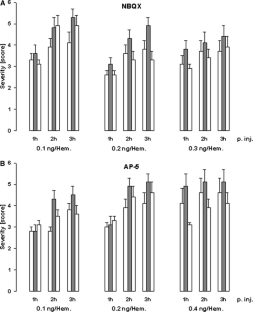
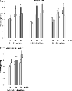
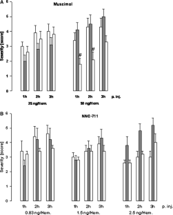
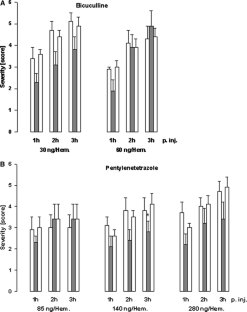
The pathophysiology of idiopathic dystonias is still unknown, but it is regarded as a basal ganglia disorder. Previous experiments in the dt sz hamster, a model of primary paroxysmal dystonia, demonstrated reduced discharge rates and an abnormal pattern within the entopeduncular nucleus (EPN), a basal ganglia output structure. To clarify if this is based on abnormal γ-aminobutyric acid(GABA)ergic or glutamatergic input, microinjections into the EPN were done in mutant hamsters in the present study. The GABAA receptor antagonists pentylenetetrazole and bicuculline exerted moderate antidystonic effects, while previous systemic administrations worsened dystonia in the dt sz mutant. GABA-potentiating drugs, i.e., the GABAA receptor agonist muscimol and the GABA transporter inhibitor 1,2,5,6-tetrahydro-1-[2-[[(diphenylmethylene)amino]oxy]ethyl]-3-pyridinecarboxy-lic acid (NNC-711), which are known to improve dystonia after systemic treatment in mutant hamsters, did not exert significant effects after EPN injections, but NNC-711 tended to increase the severity at the highest dose (2.5 ng bilateral). The NMDA receptor antagonist d(−)-2-amino-5-phosphopentanoic acid (AP-5) retarded the onset of a dystonic attack. However, this effect was not dose dependent and the AMPA receptor antagonist 2,3-dihydroxy-6-nitro-7-sulfamoylbenzol(f)quinoxaline (NBQX) alone or in combination with AP-5 and NNC-711, also failed to show any effects on dystonia. The present data do not provide clear evidence for an enhanced striatal GABAergic input or a reduced glutamatergic activation of the EPN via the subthalamic nucleus, i.e., more pronounced antidystonic effects of GABAA receptor antagonists and stronger prodystonic effects of GABAmimetics and glutamate receptor antagonists were expected. Nevertheless, previously found changes in entopeduncular activity probably play a critical pathophysiological role in dystonic hamsters.

This is a preview of subscription content, access via your institution.

Fig. 1
Fig. 2
Fig. 3
Fig. 4

Abbreviations

AMPA:

α-amino-3-hydroxy-5-methyl-5-isoxazolepropionic acid

AP-5:

d(−)-2-amino-5-phosphopentanoic acid

EPN:

Entopeduncular nucleus

GABA:

γ-aminobutyric acid

GAT-1:

GABA transporter type 1

GPe:

Globus pallidus pars externus

GPi:

Globus pallidus pars internus

NBQX:

2, 3-dihydroxy-6-nitro-7-sulfamoylbenzol(f)quinoxaline

NMDA:

N-methyl-d-aspartate

NNC-711:

1, 2, 5, 6-Tetrahydro-1-[2-[[(diphenylmethylene)amino]oxy]ethyl]-3-pyridinecarboxylic acid

PNKC:

Paroxysmal non-kinesiogenic dyskinesia

References

  • Adachi K, Hasegawa M, Fujita S, Sato M, Miwa Y, Ikeda H, Koshikawa N, Cools AR (2002) Dopaminergic and cholinergic stimulation of the ventrolateral striatum elicit rat jaw movements that are funnelled via distinct efferents. Eur J Pharmacol 442:81–92

    CAS  PubMed  Google Scholar 

  • Adam OR, Jankovic J (2007) Treatment of dystonia. Parkinsonism Relat Disord 13(Suppl 3):362–368

    Article  Google Scholar 

  • Alterman RL, Snyder BJ (2007) Deep brain stimulation for torsion dystonia. Acta Neurochir 97:191–199

    Article  CAS  Google Scholar 

  • Amalric M, Farin D, Dormont JF, Schmied A (1994) GABA-receptor activation in the globus pallidus and entopeduncular nucleus: opposite effects on reaction time performance in the cat. Exp Brain Res 102:244–258

    Article  CAS  PubMed  Google Scholar 

  • Bennay M, Gernert M, Richter A (2001) Spontaneous remission of paroxysmal dystonia coincides with normalization of entopeduncular activity in dt(SZ) mutants. J Neurosci 21:RC153

    CAS  PubMed  Google Scholar 

  • Breakefield XO, Blood AJ, Li Y, Hallett M, Hanson PI, Standaert DG (2008) The pathophysiological basis of dystonias. Nat Rev Neurosci 9:222–234

    Article  CAS  PubMed  Google Scholar 

  • Chiken S, Shashidharan P, Nambu A (2008) Cortically evoked long-lasting inhibition of pallidal neurons in a transgenic mouse model of dystonia. J Neurosci 28:13967–13977

    Article  CAS  PubMed  Google Scholar 

  • Colleoni S, Jensen AA, Landucci E, Fumagalli E, Conti P, Pinto A, De Amici M, Pellegrini-Giampietro DE, De Micheli C, Mennini T, Gobbi M (2008) Neuroprotective effects of the novel glutamate transporter inhibitor (−)-3-hydroxy-4, 5, 6, 6a-tetrahydro-3aH-pyrrolo[3, 4-d]-isoxazole-4-carboxylic acid, which preferentially inhibits reverse transport (glutamate release) compared with glutamate reuptake. J Pharmacol Exp Ther 326:646–656

    Article  CAS  PubMed  Google Scholar 

  • Erez Y, Czitron H, McCairn K, Belelovsky K, Bar-Gad I (2009) Short-term depression of synaptic transmission during stimulation in the globus pallidus of 1-methyl-4-phenyl-1, 2, 3, 6-tetrahydropyridine-treated primates. J Neurosci 29(24):7797–7802

    Article  CAS  PubMed  Google Scholar 

  • Fahn S, Bressman SB, Marsden CD (1998) Classification of dystonia. Adv Neurol 78:1–10

    CAS  PubMed  Google Scholar 

  • Galvan A, Wichmann T (2007) GABAergic circuits in the basal ganglia and movement disorders. In: Tepper, Abercrombie, Bolam (eds) Prog Brain Res 160:287–312

  • Gatev P, Darbin O, Wichmann T (2006) Oscillations in the basal ganglia under normal conditions and in movement disorders. Mov Disord 21(10):1566–1577

    Article  PubMed  Google Scholar 

  • Ge ZJ, Zhang LC, Zeng YM, Da TJ, Wang JK, Cui GX, Tan YF, Zhao YP, Liu GJ (2007) Involvement of NMDA receptors in thiopental-induced loss of righting reflex, antinociception and anticonvulsion effects in mice. Pharmacology 80:127–133

    Article  CAS  PubMed  Google Scholar 

  • Gernert M, Richter A, Löscher W (1999) Alterations in spontaneous single unit activity of striatal subdivisions during ontogenesis in mutant dystonic hamsters. Brain Res 821:277–285

    Article  CAS  PubMed  Google Scholar 

  • Gernert M, Hamann M, Bennay M, Löscher W, Richter A (2000) Deficit of striatal parvalbumin-reactive GABAergic interneurons and decreased basal ganglia output in a genetic rodent model of idiopathic paroxysmal dystonia. J Neurosci 20:7052–7058

    CAS  PubMed  Google Scholar 

  • Gernert M, Bennay M, Fedrowitz M, Rehders JH, Richter A (2002) Altered discharge pattern of basal ganglia output neurons in an animal model of idiopathic dystonia. J Neurosci 22:7244–7253

    CAS  PubMed  Google Scholar 

  • Gross RE (2008) What happened to posteroventral pallidotomy for parkinson’s disease and dystonia? Neurotherapeutics 5(2):281–293

    Article  CAS  PubMed  Google Scholar 

  • Hamann M, Richter A (2002) Effects of striatal injections of GABA(A) receptor agonists and antagonists in a genetic animal model of paroxysmal dystonia. Eur J Pharmacol 443:59–70

    Article  CAS  PubMed  Google Scholar 

  • Hamann M, Richter A (2004) Effects of rubral microinjections of muscimol and bicuculline in a genetic animal model of paroxysmal dystonia. Brain Res 1008:126–130

    Article  CAS  PubMed  Google Scholar 

  • Hamann M, Sander SE, Richter A (2005) Age-dependent alterations of striatal calretinin interneuron density in a genetic animal model of primary paroxysmal dystonia. J Neuropathol Exp Neurol 64:776–781

    Article  PubMed  Google Scholar 

  • Hamann M, Richter A, Meillasson FV, Nitsch C, Ebert U (2007) Age-related changes in parvalbumin-positive interneurons in the striatum, but not in the sensorimotor cortex in dystonic brains of the dt(sz) mutant hamster. Brain Res 1150:190–199

    Article  CAS  PubMed  Google Scholar 

  • Hamann M, Richter A, Fink H, Rex A (2009) Altered nicotinamide adenine dinucleotide (NADH) fluorescence in dt sz mutant hamsters reflects differences in striatal metabolism between severe and mild dystonia. J Neurosci Res 87:776–783

    Article  CAS  PubMed  Google Scholar 

  • Harnack D, Hamann M, Meissner W, Morgenstern R, Kupsch A, Richter A (2004) High-frequency stimulation of the entopeduncular nucleus improves dystonia in dtsz hamsters. Neuroreport 15:1391–1393

    Article  PubMed  Google Scholar 

  • Hauber W (1998) Involvement of basal ganglia transmitter systems in movement initiation. Prog Neurobiol 56:507–540

    Article  CAS  PubMed  Google Scholar 

  • Kha HT, Finkelstein DI, Pow DV, Lawrence AJ, Horne MK (2000) Study of projections from the entopeduncular nucleus to the thalamus of the rat. J Comp Neurol 426:366–377

    Article  CAS  PubMed  Google Scholar 

  • Kreil A, Richter A (2005) Antidystonic efficacy of gamma-aminobutyric acid uptake inhibitors in the dt sz mutant. Eur J Pharmacol 521:95–98

    Article  CAS  PubMed  Google Scholar 

  • Leblois A, Reese R, Labarre D, Hamann M, Richter A, Boraud T, Meissner WG (2010) Deep brain stimulation changes basal ganglia output firing pattern in the dystonic hamster. Neurobiol Dis 38(2):288–289

    Article  PubMed  Google Scholar 

  • Lee JI, Verhagen Metman L, Ohara S, Dougherty PM, Kim JH, Lenz FA (2007) Internal pallidal neuronal activity during mild drug-related dyskinesias in Parkinson’s disease: decreased firing rates and altered firing patterns. J Neurophysiol 97:2627–2641

    Article  CAS  PubMed  Google Scholar 

  • McIntyre CC, Savasta M, Kerkerian-LeGoff L, Vitek JL (2004) Uncovering the mechanism(s) of action of deep brain stimulation: activation, inhibition or both. Clin Neurophysiol 115:1239–1248

    Article  PubMed  Google Scholar 

  • Morin LP, Wood RI (2001) A stereotaxic atlas of the golden hamster brain. Academic Press, San Diego

    Google Scholar 

  • Nardocci N, Fernandez-Alvarez E, Wood NW, Spacy SD, Richter A (2002) The paroxysmal dyskinesias. In: Guerrini R, Aicardi J, Andermann F, Hallett M (eds) Epilepsy and movement disorders. Cambridge University Press, Cambridge, pp 125–139

    Google Scholar 

  • Okazaki S, Nishida Y, Kawai H, Saito S (1996) Acute neurotoxicity of l-glutamate induced by impairment of the glutamate uptake system. Neurochem Res 21:1201–1207

    Article  CAS  PubMed  Google Scholar 

  • Olney JW (1994) Excitatory transmitter neurotoxicity. Neurobiol Aging 15:259–260

    Article  CAS  PubMed  Google Scholar 

  • Raike RS, Jinnah HA, Hess EJ (2005) Animal models of generalized dystonia. NeuroRx 2:504–512

    Article  PubMed  Google Scholar 

  • Reese R, Charron G, Nadjar A, Aubert I, Thiolat ML, Hamann M, Richter A, Bezard E, Meissner WG (2009) High frequency stimulation of the entopeduncular nucleus sets the cortico-basal ganglia network to a new functional state in the dystonic hamster. Neurobiol Dis 35:399–405

    Article  PubMed  Google Scholar 

  • Richter A (2005) The genetically dystonic hamster: an animal model of paroxysmal dystonia. In: LeDoux M (ed) Animal models of movement disorders. Elsevier Academic Press, Amsterdam, pp 459–466

    Chapter  Google Scholar 

  • Richter A, Löscher W (1998) Pathophysiology of idiopathic dystonia: findings from genetic animal models. Prog Neurobiol 54:633–677

    Article  CAS  PubMed  Google Scholar 

  • Richter A, Löscher W, Löschmann PA (1993) The AMPA receptor antagonist NBQX exerts antidystonic effects in an animal model of idiopathic dystonia. Eur J Pharmacol 231:287–291

    Article  CAS  PubMed  Google Scholar 

  • Sander SE, Richter A (2007) Effects of intrastriatal injections of glutamate receptor antagonists on the severity of paroxysmal dystonia in the dtsz mutant. Eur J Pharmacol 563:102–108

    Article  CAS  PubMed  Google Scholar 

  • Sander SE, Hamann M, Richter A (2006) Age-related changes in striatal nitric oxide synthase-immunoreactive interneurons in the dystonic dtsz mutant hamster. Neuropathol Appl Neurobiol 32:74–82

    Article  CAS  PubMed  Google Scholar 

  • Soudijn W, van Wijngaarden I (2000) The GABA transporter and its inhibitors. Curr Med Chem 7(10):1063–1079

    CAS  PubMed  Google Scholar 

  • Starr PA, Rau GM, Davis V, Marks WJ Jr, Ostrem JL, Simmons D, Lindsey N, Turner RS (2005) Spontaneous pallidal neuronal activity in human dystonia: comparison with Parkinson’s disease and normal macaque. J Neurophysiol 93:3165–3176

    Article  PubMed  Google Scholar 

  • Suzdak PD, Frederiksen K, Andersen KE, Sørensen PO, Knutsen LJ, Nielsen EB (1992) NNC-711, a novel potent and selective gamma-aminobutyric acid uptake inhibitor: pharmacological characterization. Eur J Pharmacol 224:189–198

    Article  CAS  PubMed  Google Scholar 

  • Vitek JL, Chockkan V, Zhang JY, Kaneoke Y, Evatt M, DeLong MR, Triche S, Mewes K, Hashimoto T, Bakay RA (1999) Neuronal activity in the basal ganglia in patients with generalized dystonia and hemiballismus. Ann Neurol 46:22–35

    Article  CAS  PubMed  Google Scholar 

Download references

Acknowledgments

This work was supported by the Deutsche Forschungsgemeinschaft (Ri 845/1-2 and Ri 845/1-3). We thank A. Russ for his excellent technical assistance.

Author information

Affiliations

Authors

Corresponding author

Correspondence to Melanie Hamann.

Rights and permissions

Reprints and Permissions

About this article

Cite this article

Hamann, M., Sander, S.E., Kreil, A. et al. Effects of pharmacological entopeduncular manipulations on idiopathic dystonia in the dt sz mutant hamster. J Neural Transm 117, 747–757 (2010). https://doi.org/10.1007/s00702-010-0410-y

Download citation

  • Received:

  • Accepted:

  • Published:

  • Issue Date:

  • DOI: https://doi.org/10.1007/s00702-010-0410-y

Keywords

  • Basal ganglia
  • Animal model
  • Movement disorder
  • Dyskinesia