Abstract
The electrochemistry of uric acid at a gold electrode modified with a self-assembled film of L-cysteine was studied by cyclic voltammetry and differential pulse voltammetry. Compared to the bare gold electrode, uric acid showed better electrochemical response in that the anodic peak current is stronger and the peak potential is negatively shifted by about 100 mV. The effects of experimental conditions on the oxidation of uric acid were tested and a calibration plot was established. The differential pulse response to uric acid is linear in the concentration range from 1.0 × 10−6 to ~ 1.0 × 10−4 mol⋅L−1 (r = 0.9995) and from 1.0 × 10−4 to ~ 5.0 × 10−4 mol⋅L−1 (r = 0.9990), the detection limit being 1.0 × 10−7 mol⋅L−1 (at S/N = 3). The high sensitivity and good selectivity of the electrode was demonstrated by its practical application to the determination of uric acid in urine samples.

Cyclic voltammograms of UA at the bare electrode (a,b) and the L-Cys/Au electrode (c,d,e) in HAc-NaAc buffer containing different concentrations of UA. (a,c): blank; (b, d): 2.0 × 10−5 mol⋅L−1; (e) 4.0 × 10−5 mol⋅L−1. Scan rate: 100 mV⋅s−1







Similar content being viewed by others
Explore related subjects
Discover the latest articles and news from researchers in related subjects, suggested using machine learning.References
Rai CR, Kitamura F, Ohsaka T (2002) Square wave voltammetric sensing of uric acid using the self-assembly of mercaptobenzimidazole. Analyst 127:1155
Martinez PD, Ferrer ML, Mateo CR (2003) A reagent less fluorescent sol-gel biosensor for uric acid detection in biological fluids. Anal Biochem 322:238
Perelló J, Sanchis P, Grases F (2005) Determination of uric acid in urine, saliva and calcium oxalate renal calculi by high-performance liquid chromatography/mass spectrometry. J Chromatogr B 824:175
Akyilmaz E, Sezginturk MK, Dinckaya E (2003) A biosensor based on urate oxidase-peroxidase coupled enzyme system for uric acid determination in urine. Talanta 61:73
Zhao YS, Yang XY, Lu W, Liao H, Liao F (2009) Uricase based methods for determination of uric acid in serum. Microchim Acta 164:1
Zen JM, Chen PJ (1997) A selective voltammetric method for uric acid and dopamine detection using clay-modified electrodes. Anal Chem 69:5087
Cai XH, Kalcher K, Neuhold C, Ogorevc B (1994) An improved voltammetric method for the determination of traces amounts of uric acid with electrochemically pretreated carbon paste electrodes. Talanta 41:407
Wang ZH, Wang YM, Luo GA (2002) Selective voltammetric method for uric acid detection at β-cyclodextrin modified electrode incorporating carbon nanotubes. Analyst 127:1353
Popa E, Kubota Y, Tryk DA, Fujishima A (2000) Selective voltammetric and amperometric detection of uric acid with oxidized diamond film electrodes. Anal Chem 72:1724
Rai CR, Ohsa T (2003) Voltammetric detection of uric acid in the presence of ascorbic acid at a good electrode modified with a self-assembled monolayer of heteroaromatic thiol. J Electroanal Chem 540:69
Luo JW, Zhang M, Pang DW (2005) Selective and sensitive determination of uric acid at DNA-modified graphite powder microelectrodes. Sens Actuators B 106:358
Lin XQ, Kang GF, Lu LP (2006) DNA/poly(p-aminobenzensulfonic acid) composite bi-layer modified glassy carbon electrode for determination of dopamine and uric acid under coexistence of ascorbic acid. Bioelectrochem 70:235
Huang XJ, Im HS, Yarimaga O, Kim JM, Lee DH, Kim HS, Choi YK (2006) Direct electrochemistry of uric acid at chemically assembled carboxylated single-walled carbon nanotubes netlike electrode. J Phys Chem B 110:21850
Zhang S, Xu M, Zhang Y (2009) Simultaneous voltammetric detection of salsolinol and uric acid in the presence of high concentration of ascorbic acid with gold nanoparticles/functionalized multiwalled carbon nanotubes composite film modified electrode. Electroanalysis 21:2607
Manjunatha H, Nagaraju DH, Suresh GS, Venkatesha TV (2009) Detection of uric acid in the presence of dopamine and high concentration of ascorbic acid using PDDA modified graphite glectrode. Electroanalysis 21:2198
Wang L, Bai JY, Huang PF, Wang HJ, Wu XW, Zhao YQ (2007) Selective determination of uric acid in the presence of ascorbic acid using a penicillamine self-assembled gold electrode. Microchim Acta 158:73
Wu SG, Wang TL, Gao Z, Xu HH, Zhou BN, Wang CQ (2008) Selective detection of uric acid in the presence of ascorbic acid at physiological pH by using a β-cyclodextrin modified copolymer of sulfanilic acid and N-acetylaniline. Biosens Bioelectron 23:1776
Sun D, Zhang Y, Wang FR, Wu KB, Chen JW, Zhou YK (2009) Electrochemical sensor for simultaneous detection of ascorbic acid, uric acid and xanthine based on the surface enhancement effect of mesoporous silica. Sens Actuators B 141:641
Bouhouti HE, Naranjo-Rodríguez I, Hidalgo-Hidalgo JL et al (2009) Electrochemical behaviour of epinephrine and uric acid at a Sonogel–Carbon l-Cysteine modified electrode. Talanta 79:22
Hirsch T, Kettenberger H, Wolfbeis OS, Mirsky VM (2003) A simple strategy for preparation of sensor arrays: molecularly structured monolayers as recognition elements. Chem Commun 3:432
Li YZ, Huang JY, McIver RT, Hemminger JC (1992) Characterization of thiol self-assembled films by laser desorption Fourier transform mass spectrometry. J Am Chem Soc 114:2428
Hu GZ, Ma YG, Guo Y, Shao SJ (2008) Electrocatalytic oxidation and simultaneous determination of uric acid and ascorbic acid on the gold nanoparticles modified glassy carbon electrode. Electrochim Acta 53:6610
Liu CY, Lu GH, Jiang LY, Jiang LP, Zhou XC (2006) Study on the electrochemical behavior of dopamine and uric acid at a 2-amino-5-mercapto-[1, 3, 4] triazole self-sssembled monolayers electrode. Electroanalysis 18:291
Fang B, Jiao SF, Li MG, Tao HS (2006) Simultaneous determination of uric acid and ascorbic acid at a ferrocenium-thioglycollate modified electrode. Anal Bioanal Chem 386:2117
Li NB, Niu LM, Luo HQ (2006) Electrochemical behavior of uric acid and epinephrine at a meso-2, 3-dimercaptosuccinic acid self-assembled gold electrode. Microchim Acta 153:37
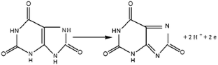
Owens JL, Marsh HA, Dryhurst G (1978) Electrochemical oxidation of uric acid and xanthine: an investigation by cyclic voltammetry, double potential step chronoamperometry and thin-layer spectroelectrochemistry. J Electroanal Chem 91:231
Fu CG, Su CH, Shan RF (2004) Electrochemical properties of L-cysteine self-assembled membrane modified gold electrode. Acta Phys Chim Sin 20:207
Anson FC (1966) Innovations in the study of adsorbed reactants by chronocoulometry. Anal Chem 38:54
Shi K, Shiu KK (2001) Determination of uric acid at electrochemically activated glassy carbon electrode. Electroanalysis 13:1319
Chen ZF, Zu YB (2007) Simultaneous detection of ascorbic acid and uric acid using a fluorosurfactant-modified platinum electrode. J Electroanal Chem 603:281
Acknowledgements
This research was supported by the National Natural Science Foundation of China (No.20977041 and No.31070885).
Author information
Authors and Affiliations
Corresponding author
Rights and permissions
About this article
Cite this article
Wang, Y. The electrochemistry of uric acid at a gold electrode modified with L-cysteine, and its application to sensing uric urine. Microchim Acta 172, 419–424 (2011). https://doi.org/10.1007/s00604-010-0510-2
Received:
Accepted:
Published:
Issue Date:
DOI: https://doi.org/10.1007/s00604-010-0510-2

