Abstract
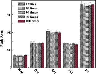
The authors introduce an arc ion plating method for the deposition of chromium oxide (Cr2O3) on a steel wire substrate, and its use as a coating for solid phase microextraction. The coating has a micro- and nano-scaled structure after annealing at 700 °C. It is found that Cr2O3 exhibits a good extraction capability for the aromatic hydrocarbons naphthalene, anthracene, fluorene, fluoranthene, and biphenyl. Following desorption by high temperature at 300 °C, the analytes were quantified by gas chromatography (GC). The limits of detection are in the range between 20 and 200 ng·L−1, and calibration plots are linear within a wide range (0.2 to 400 μg·L−1). The coating has excellent mechanical properties, with a hardness is as high as 31.7 GPa, and the adhesion strength between coating and substrate reaches 20.1 N (corresponding to the critical Hertzian contact stress of 10 GPa). This, along with the chemical and thermal stability of the Cr2O3 coating, endows the wire with a long operational life. It was used for at least 100 times without any obvious decline of extraction capability.

An arc ion plating method was introduced for the deposition of chromium oxide (Cr2O3) on a steel wire substrate, and its use as a coating for solid phase microextraction with high mechanical strength, stability, and long operational lifetime.






References
Ghaemi F, Amiri A, Yunus R (2014) Methods for coating solid-phase microextraction fibers with carbon nanotubes. Trac-Trend Anal Chem 59: 133–143
Speltini A, Sturini M, Maraschi F, Profumo A (2016) Recent trends in the application of the newest carbonaceous materials for magnetic solid-phase extraction of environmental pollutants. Trends Envir. Anal Chem 10:11–23
Amiri A, Ghaemi F (2017) Carbon nanospheres covalently modified with polydimethylsiloxane on a porous sol-gel support for use in headspace solid-phase fiber microextraction of BTEX. Microchim Acta 184:297–305
Liu HM, Li JB, Ji L, Liu SJ, Liu X, Jiang SX (2011) Magnetron sputtering Si interlayer: a protocol to prepare solid phase microextraction coatings on metal-based fiber. J Chromatogr A 1218:2835–2840
Ling X, Zhang WP, Chen ZL (2016) Electrochemically modified carbon fiber bundles as selective sorbent for online solid-phase microextraction of sulfonamides. Microchim Acta 183:813–820
Abedi H, Ebrahimzadeh H, Ghasemi JB (2015) Solid phase headspace microextraction of tricyclic antidepressants using a directly prepared nanocomposite consisting of graphene, CTAB and polyaniline. Microchim Acta 182:633–641
LN X, Qi XY, Li XJ, Bai Y, Liu HW (2016) Recent advances in applications of nanomaterials for sample preparation. Talanta 146:714–726
Amiri A, Ghaemi F (2016) Thermally stable carbon nanofibers functionalized with poly(dimethylsiloxane) for solid-phase microextraction of polycyclic aromatic hydrocarbons prior to GC analysis. Microchim Acta 183:1917–1924
Alizadeh R (2015) Chlorophenol’s ultra-trace analysis in environmental samples by chitosan-zinc oxide nanorod composite as a novel coating for solid phase micro-extraction combined with high performance liquid chromatography. Talanta 146:831–838
Ghasemi E, Farahani H (2012) Head space solid phase microextraction based on nano-structured lead dioxide: application to the speciation of volatile organoselenium in environmental and biological samples. J Chromatogr A 1258:16–20
Abolghasemi MM, Parastari S, Yousefi V (2016) A nanoporous anodized alumina wire with a nanosized hydroxyapatite coating for headspace solid-phase microextraction of phenol and chlorophenols. Microchim Acta 183:241–247
Liu HM, Wang DA, Ji L, Li JB, Liu SJ, Liu X, Jiang SX (2010) A novel TiO2 nanotube array/Ti wire incorporated solid-phase microextraction fiber with high strength, efficiency and selectivity. J Chromatogr A 1217:1898–1903
HL X, Li Y, Jiang DQ, Yan XP (2009) Hydrofluoric acid etched stainless steel wire for solid-phase microextraction. Anal Chem 81:4971–4977
Park JH, Kim HG, Park JY, Jung YI, Park DJ, Koo YH (2015) High temperature steam-oxidation behavior of arc ion plated Cr coatings for accident tolerant fuel claddings. Surf Coat Technol 280:256–259
Zheng J, Zhang SH, Wu P, Kwon SC, Li MX, Liu SY, Chen WL (2015) Microstructures and mechanical properties of duplex-treated composite ceramic coatings with and without compound layer. Ceram Int 41:2519–2516
Zhang M, Kim KH, Xu FF, Yang XX (2015) Structure and oxidation behavior of compositionally gradient CrNx coatings prepared using arc ion plating. Surf Coat Technol 228:S529–S533
Zhou SY, Yan SJ, HanB YB, Lin BZ, Zhang ZD, Ai ZW, Pelenovich VO, Fu DJ (2015) Influence of modulation period and modulation ratio on structure and mechanical properties of TiBN/CrN coatings deposited by multi-arc ion plating. Appl Surf Sci 351:1116–1121
Yousaf MI, Pelenovich VO, Yang B, Liu CS, Fu DJ (2015) Influence of substrate rotation speed on the structure and mechanical properties of nanocrystalline AlTiN/MoN coatings synthesized by cathodic arc ion-plating. Surf Coat Technol 265:117–124
He NR, Li HX, Ji L, Liu XH, Zhou HD, Chen JM (2016) High temperature tribological properties of TiAlSiN coatings produced by hybrid PVD technology. Tribol Int 98:133–143
He NR, Li HX, Ji L, Liu XH, Zhou HD, Chen JM (2016) Toughness measurement and toughening mechanisms of arc ion plating Cr2O3 films treated by annealing. Ceram Int 41:9534–9541
He NR, Ji L, Liu XH, Liu XH, Zhou HD (2015) Chen JM, role of annealing temperatures on the evolution of microstructure and properties of Cr2O3 films. Appl Surf Sci 357:1472–1480
Feng JJ, Sun M, Li JB, Liu X, Jiang SX (2012) A novel aromatically functional polymeric ionic liquid as sorbent material for solid-phase microextraction. J Chromatogr A 1227:54–59
Ma JC, Dougherty DA (1997) The Cation−π interaction. Chem Rev 97:1303–1324
Amiri A, Baghayeri M, Kashmari M (2016) Magnetic nanoparticles modified with polyfuran for the extraction of polycyclic aromatic hydrocarbons prior to their determination by gas chromatography. Microchim Acta 183:149–156
Rajabi M, Moghadam AG, Barfi B, Asghari A (2016) Air-assisted dispersive micro-solid phase extraction of polycyclic aromatic hydrocarbons using a magnetic graphitic carbon nitride nanocomposite. Microchim Acta 183:1449–1458
Wu T, Wang JT, Liang WQ, Zang XH, Wang C, QH W, Wang Z (2017) Single layer graphitic carbon nitride-modified graphene composite as a fiber coating for solid-phase microextraction of polycyclic aromatic hydrocarbons. Microchim Acta 184:2171–2180
Zhang X, Zang XH, JTao W, Wang C, Wu QH, Wang Z (2015) Porous carbon derived from aluminum-based metal organic framework as a fiber coating for the solid-phase microextraction of polycyclic aromatic hydrocarbons from water and soil. Microchim Acta 182:2353–2359
Feng JJ, Sun M, YN B, Luo CN (2016) Development of a cheap and accessible carbon fibers-in-poly(ether ether ketone) tube with high stability for online in-tube solid-phase microextraction. Talanta 148:313–320
Liu HM, Ran FP, Tao CH, Zhao MM, Jia YL, Guo Y (2016) A highly thermal stable solid phase microextraction fiber prepared by an inorganic binder. Anal Chim Acta 918:35–42
Arthur CL, Pawliszyn J (1990) Solid phase microextraction with thermal desorption using fused silica optical fibers. Anal Chem 62:2145–2148
Acknowledgements
This work was supported by the National Natural Science Foundation of China (Nos. 21665014).
Author information
Authors and Affiliations
Corresponding author
Ethics declarations
The author(s) declare that they have no competing interests.
Electronic supplementary material
ESM 1
(DOC 17.8 MB)
Rights and permissions
About this article
Cite this article
Liu, H., Ran, F., Wang, X. et al. A chromium(III) oxide-coated steel wire prepared by arc ion plating for use in solid-phase microextraction of aromatic hydrocarbons. Microchim Acta 185, 82 (2018). https://doi.org/10.1007/s00604-017-2535-2
Received:
Accepted:
Published:
DOI: https://doi.org/10.1007/s00604-017-2535-2