Skip to main content

Intraoperative computed tomography as reliable navigation registration device in 200 cranial procedures

Abstract

Background

Registration accuracy is a main factor influencing overall navigation accuracy. Standard fiducial- or landmark-based patient registration is user dependent and error-prone. Intraoperative imaging offers the possibility for user-independent patient registration. The aim of this paper is to evaluate our initial experience applying intraoperative computed tomography (CT) for navigation registration in cranial neurosurgery, with a special focus on registration accuracy and effective radiation dose.

Methods

A total of 200 patients (141 craniotomy, 19 transsphenoidal, and 40 stereotactic burr hole procedures) were investigated by intraoperative CT applying a 32-slice movable CT scanner, which was used for automatic navigation registration. Registration accuracy was measured by at least three skin fiducials that were not part of the registration process.

Results

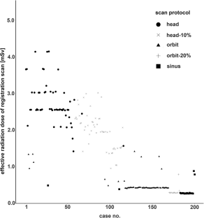
Automatic registration resulted in high registration accuracy (mean registration error: 0.93 ± 0.41 mm). Implementation of low-dose scanning protocols did not impede registration accuracy (registration error applying the full dose head protocol: 0.87 ± 0.36 mm vs. the low dose sinus protocol 0.72 ± 0.43 mm) while a reduction of the effective radiation dose by a factor of 8 could be achieved (mean effective radiation dose head protocol: 2.73 mSv vs. sinus protocol: 0.34 mSv).

Conclusion

Intraoperative CT allows highly reliable navigation registration with low radiation exposure.

This is a preview of subscription content, access via your institution.

Fig. 1
Fig. 2
Fig. 3
Fig. 4
Fig. 5
Fig. 6

References

  1. Black PM, Moriarty T, Alexander E 3rd, Stieg P, Woodard EJ, Gleason PL, Martin CH, Kikinis R, Schwartz RB, Jolesz FA (1997) Development and implementation of intraoperative magnetic resonance imaging and its neurosurgical applications. Neurosurgery 41:831–842 discussion 842-835

    Article  PubMed  CAS  Google Scholar 

  2. Bot M, van den Munckhof P, Bakay R, Stebbins G, Verhagen Metman L (2017) Accuracy of intraoperative computed tomography during deep brain stimulation procedures: comparison with postoperative magnetic resonance imaging. Stereotact Funct Neurosurg 95:183–188. https://doi.org/10.1159/000475672

    Article  PubMed  PubMed Central  Google Scholar 

  3. Burchiel KJ, McCartney S, Lee A, Raslan AM (2013) Accuracy of deep brain stimulation electrode placement using intraoperative computed tomography without microelectrode recording. J Neurosurg 119:301–306. https://doi.org/10.3171/2013.4.JNS122324

    Article  PubMed  Google Scholar 

  4. Butler WE, Piaggio CM, Constantinou C, Niklason L, Gonzalez RG, Cosgrove GR, Zervas NT (1998) A mobile computed tomographic scanner with intraoperative and intensive care unit applications. Neurosurgery 42:1304–1310 discussion 1310-1301

    Article  PubMed  CAS  Google Scholar 

  5. Carl B, Bopp M, Chehab S, Bien S, Nimsky C (2018) Preoperative 3-dimensional angiography data and intraoperative real-time vascular data integrated in microscope-based navigation by automatic patient registration applying intraoperative computed tomography. World Neurosurg 113:e414–e425. https://doi.org/10.1016/j.wneu.2018.02.045

    Article  PubMed  Google Scholar 

  6. Coburger J, Merkel A, Scherer M, Schwartz F, Gessler F, Roder C, Pala A, Konig R, Bullinger L, Nagel G, Jungk C, Bisdas S, Nabavi A, Ganslandt O, Seifert V, Tatagiba M, Senft C, Mehdorn M, Unterberg AW, Rossler K, Wirtz CR (2016) Low-grade glioma surgery in intraoperative magnetic resonance imaging: results of a multicenter retrospective assessment of the German study Group for Intraoperative Magnetic Resonance Imaging. Neurosurgery 78:775–786. https://doi.org/10.1227/NEU.0000000000001081

    Article  PubMed  Google Scholar 

  7. Czabanka M, Haemmerli J, Hecht N, Foehre B, Arden K, Liebig T, Woitzik J, Vajkoczy P (2017) Spinal navigation for posterior instrumentation of C1-2 instability using a mobile intraoperative CT scanner. J Neurosurg Spine 27:268–275. https://doi.org/10.3171/2017.1.SPINE16859

    Article  PubMed  Google Scholar 

  8. Eboli P, Shafa B, Mayberg M (2011) Intraoperative computed tomography registration and electromagnetic neuronavigation for transsphenoidal pituitary surgery: accuracy and time effectiveness. J Neurosurg 114:329–335. https://doi.org/10.3171/2010.5.JNS091821

    Article  PubMed  Google Scholar 

  9. Eggers G, Kress B, Muhling J (2008) Fully automated registration of intraoperative computed tomography image data for image-guided craniofacial surgery. J Oral Maxillofac Surg 66:1754–1760. https://doi.org/10.1016/j.joms.2007.12.019

    Article  PubMed  Google Scholar 

  10. Eggers G, Kress B, Rohde S, Muhling J (2009) Intraoperative computed tomography and automated registration for image-guided cranial surgery. Dentomaxillofac Radiol 38:28–33. https://doi.org/10.1259/dmfr/26098099

    Article  PubMed  CAS  Google Scholar 

  11. Grunert P, Muller-Forell W, Darabi K, Reisch R, Busert C, Hopf N, Perneczky A (1998) Basic principles and clinical applications of neuronavigation and intraoperative computed tomography. Comput Aided Surg 3:166–173. https://doi.org/10.1002/(SICI)1097-0150(1998)3:4<166::AID-IGS6>3.0.CO;2-E

    Article  PubMed  CAS  Google Scholar 

  12. Hecht N, Kamphuis M, Czabanka M, Hamm B, Konig S, Woitzik J, Synowitz M, Vajkoczy P (2016) Accuracy and workflow of navigated spinal instrumentation with the mobile AIRO((R)) CT scanner. Eur Spine J 25:716–723. https://doi.org/10.1007/s00586-015-3814-4

    Article  PubMed  Google Scholar 

  13. Holloway K, Docef A (2013) A quantitative assessment of the accuracy and reliability of O-arm images for deep brain stimulation surgery. Neurosurgery 72:47–57. https://doi.org/10.1227/NEU.0b013e318273a090

    Article  PubMed  Google Scholar 

  14. Huda W, Magill D, He W (2011) CT effective dose per dose length product using ICRP 103 weighting factors. Med Phys 38:1261–1265. https://doi.org/10.1118/1.3544350

    Article  PubMed  Google Scholar 

  15. Huda W, Ogden KM, Khorasani MR (2008) Converting dose-length product to effective dose at CT. Radiology 248:995–1003. https://doi.org/10.1148/radiol.2483071964

    Article  PubMed  PubMed Central  Google Scholar 

  16. Kerolus MG, Kochanski RB, Rossi M, Stein M, Byrne RW, Sani S (2017) Implantation of responsive Neurostimulation for epilepsy using intraoperative computed tomography: technical nuances and accuracy assessment. World Neurosurg 103:145–152. https://doi.org/10.1016/j.wneu.2017.03.136

    Article  PubMed  Google Scholar 

  17. Ketcha MD, de Silva T, Han R, Uneri A, Goerres J, Jacobson M, Vogt S, Kleinszig G, Siewerdsen JH (2017) Fundamental limits of image registration performance: Effects of image noise and resolution in CT-guided interventions. Proc SPIE Int Soc Opt Eng 10135. doi: 10.1117/12.2256025

  18. Kochanski RB, Kerolus MG, Pal G, Metman LV, Sani S (2016) Use of intraoperative CT to predict the accuracy of microelectrode recording during deep brain stimulation surgery. A proof of concept study. Clin Neurol Neurosurg 150:164–168. https://doi.org/10.1016/j.clineuro.2016.09.014

    Article  PubMed  Google Scholar 

  19. Kubben PL, ter Meulen KJ, Schijns OE, ter Laak-Poort MP, van Overbeeke JJ, van Santbrink H (2011) Intraoperative MRI-guided resection of glioblastoma multiforme: a systematic review. Lancet Oncol 12:1062–1070. https://doi.org/10.1016/S1470-2045(11)70130-9

    Article  PubMed  Google Scholar 

  20. Lee DJ, Zwienenberg-Lee M, Seyal M, Shahlaie K (2015) Intraoperative computed tomography for intracranial electrode implantation surgery in medically refractory epilepsy. J Neurosurg 122:526–531. https://doi.org/10.3171/2014.9.JNS13919

    Article  PubMed  Google Scholar 

  21. Lian X, Navarro-Ramirez R, Berlin C, Jada A, Moriguchi Y, Zhang Q, Hartl R (2016) Total 3D Airo(R) navigation for minimally invasive Transforaminal lumbar interbody fusion. Biomed Res Int 2016:5027340. https://doi.org/10.1155/2016/5027340

    Article  PubMed  PubMed Central  Google Scholar 

  22. Lunsford LD, Parrish R, Albright L (1984) Intraoperative imaging with a therapeutic computed tomographic scanner. Neurosurgery 15:559–561

    Article  PubMed  CAS  Google Scholar 

  23. Mirzayan MJ, von Roden M, Bulacio J, von Podewils F, Gonzalez-Martinez J (2016) The usefulness of intraoperative cerebral C-arm CT angiogram for implantation of intracranial depth electrodes in stereotactic electroencephalography procedure. Stereotact Funct Neurosurg 94:10–17. https://doi.org/10.1159/000431372

    Article  PubMed  Google Scholar 

  24. Navarro-Ramirez R, Lang G, Lian X, Berlin C, Janssen I, Jada A, Alimi M, Hartl R (2017) Total navigation in spine surgery; a concise guide to eliminate fluoroscopy using a portable intraoperative computed tomography 3-dimensional navigation system. World Neurosurg 100:325–335. https://doi.org/10.1016/j.wneu.2017.01.025

    Article  PubMed  Google Scholar 

  25. Nimsky C, Ganslandt O, Von Keller B, Romstock J, Fahlbusch R (2004) Intraoperative high-field-strength MR imaging: implementation and experience in 200 patients. Radiology 233:67–78. https://doi.org/10.1148/radiol.2331031352

    Article  PubMed  Google Scholar 

  26. Nimsky C, von Keller B, Ganslandt O, Fahlbusch R (2006) Intraoperative high-field magnetic resonance imaging in transsphenoidal surgery of hormonally inactive pituitary macroadenomas. Neurosurgery 59:105–114; discussion 105-114. https://doi.org/10.1227/01.NEU.0000219198.38423.1E

    Article  PubMed  Google Scholar 

  27. Okudera H, Kobayashi S, Kyoshima K, Gibo H, Takemae T, Sugita K (1991) Development of the operating computerized tomographic scanner system for neurosurgery. Acta Neurochir 111:61–63

    Article  PubMed  CAS  Google Scholar 

  28. Pfisterer WK, Papadopoulos S, Drumm DA, Smith K, Preul MC (2008) Fiducial versus nonfiducial neuronavigation registration assessment and considerations of accuracy. Neurosurgery 62:201–208. https://doi.org/10.1227/01.neu.0000317394.14303.99

    PubMed  Article  Google Scholar 

  29. Rachinger J, von Keller B, Ganslandt O, Fahlbusch R, Nimsky C (2006) Application accuracy of automatic registration in frameless stereotaxy. Stereotact Funct Neurosurg 84:109–117. https://doi.org/10.1159/000094462

    Article  PubMed  Google Scholar 

  30. Rey A (1980) X-ray control in the operating theatre. Acta Neurochir 55:3–13

    Article  PubMed  CAS  Google Scholar 

  31. Schichor C, Terpolilli N, Thorsteinsdottir J, Tonn JC (2017) Intraoperative computed tomography in cranial neurosurgery. Neurosurg Clin N Am 28:595–602. https://doi.org/10.1016/j.nec.2017.05.010

    Article  PubMed  Google Scholar 

  32. Shalit MN, Israeli Y, Matz S, Cohen ML (1979) Intra-operative computerized axial tomography. Surg Neurol 11:382–384

    PubMed  CAS  Google Scholar 

  33. Shamir RR, Joskowicz L, Shoshan Y (2012) Fiducial optimization for minimal target registration error in image-guided neurosurgery. IEEE Trans Med Imaging 31:725–737. https://doi.org/10.1109/TMI.2011.2175939

    Article  PubMed  Google Scholar 

  34. Sharma M, Deogaonkar M (2016) Accuracy and safety of targeting using intraoperative "O-arm" during placement of deep brain stimulation electrodes without electrophysiological recordings. J Clin Neurosci 27:80–86. https://doi.org/10.1016/j.jocn.2015.06.036

    Article  PubMed  Google Scholar 

  35. Steinmeier R, Fahlbusch R, Ganslandt O, Nimsky C, Buchfelder M, Kaus M, Heigl T, Lenz G, Kuth R, Huk W (1998) Intraoperative magnetic resonance imaging with the magnetom open scanner: concepts, neurosurgical indications, and procedures: a preliminary report. Neurosurgery 43:739–747 discussion 747-738

    Article  PubMed  CAS  Google Scholar 

  36. Uhl E, Zausinger S, Morhard D, Heigl T, Scheder B, Rachinger W, Schichor C, Tonn JC (2009) Intraoperative computed tomography with integrated navigation system in a multidisciplinary operating suite. Neurosurgery 64:231–240. https://doi.org/10.1227/01.NEU.0000340785.51492.B5

    Article  PubMed  Google Scholar 

Download references

Author information

Affiliations

Authors

Corresponding author

Correspondence to Barbara Carl.

Ethics declarations

Informed consent was obtained from all individual participants included in the study. We obtained ethical approval for prospective archiving all relevant clinical and technical data with no need for further approval of retrospective analysis.

Conflict of interest

All authors certify that they have no affiliations with or involvement in any organization or entity with any financial interest (such as honoraria; educational grants; participation in speakers’ bureaus; membership, employment, consultancies, stock ownership, or other equity interest; and expert testimony or patent-licensing arrangements), or non-financial interest (such as personal or professional relationships, affiliations, knowledge, or beliefs) in the subject matter or materials discussed in this manuscript, except for that Ch. Nimsky has received a speaker honorarium from Brainlab.

Ethical standards

All procedures performed were in accordance with the ethical standards of the institutional and/or national research committee and with the 1964 Helsinki Declaration and its later amendments or comparable ethical standards.

Additional information

This article is part of the Topical Collection on Neurosurgical technique evaluation

Rights and permissions

Reprints and Permissions

About this article

Verify currency and authenticity via CrossMark

Cite this article

Carl, B., Bopp, M., Saß, B. et al. Intraoperative computed tomography as reliable navigation registration device in 200 cranial procedures. Acta Neurochir 160, 1681–1689 (2018). https://doi.org/10.1007/s00701-018-3641-6

Download citation

  • Received:

  • Accepted:

  • Published:

  • Issue Date:

  • DOI: https://doi.org/10.1007/s00701-018-3641-6

Keywords

  • Effective radiation dose
  • Intraoperative imaging
  • Intraoperative computed tomography
  • Navigation accuracy
  • Navigation registration