Skip to main content

Association between sympathetic response, neurogenic cardiomyopathy, and venous thromboembolization in patients with primary subarachnoid hemorrhage

Abstract

Introduction

Sympathetic activation promotes hemostasis, and subarachnoid hemorrhage (SAH) is associated with pronounced sympathetic activation. This investigation will assess whether catecholaminergic activity relates to venous thrombotic events in patients with acute SAH.

Methods

Observational study of consecutive SAH grade 3–5 patients requiring ventriculostomy insertion who did not undergo open surgical treatment of cerebral aneurysm. Cerebrospinal fluid (CSF) samples were obtained within 48 h of hemorrhage for assay of catecholamines, which were related to occurrence of deep venous thrombosis (DVT) and pulmonary embolization (PE).

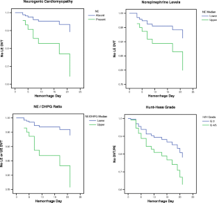
Results

Of the 92 subjects, mean age was 57 years, 76 % were female, and 57 % Caucasian; 11 % experienced lower extremity (LE) DVT, 12 % developed upper extremity (UE) or LE DVT, and 23 % developed any DVT/PE. Mean time to occurrence of UE/LE DVT was 7.8 days (+/−5.9 days), and mean time to development of PE was 8.8 days (+/−5.4 days).

In hazards analysis models, independent predictors of LE DVT included neurogenic cardiomyopathy (NC) [HR 4.97 (95%CI 1.32–18.7)], norepinephrine/3,4-dihydroxyphenylglycol ratio (NE/DHPG) [3.81 (2.04–7.14)], NE [5.91 (2.14–16.3)], and dopamine (DA) [2.27 (1.38–3.72)]. Predictors of UE/LE DVT included NC [5.78 (1.70–19.7)], cerebral infarction [4.01 (1.18–13.7)], NE [3.58 (1.40–9.19)], NE/DHPG [3.38 (1.80–6.33)] and DA [2.01 (1.20–3.35)]. Predictors of DVT/PE included Hunt-Hess grade (H/H) [3.02 (1.19–7.66)], NE [2.56 (1.23–5.37)] and 3,4-dihydroxyphenylalanine (DOPA) [3.49 (1.01–12.0)].

Conclusions

In severe SAH, central sympathetic activity and clinical manifestations of (nor)adrenergic activity relate to the development of venous thromboemboli. Catecholamine activation may promote hemostasis, or may represent a biomarker for venous thromboses.

This is a preview of subscription content, access via your institution.

Fig. 1
Fig. 2

References

  1. Banki N, Kopelnik A, Tung P, Lawton M, Gress D, Drew B, Dae M, Foster E, Parmley W, Zaroff J (2006) Prospective analysis of prevalence, distribution, and rate of recovery of left ventricular systolic dysfunction in patients with subarachnoid hemorrhage. J Neurosurg 105:15–20

    PubMed  Article  Google Scholar 

  2. Baptista S, Piloto N, Reis F, Teixeira-de-Lemos E, Garrido A, Dias A, Lourenco M, Plamiero A, Ferrer-Antunes C, Teixeira F (2008) Treadmill running and swimming imposes distinct cardiovascular physiological adaptations in the rat––focus on serotonergic and sympathetic nervous systems modulation. Acta Physiol Hung 95(4):365–381

    PubMed  Article  CAS  Google Scholar 

  3. Barbucci R, Lamponi S, Magnani A (2003) Fibrinogen conformation and platelet reactivity in relation to material blood interaction—effect of stress hormones. Biomacromolecules 4(6):1506–1513

    PubMed  Article  CAS  Google Scholar 

  4. Broadley A, Gapper P, Schmitt M, Frenneaux M (2003) Supine rest reduces platelet activation and aggregation. Platelets 14(1):3–7

    PubMed  Article  CAS  Google Scholar 

  5. Cannon W, Mendenhall W (1914) Factors affecting the coagulation time of blood—the hastening of coagulation in pain and emotional excitement. Am J Physiol 34:251–261

    CAS  Google Scholar 

  6. Cook D, Crowther M, Meade M, Rabbat C, Griffith L, Schiff D, Geerts W, Guyatt G (2005) Deep venous thrombosis in medical-surgical critically ill patients—prevalence, incidence, and risk factors. Crit Care Med 33(7):1565–1571

    PubMed  Article  Google Scholar 

  7. Day S, Reeve J, Pedersen B, Farris D, Myers D, Im M, Wakefield T, Mackman N, Fay W (2005) Macrovascular thrombosis is driven by tissue factor derived primarily from the blood vessel wall. Blood 105:192–198

    PubMed  Article  CAS  Google Scholar 

  8. Devinsky O, Emoto S, Goldstein D, Stull R, Porter R, Theodore W, Nadi S (1992) Cerebrospinal fluid and serum levels of DOPA, catechols, and monoamine metabolites in patients with epilepsy. Epilepsia 33(2):263–270

    PubMed  Article  CAS  Google Scholar 

  9. Dilraj A, Botha J, Rambiritch V, Miller R, Van Delien J (1992) Levels of catecholamines in plasma and cerebrospinal fluid in aneurysmal subarachnoid hemorrhage. Neurosurgery 31(1):42–51

    PubMed  Article  CAS  Google Scholar 

  10. Dunser M, Hasibeder W (2009) Sympathetic overstimulation during critical illness—adverse effects of adrenergic stress. J Intensive Care Med 24(5):293–316

    PubMed  Article  Google Scholar 

  11. Ebinger G (1987) The significance of homovanillic acid and 3,4-dihydroxyphenylacetic acid concentrations in human lumbar cerebrospinal fluid. J Neurochem 48:1725–1729

    PubMed  Article  CAS  Google Scholar 

  12. Eisenhofer G, Goldstein D, Stull R, Keiser H, Sunderland T, Murphy D, Kopin I (1986) Simultaneous liquid chromatographic determination of 3,4-dihydroxyphenylglycol, catecholamines, and 3,4-dihydroxyphenylalanine in plasma, and their responses to inhibition of monoamine oxidase. Clin Chem 32(11):2030–2033

    PubMed  CAS  Google Scholar 

  13. Eisenhofer G, Kopin I, Goldstein D (2004) Catecholamine metabolism: a contemporary view with implications for physiology and medicine. Pharmacol Rev 56(3):331–349

    PubMed  Article  CAS  Google Scholar 

  14. Feenstra M (2000) Dopamine and noradrenaline release in the prefrontal cortex in relation to unconditioned and conditioned stress and reward. Prog Brain Res 126:133–163

    PubMed  Article  CAS  Google Scholar 

  15. Furlan J, Fehlings M (2008) Cardiovascular complications after acute spinal cord injury—pathophysiology, diagnosis and management. Neurosurg Focus 25:1–15

    Article  Google Scholar 

  16. Gao C, Liu X, Shi H, Xu S, Ji Z, Wang C, Wu P, Liu Z, Zhao S (2009) Relationship between sympathetic nervous system activity and inflammatory response after subarachnoid hemorrhage in a perforating canine model. Auton Neurosci Basic Clin 147(1–2):70–74

    Article  CAS  Google Scholar 

  17. Geracioti T, Baker D, Ekhator N, West S, Hill K, Bruce A, Schmidt D, Rounds B, Yehuda R, Keck P, Kasckow J (2001) CSF norepinephrine concentrations in posttraumatic stress disorder. Am J Psychiatr 158:1227–1230

    PubMed  Article  Google Scholar 

  18. Goto S, Ikeda Y, Murata M, Handa M, Takahashi E, Yoshioka A, Fujimura Y, Fukuyama M, Handa S, Ogawa S (1992) Epinephrine augments von willebrand factor dependent shear induced platelet aggregation. Circulation 86(6):1859–1863

    PubMed  Article  CAS  Google Scholar 

  19. Haaland H, Holmsen H (2011) Potentiation by adrenaline of agonist induced responses in normal human platelets in vitro. Platelets 22(5):328–337

    PubMed  Article  CAS  Google Scholar 

  20. Hoppener M, Karaaijenhagen R, Hutten B, Buller H, Peters R, Levi M (2004) Beta receptor blockade decreases elevated plasma levels of factor VIII: C in patients with deep vein thrombosis. J Thromb Haemost 2(8):1316–1320

    PubMed  Article  CAS  Google Scholar 

  21. Howell M, Geraci J, Knowlton A (2001) Congestive heart failure and outpatient risk of venous thromboembolism—a retrospective case–control study. J Clin Epidemiol 54(8):810–816

    PubMed  Article  CAS  Google Scholar 

  22. Ikarugi H, Shibata M, Shibata S, Ishii H, Taka T, Yamamoto J (2003) High intensity exercise enhances platelet reactivity to shear stress and coagulation during and after exercise. Pathophysiol Haemost Thromb 33(3):127–133

    PubMed  Article  Google Scholar 

  23. Jessup M, Brozena S (2003) Heart failure. NEJM 348:2007–2018

    PubMed  Article  Google Scholar 

  24. Johansson P, Ostrowski S (2010) Acute coagulopathy of trauma—balancing progressive catecholamine induced endothelial activation and damage by fluid phase anticoagulation. Med Hypotheses 75:564–567

    PubMed  Article  CAS  Google Scholar 

  25. Kearon C, Akl E, Comerota A, Prandoni P, Bounameaux H, Goldhaber S, Nelson M, Wells P, Gould M, Dentali F, Crowther M, Kahn S (2012) Antithrombotic therapy for VTE disease—antithrombotic therapy and prevention of thrombosis. Chest 141(2(suppl)):E419S–E494S

    PubMed  Article  CAS  Google Scholar 

  26. Kramer A, Hehir M, Nathan B, Gress D, Dumont A, Kassell N, Bleck T (2008) A comparison of 3 radiographic scales for the prediction of delayed ischemia and prognosis following subarachnoid hemorrhage. J Neurosurg 109(2):199–207

    PubMed  Article  Google Scholar 

  27. Kuchel O, Hausser C, Buu N, Tenneson S (1985) CSF sulfoconjugated catecholamines in man—their relationship with plasma catecholamines. J Neural Transm 62(1–2):91–97

    PubMed  Article  CAS  Google Scholar 

  28. Lambert G, Naredi S, Eden E, Rydenhag B, Friberg P (2002) Monoamine metabolism and sympathetic nervous system activation following subarachnoid hemorrhage—influence of gender and hydrocephalus. Brain Res Bull 58(1):77–82

    PubMed  Article  CAS  Google Scholar 

  29. Lee V, Oh J, Mulvagh S, Wijdicks E (2006) Mechanisms in neurogenic stress cardiomyopathy after aneurysmal subarachnoid hemorrhage. Neurocrit Care 5:243–249

    PubMed  Article  Google Scholar 

  30. Lenders J, Willemsen J, Beissel T, Kloppenborg P, Thien T, Benraad T (1992) Value of the plasma norepinephrine/3,4-dihydroxyphenylglycol ratio for the diagnosis of pheochromocytoma. Am J Med 92:147–152

    PubMed  Article  CAS  Google Scholar 

  31. Levi M, van der Poll T, Schultz M (2012) New insights into pathways that determine the link between infection and thrombosis. Neth J Med 70(3):114–120

    PubMed  CAS  Google Scholar 

  32. Lopez J, Kearon C, Lee A (2004) Deep venous thrombosis. Hematology. American Society of Hematology Educational Program 2004:439–456

  33. Mautes A, Muller M, Cortbus F, Schwerdtfeger K, Maier B, Holanda M, Nacimiento A (2001) Alterations of norepinephrine levels in plasma and CSF of patients after traumatic brain injury in relation to disruption of the blood brain barrier. Acta Neurochir 143:51–58

    PubMed  Article  CAS  Google Scholar 

  34. Moussouttas M, Lai E, Dombrowski K, Huynh T, Khoury J, Carmona G, DeCaro M, Pacak K (2011) CSF catecholamine profile in subarachnoid hemorrhage patients with neurogenic cardiomyopathy. Neurocrit Care 14(3):401–406

    PubMed  Article  CAS  Google Scholar 

  35. Moussouttas M, Lai E, Khoury J, Huynh T, Dombrowski K, Pacak K (2012) Determinants of central sympathetic activation in spontaneous primary subarachnoid hemorrhage. Neurocrit Care 16(3):381–388

    PubMed  Article  Google Scholar 

  36. Murrey S, Brecher A (2010) Interaction of biogenic amine hormones with acetaldehyde. Dig Dis Sci 55(1):21–27

    PubMed  Article  CAS  Google Scholar 

  37. Nader N, Ignatowski T, Kurek C, Knight P, Spengler R (2001) Clonidine supresses plasma and cerebrospinal fluid concentrations of TNF-alpha during the perioperative period. Anesth Analg 93(2):363–369

    PubMed  CAS  Google Scholar 

  38. Naredi S, Lambert G, Eden E, Zall S, Runnerstam M, Rydenhag B, Friberg P (2000) Increased sympathetic nervous activity in patients with nontraumatic subarachnoid hemorrhage. Stroke 31:901–906

    PubMed  Article  CAS  Google Scholar 

  39. Oehmke M, Podranski T, Mann M, Frickey N, Kuhn D, Hempelmann G (2008) Perioperative concentrations of catecholamines in the cerebrospinal fluid and plasma during spinal anesthesia. Acta Anaesthesiol Scand 52(4):487–492

    PubMed  Article  CAS  Google Scholar 

  40. Piira O, Mustonen P, Miettinen J, Huikuri H, Tulppo M (2012) Leisure time emotional excitement increases endothelin-1 and interleukin-6 in cardiac patients. Scand Cardiovasc J 46(1):7–15

    PubMed  Article  CAS  Google Scholar 

  41. Post R, Gordon E, Goodwin F, Bunney W (1973) Central norepinephrine metabolism in affective illness—MHPG in the cerebrospinal fluid. Science 179(77):1002–1003

    PubMed  Article  CAS  Google Scholar 

  42. Post R, Lake C, Jimerson D, Bunney W, Wood J, Ziegler M, Goodwin F (1978) Cerebrospinal fluid norepinephrine in affective illness. Am J Psychiatry 135(8):907–912

    PubMed  CAS  Google Scholar 

  43. Pozgajova M, Sachs U, Hein L, Nieswandt B (2006) Reduced thrombus stability in mice lacking the Alpha2A adrenergic receptor. Blood 108(2):510–514

    PubMed  Article  CAS  Google Scholar 

  44. Preckel D, von Kanel R (2004) Regulation of hemostasis by the sympathetic nervous system—any contribution to coronary artery disease? Heartdrug 4(3):123–130

    PubMed  Google Scholar 

  45. Raskind M, Peskind E, Holmes C, Goldstein D (1999) Patterns of cerebrospinal fluid catechols support increased central noradrenergic responsiveness in aging and Alzheimer’s disease. Biol Psychiatry 46:756–765

    PubMed  Article  CAS  Google Scholar 

  46. Ray W, Strom R, Blackburn S, Ashley W, Sicard G, Rich K (2009) Incidence of deep venous thrombosis after subarachnoid hemorrhage. J Neurosurg 110:1010–1014

    PubMed  Article  Google Scholar 

  47. Reny J, De Moerloose P, Dauzat M, Fontana P (2008) Use of the PFA-100 closure time to predict cardiovascular events in aspirin treated cardiovascular patients—a systematic review and meta-analysis. J Thromb Haemost 6(3):444–450

    PubMed  Article  Google Scholar 

  48. Sevitt S (1974) The structure and growth of valve-pocket thrombi in femoral veins. J Clin Pathol 27:517–528

    PubMed  Article  CAS  Google Scholar 

  49. Shivalkar B, Van Loon J, Wieland W, Tjandra-Maga T, Borgers M, Plets C, Flameng W (1993) Variable effects of explosive or gradual increase of intracranial pressure on myocardial structure and function. Circulation 87(1):230–239

    PubMed  Article  CAS  Google Scholar 

  50. Vinken P, Bruyn G (1999) The autonomic nervous system. Elsevier, Amsterdam

    Google Scholar 

  51. Virchow RLK (1998) Thrombosis and Embolie (1846-1856) [Thrombose und Embolie (1846-1856). In: Klassiker der Medizin Herausgegeben von Karl Sudhoff. von Johann Ambrosius Barth V. 1910. Leipzig]. Matzdorff A and Bell W (Tr). Science History Publications: Canton

  52. Von Kanel R, Dimsdale J (2000) Effects of sympathetic activation by adrenergic infusions on hemostasis in-vivo. Eur J Haematol 65:357–369

    Article  Google Scholar 

  53. Von Kanel R, Dimsdale J, Adler K, Dillon E, Perez C, Mills P (2003) Effects of nonspecific beta adrenergic stimulation and blockade on blood coagulation in hypertension. J Appl Physiol 94(4):1455–1459

    Google Scholar 

  54. Von Kanel R, Kudielka B, Abd-el-Razik A, Gander M, Frey K, Fischer J (2004) Relationship between overnight neuroendocrine activity and morning haemostasis in working men. Clin Sci 107(1):89–95

    Article  Google Scholar 

  55. Von Kanel R, Mills P, Ziegler M, Dimsdale J (2002) Effect of Beta2 adrenergic receptor functioning and increased norepinephrine on the hypercoagulable state with mental stress. Am Heart J 144(1):68–72

    Article  Google Scholar 

  56. Wallen N, Goodall A, Li N, Hjemdahl P (1999) Activation of haemostasis by exercise, mental stress and adrenaline—effects on platelet sensitivity to thrombin and thrombin generation. Clin Sci 97(1):27–35

    PubMed  Article  CAS  Google Scholar 

  57. Wester P, Bergstrom U, Eriksson A, Gezelius C, Hardy J, Winblad B (1990) Ventricular cerebrospinal fluid monoamine transmitter and metabolite concentrations reflect human brain neurochemistry in autopsy cases. J Neurochem 54(4):1148–1156

    PubMed  Article  CAS  Google Scholar 

  58. Wirtz P, Ehlert U, Emini L, Rudisuli K, Goressbauer S, Gaab J, Elsenbruch S, Von Kanel R (2006) Anticipatory cognitive stress appraisal and the acute procoagulant stress response in men. Psychosom Med 68(6):851–858

    PubMed  Article  Google Scholar 

  59. Yee D, Bergeron A, Sun C, Dong J, Bray P (2006) Platelet hyperreactivity generalizes to multiple forms of stimulation. J Thromb Haemost 4(9):2043–2050

    PubMed  Article  CAS  Google Scholar 

  60. Zierler B (2004) Ultrasonography and diagnosis of venous thromboembolism. Circulation 109(12 Sup 1):I9–I14

    PubMed  Article  Google Scholar 

Download references

Acknowledgments

This research was sponsored in part by the Intramural Research Program of the National Institutes of Health. The authors express their gratitude to the nurses of the neurological intensive care unit from the Jefferson Hospital of Neurosciences at Thomas Jefferson University Medical Center for their assistance in this project.

Conflicts of interest

None.

Author information

Affiliations

Authors

Corresponding author

Correspondence to Michael Moussouttas.

Additional information

Collaborations

This work represents a collaboration between the Neurocritical Care Division and Cardiology Division at Thomas Jefferson Medical Center, and the Section on Neuroendocrinology of the Reproductive and Adult Endocrinology Program at the National Institutes of Health.

Rights and permissions

Reprints and Permissions

About this article

Cite this article

Moussouttas, M., Bhatnager, M., Huynh, T.T. et al. Association between sympathetic response, neurogenic cardiomyopathy, and venous thromboembolization in patients with primary subarachnoid hemorrhage. Acta Neurochir 155, 1501–1510 (2013). https://doi.org/10.1007/s00701-013-1725-x

Download citation

  • Received:

  • Accepted:

  • Published:

  • Issue Date:

  • DOI: https://doi.org/10.1007/s00701-013-1725-x

Keywords

  • Subarachnoid hemorrhage
  • Sympathetic
  • Catecholamine
  • Neurogenic cardiomyopathy
  • Venous
  • Thrombosis