Skip to main content

A modified gastrointestinal failure score for patients with severe acute pancreatitis

Abstract

Purpose

No consensus has been reached to define gastrointestinal failure (GIF) associated with severe acute pancreatitis (SAP). Reintam and colleagues proposed a scoring system of GIF for critically ill patients, but its suitability for patients with SAP is questionable. The present study evaluates a modified GIF score we developed to assess the GIF of patients with SAP.

Methods

The subjects of this study were 52 patients with SAP treated between September 2010 and July 2011. We recorded the Reintam’s GIF score, our modified GIF score, the acute physiology and chronic health evaluation (APACHE) II score, the sequential organ failure assessment (SOFA) score, and other clinical values during the first 3 days after admission. The prognostic value of the modified GIF score, for evaluating the severity and outcomes of SAP, was also assessed.

Results

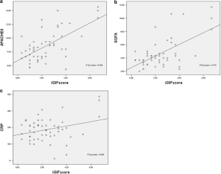
Compared with the Reintam’s GIF score, the modified GIF score seemed to be more valuable for predicting hospital mortality (the area under curve, AUC 0.915 vs. 0.850), multiple organ dysfunction syndrome (MODS) (AUC 0.829 vs. 0.766), and pancreatic infection (AUC 0.796 vs. 0.776). Moreover, combining the modified GIF score and the SOFA or APACHEII scores resulted in more accurate prediction of the prognosis of SAP than either score alone.

Conclusion

The modified GIF score is useful for assessing gastrointestinal system function, which may serve as an early prognostic tool to evaluate the severity and predict the outcomes of SAP.

This is a preview of subscription content, access via your institution.

Fig. 1
Fig. 2
Fig. 3

References

  1. McKay CJ, Buter A. Natural history of organ failure in acute pancreatitis. Pancreatology. 2003;3:111–4.

    PubMed  Article  CAS  Google Scholar 

  2. De Campos T, Braga CF, Kuryura L, Hebara D, Assef JC, Rasslan S. Changes in the management of patients with severe acute pancreatitis. Arq Gastroenterol. 2008;45:181–5.

    PubMed  Article  Google Scholar 

  3. Gloor B, Muller CA, Worni M, Stahel PF, Redaelli C, Uhl W, et al. Pancreatic infection in severe pancreatitis: the role of fungus and multiresistant organisms. Arch Surg. 2001;136:592–6.

    PubMed  Article  CAS  Google Scholar 

  4. Ammori BJ. Role of the gut in the course of severe acute pancreatitis. Pancreas. 2003;26:122–9.

    PubMed  Article  Google Scholar 

  5. Marshall JC, Christou NV, Meakins JL. The gastrointestinal tract. The “undrained abscess” of multiple organ failure. Ann Surg. 1993;218:111–9.

    PubMed  Article  CAS  Google Scholar 

  6. Reintam A, Parm P, Redlich U, Tooding LM, Starkopf J, Köhler F, et al. Gastrointestinal failure in intensive care: a retrospective clinical study in three different intensive care units in Germany and Estonia. BMC Gastroenterol. 2006;6:19.

    PubMed  Article  Google Scholar 

  7. Liu H, Li W, Wang X, Li J, Yu W. Early gut mucosal dysfunction in patients with acute pancreatitis. Pancreas. 2008;36:192–6.

    PubMed  Article  Google Scholar 

  8. Rombeau JL, Takala J. Summary of round table conference: gut dysfunction in critical illness. Intensive Care Med. 1997;23:476–9.

    PubMed  Article  CAS  Google Scholar 

  9. Reintam A, Parm P, Kitus R, Starkopf J, Kern H. Gastrointestinal failure score in critically ill patients: a prospective observational study. Crit Care. 2008;12:R90.

    PubMed  Article  Google Scholar 

  10. Bradley EL 3rd. A clinically based classification system for acute pancreatitis. Summary of the international symposium on acute pancreatitis, Atlanta, Ga, September 11 through 13, 1992. Arch Surg 1993;128:586–90.

    Google Scholar 

  11. Brisinda G, Vanella S, Crocco A, Mazzari A, Tomaiuolo P, Santullo F, et al. Severe acute pancreatitis: advances and insights in assessment of severity and management. Eur J Gastroenterol Hepatol. 2011;23:541–51.

    PubMed  Article  Google Scholar 

  12. Jones AE, Trzeciak S, Kline JA. The sequential organ failure assessment score for predicting outcome in patients with severe sepsis and evidence of hypoperfusion at the time of emergency department presentation. Crit Care Med. 2009;37:1649–54.

    PubMed  Article  Google Scholar 

  13. Balthazar EJ, Freeny PC, Sonnenberg E. Imaging and intervention in acute pancreatitis. Radiology. 1994;193:297–306.

    PubMed  CAS  Google Scholar 

  14. Malbrain ML, Cheatham ML, Kirkpatrick A, Sugrue M, Parr M, De Waele J, et al. Results from the International Conference of Experts on intra-abdominal hypertension and abdominal compartment syndrome. I. Definitions. Intensive Care Med. 2006;32:1722–32.

    PubMed  Article  Google Scholar 

  15. Ke L, Ni HB, Tong ZH, Li WQ, Li N, Li JS. Intra-abdominal pressure and abdominal perfusion pressure: which is a better marker of severity in patients with severe acute pancreatitis. J Gastrointest Surg. 2011;15:1426–32.

    PubMed  Article  Google Scholar 

  16. Bahrania AZ, Abida GH, Sahgala E, O’shea S, Lee S, Ammori BJ. A prospective evaluation of CT features predictive of intra-abdominal hypertension and abdominal compartment syndrome in critically ill surgical patients. Clin Radiol. 2007;62:676–82.

    Article  Google Scholar 

  17. Siewert B, Raptopoulos V. CT of the acute abdomen: findings and impact on diagnosis and treatment. Am J Roentgenol. 1994;163:1317–24.

    Article  CAS  Google Scholar 

  18. De Waele JJ, Hoste E, Blot SI, Decruyenaere J, Colardyn F. Intra-abdominal hypertension in patients with severe acute pancreatitis. Crit Care. 2005;9:R452–7.

    PubMed  Article  Google Scholar 

  19. Ammori BJ, Leeder PC, King RF, Barclay GR, Martin IG, Larvin M, et al. Early increase in intestinal permeability in patients with severe acute pancreatitis: correlation with endotoxemia, organ failure, and mortality. J Gastrointest Surg. 1999;3:252–62.

    PubMed  Article  CAS  Google Scholar 

  20. Balthazar EJ. Acute pancreatitis: assessment of severity with clinical and CT evaluation. Radiology. 2002;223:603–13.

    PubMed  Article  Google Scholar 

  21. Peng YZ, Yuan ZQ, Xiao GX. Effects of early enteral feeding on the prevention of enterogenic infection in severely burned patients. Burns. 2001;27:145–9.

    PubMed  Article  CAS  Google Scholar 

  22. Oláh A, Romics LJ. Early enteral nutrition in acute pancreatitis—benefits and limitations. Langenbecks Arch Surg. 2008;393:261–9.

    PubMed  Article  Google Scholar 

  23. Wang XD, Wang Q, Andersson R, Ihse I. Alterations in intestinal function in acute pancreatitis in an experimental model. Br J Surg. 1996;83:1537–43.

    PubMed  Article  CAS  Google Scholar 

  24. Deenichin GP. Abdominal compartment syndrome. Surg Today. 2008;38:5–19.

    PubMed  Article  Google Scholar 

Download references

Conflict of interest

The authors have no conflicts of interest to disclose.

Author information

Affiliations

Authors

Corresponding author

Correspondence to Wei-qin Li.

Rights and permissions

Reprints and Permissions

About this article

Cite this article

Sun, Jk., Li, Wq., Ni, Hb. et al. A modified gastrointestinal failure score for patients with severe acute pancreatitis. Surg Today 43, 506–513 (2013). https://doi.org/10.1007/s00595-013-0496-6

Download citation

  • Received:

  • Accepted:

  • Published:

  • Issue Date:

  • DOI: https://doi.org/10.1007/s00595-013-0496-6

Keywords

  • Gastrointestinal failure
  • Severe acute pancreatitis
  • Multiple organ dysfunction syndrome
  • Pancreatic infection
  • Intra-abdominal hypertension
  • Endotoxemia