Abstract
Aims
To examine the relationship between admission glucose (AG) level and short-term in-hospital mortality and to investigate the association between hyperglycemia and major bleeding in PE patients with and without DMT2.
Methods
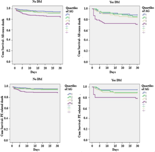
We evaluated 1165 patients with diagnosed acute PE with multi-detector computed tomography pulmonary angiography (MDCT-PA) enrolled in the Regional multicenter PE registry (REPER). The study population was classified to patients with diabetes mellitus type 2 (DMT2) and those without diabetes. According to quartiles of AG patients, both groups separately were categorized into four subgroups (DMT2 I: < 7.5 mmol/L; II: 7.5–10.0 mmol/L; III: 10.0–15.7 mmol/L; IV: > 15.7 mmol/L and (non-DMT2 I: < 5.5 mmol/L; II: 5.5–6.3 mmol/L; III: 6.3–7.9 mmol/L; IV: > 7.9 mmol/L).
Results
All-cause mortality was higher in the DMT2 group (9.5% vs. 18.2%, p < 0.001), and PE-cause mortality was 6% for the patients without DMT2 and 12.4% for DMT2 patients (p = 0.02). The patients in the fourth AG quartiles in both groups, without DMT2 and with DMT2, had significantly higher all-cause and PE-cause in-hospital mortality compared with the first quartile. Rates of major bleeding were similar between the groups. On the multivariable analysis, after adjusting for age, gender and mortality risk, the adherence in the fourth AG quartile had an independent predictive value for all-cause death (HR 2.476, 95% CI 1.017–6.027) only in DM patients.
Conclusion
In our cohort of patients with acute PE, diabetes was associated with increased rates for all-cause and PE-cause mortality.

Similar content being viewed by others
References
Akirov A, Grossman A, Shochat T, Shimon I (2017) Blood glucose on admission and mortality in patients with venous thromboembolism. J Diab Complic 31(2):358–363. https://doi.org/10.1016/j.jdiacomp.2016.06.019
Corathers SD, Falciglia M (2011) The role of hyperglycemia in acute illness: supporting evidence and its limitations. Nutrition 27(3):276–281. https://doi.org/10.1016/j.nut.2010.07.013
Tanabe Y, Obayashi T, Yamamoto T, Takayama M, Nagao K (2015) Predictive value of biomarkers for the prognosis of acute pulmonary embolism in Japanese patients: Results of the Tokyo CCU Network registry. J Cardiol 66(6):460–465. https://doi.org/10.1016/j.jjcc.2015.03.002
Chung WS, Lin CL, Kao CH (2015) Diabetes increases the risk of deep-vein thrombosis and pulmonary embolism. Thromb Haemost 114(4):812–818. https://doi.org/10.1160/TH14-10-0868
de Miguel-Díez J, Muñoz-Rivas N, Jiménez-García R et al (2016) Type 2 diabetes is associated with a higher incidence of hospitalization for pulmonary embolism in Spain: Analysis of hospital discharge data during 2004–2013. Respirology 21(7):1277–1284. https://doi.org/10.1111/resp.12847
Rodríguez-Núñez N, Ruano-Raviña A, Lama A et al (2020) Impact of cardiovascular risk factors on the clinical presentation and survival of pulmonary embolism without identifiable risk factor. J Thoracic Dis 12(10):5411–5419. https://doi.org/10.21037/jtd-20-1634
Christensen DH, Horváth-Puhó E, Thomsen RW et al (2016) Venous thromboembolism and risk of cancer in patients with diabetes mellitus. J Diab Complic 30(4):603–607. https://doi.org/10.1016/j.jdiacomp.2016.01.011
Galicia-Garcia U, Benito-Vicente A, Jebari S et al (2020) Pathophysiology of type 2 diabetes mellitus. Int J Mol Sci 21(17):6275. https://doi.org/10.3390/ijms21176275
Zhang Z, Zhai Z, Yang Y et al (2017) Diabetes mellitus is associated with increased bleeding in pulmonary embolism receiving conventional anticoagulant therapy: findings from a “real-world” study. J Thromb Thrombol 43(4):540–549. https://doi.org/10.1007/s11239-017-1473-5
Gregson J, Kaptoge S, Bolton T et al (2019) Cardiovascular risk factors associated with venous thromboembolism. JAMA Cardiol 4(2):163–173. https://doi.org/10.1001/jamacardio.2018.4537
Tritschler T, Kraaijpoel N, Girard P et al (2020) Subcommittee on predictive and diagnostic variables in thrombotic disease. Definition of pulmonary embolism‐related death and classification of the cause of death in venous thromboembolism studies: communication from the SSC of the ISTH. J Thromb Haemost 18(6):1495–500. https://doi.org/10.1111/jth.14769
Schulman S, Kearon C (2005) Subcommittee on control of anticoagulation of the scientific and standardization committee of the international society on thrombosis and haemostasis. Definition of major bleeding in clinical investigations of antihemostatic medicinal products in non-surgical patients. J Thromb Haemost 3(4):692–694. https://doi.org/10.1111/j.1538-7836.2005.01204.x
Jimenez D, Aujesky D, Moores L, Gomez V, Lobo JL, Uresandi F, Otero R, Monreal M, Muriel A, Yusen RD (2010) Simplification of the pulmonary embolism severity index for prognostication in patients with acute symptomatic pulmonary embolism. Arch Intern Med 170:1383–1389. https://doi.org/10.1001/archinternmed.2010.199
Konstantinides SV, Meyer G, Becattini C et al (2019) The task force for the diagnosis and management of acute pulmonary embolism of the European Society of Cardiology (ESC). 2019 ESC Guidelines for the diagnosis and management of acute pulmonary embolism developed in collaboration with the European Respiratory Society (ERS): The Task Force for the diagnosis and management of acute pulmonary embolism of the European Society of Cardiology (ESC). Eur Respir J 54(3):1901647. https://doi.org/10.1183/13993003.01647-2019
de Miguel-Díez J, López-de-Andrés A, Jiménez-Trujillo I et al (2019) RIETE Investigators. Mortality after pulmonary embolism in patients with diabetes. Findings from the RIETE registry. Eur J Intern Med 59:46–52. https://doi.org/10.1016/j.ejim.2018.08.001
Piazza G, Goldhaber SZ, Kroll A, Goldberg RJ, Emery C, Spencer FA (2012) Venous thromboembolism in patients with diabetes mellitus. Am J Med 125(7):709–716. https://doi.org/10.1016/j.amjmed.2011.12.004
Kochmareva EA, Kokorin VA, Gordeev IG (2018) The new bedside ROCky score to predict the complications in patients with intermediate-risk pulmonary embolism. Eur J Intern Med 57:58–60. https://doi.org/10.1016/j.ejim.2018.05.036
Gohbara M, Hayakawa K, Hayakawa A et al (2018) Association of admission glucose level and improvement in pulmonary artery pressure in patients with submassive-type acute pulmonary embolism. Intern Med 57(5):647–654. https://doi.org/10.2169/internalmedicine.9473-17
Sechterberger MK, Hutten BA, Hermanides J et al (2012) The incidence of diabetes mellitus following pulmonary embolism: a retrospective cohort study. J Thromb Haemost 10(12):2628–2630. https://doi.org/10.1111/jth.12029
Bozbay M, Uyarel H, Avsar S et al (2016) Admission glucose level predicts in-hospital mortality in patients with acute pulmonary embolism who were treated with thrombolytic therapy. Lung 194(2):219–226. https://doi.org/10.1007/s00408-016-9858-3
Jiménez-García R, Albaladejo-Vicente R, Hernandez-Barrera V et al (2020) Type 2 diabetes is a risk factor for suffering and for in-hospital mortality with pulmonary embolism. a population-based study in Spain (2016–2018). Int J Environ Res Public Health 17(22):8347. https://doi.org/10.3390/ijerph17228347
Obradovic S, Dzudovic B, Subotic B et al (2020) Predictive value of heart failure with reduced versus preserved ejection fraction for outcome in pulmonary embolism. ESC Heart Fail 7(6):4061–4070. https://doi.org/10.1002/ehf2.13015
Van Niekerk G, Davis T, Engelbrecht AM (2017) Hyperglycaemia in critically ill patients: the immune system’s sweet tooth. Crit Care 21(1):202. https://doi.org/10.1186/s13054-017-1775-1
Acknowledgements
The authors would like to thank all participating centers of REPER registry, especially the collaborating centers in this investigation.
Funding
None.
Author information
Authors and Affiliations
Corresponding author
Ethics declarations
Conflict of interest
The authors have no conflict of interests to declare.
Ethical approval
This research was approved by the ethical committee (No.152/2019) at the Military medical academy, Belgrade, Serbia, from where it is still coordinated. Every participating center is responsible for obtaining appropriate ethical approval and informed consent.
Human and animal rights
This article does not contain any studies with animals performed by any of the authors.
Informed consent
This is non-interventional study, and all participants gave consent to be part of the registry without use of any uncovered personal data.
Additional information
Managed by Massimo Porta.
Publisher's Note
Springer Nature remains neutral with regard to jurisdictional claims in published maps and institutional affiliations.
Rights and permissions
About this article
Cite this article
Jovanovic, L., Rajkovic, M., Subota, V. et al. Predictive value of admission glycemia in diabetics with pulmonary embolism compared to non-diabetic patients. Acta Diabetol 59, 653–659 (2022). https://doi.org/10.1007/s00592-021-01843-2
Received:
Accepted:
Published:
Issue Date:
DOI: https://doi.org/10.1007/s00592-021-01843-2


