Abstract
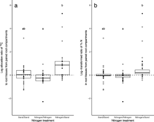
Although ectomycorrhizal fungi have well-recognized effects on ecological processes ranging from plant community dynamics to carbon cycling rates, it is unclear if plants are able to actively influence the structure of these fungal communities. To address this knowledge gap, we performed two complementary experiments to determine (1) whether ectomycorrhizal plants can discriminate among potential fungal partners, and (2) to what extent the plants might reward better mutualists. In experiment 1, split-root Larix occidentalis seedlings were inoculated with spores from three Suillus species (S. clintonianus, S. grisellus, and S. spectabilis). In experiment 2, we manipulated the symbiotic quality of Suillus brevipes isolates on split-root Pinus muricata seedlings by changing the nitrogen resources available, and used carbon-13 labeling to track host investment in fungi. In experiment 1, we found that hosts can discriminate in multi-species settings. The split-root seedlings inhibited colonization by S. spectabilis whenever another fungus was available, despite similar benefits from all three fungi. In experiment 2, we found that roots and fungi with greater nitrogen supplies received more plant carbon. Our results suggest that plants may be able to regulate this symbiosis at a relatively fine scale, and that this regulation can be integrated across spatially separated portions of a root system.



References
Agerer R (2001) Exploration types of ectomycorrhizae: a proposal to classify ectomycorrhizal mycelial systems according to their patterns of differentiation and putative ecological importance. Mycorrhiza 11:107–114. https://doi.org/10.1007/s005720100108
Argüello A, O’Brien MJ, van der Heijden MGA et al (2016) Options of partners improve carbon for phosphorus trade in the arbuscular mycorrhizal mutualism. Ecol Lett 19:648–656. https://doi.org/10.1111/ele.12601
Averill C, Turner BL, Finzi AC (2014) Mycorrhiza-mediated competition between plants and decomposers drives soil carbon storage. Nature 505:534–545. https://doi.org/10.1038/nature12901
Behm JE, Kiers ET (2014) A phenotypic plasticity framework for assessing intraspecific variation in arbuscular mycorrhizal fungal traits. J Ecol 102:315–327. https://doi.org/10.1111/1365-2745.12194
Bennett JA, Maherali H, Reinhart KO, Lekberg Y, Hart MM, Klironomos J (2017) Plant-soil feedbacks and mycorrhizal type influence temperate forest population dynamics. Science (80- ) 355:181–184. https://doi.org/10.1126/science.aai8212
Bever JD, Richardson SC, Lawrence BM, Holmes J, Watson M (2009) Preferential allocation to beneficial symbiont with spatial structure maintains mycorrhizal mutualism. Ecol Lett 12:13–21. https://doi.org/10.1111/j.1461-0248.2008.01254.x
Branco S, Gladieux P, Ellison CE, Kuo A, LaButti K, Lipzen A, Grigoriev IV, Liao HL, Vilgalys R, Peay KG, Taylor JW, Bruns TD (2015) Genetic isolation between two recently diverged populations of a symbiotic fungus. Mol Ecol 24:2747–2758. https://doi.org/10.1111/mec.13132
Bruns TD, Bidartondo MI, Taylor DL (2002) Host specificity in ectomycorrhizal communities : what do the exceptions tell us? Integr Comp Biol 42:352–359
Chagnon PL, Bradley RL, Maherali H, Klironomos JN (2013) A trait-based framework to understand life history of mycorrhizal fungi. Trends Plant Sci 18:484–491. https://doi.org/10.1016/j.tplants.2013.05.001
Chen W, Koide RT, Adams TS, DeForest JL, Cheng L, Eissenstat DM (2016) Root morphology and mycorrhizal symbioses together shape nutrient foraging strategies of temperate trees. Proc Natl Acad Sci U S A 113:8741–8746. https://doi.org/10.1073/pnas.1601006113
Chen W, Koide RT, Eissenstat DM (2018) Nutrient foraging by mycorrhizas: from species functional traits to ecosystem processes. Funct Ecol 12:3218–3221. https://doi.org/10.1111/1365-2435.13041
Cheng L, Chen W, Adams TS, Wei X, Li L, McCormack ML, DeForest JL, Koide RT, Eissenstat DM (2016) Mycorrhizal fungi and roots are complementary in foraging within nutrient patches. Ecology 97:2815–2823. https://doi.org/10.1002/ecy.1514
Christian N, Bever JD (2018) Carbon allocation and competition maintain variation in plant root mutualisms. Ecol Evol 8:1–9. https://doi.org/10.1002/ece3.4118
Clemmensen KE, Finlay RD, Dahlberg A, Stenlid J, Wardle DA, Lindahl BD (2015) Carbon sequestration is related to mycorrhizal fungal community shifts during long-term succession in boreal forests. New Phytol 205:1525–1536. https://doi.org/10.1111/nph.13208
Colpaert JV, Wevers JHL, Krznaric E, Adriaensen K (2011) How metal-tolerant ecotypes of ectomycorrhizal fungi protect plants from heavy metal pollution. Ann For Sci 68:17–24. https://doi.org/10.1007/s13595-010-0003-9
Corrêa A, Strasser RJ, Martins-Loução MA (2008) Response of plants to ectomycorrhizae in N-limited conditions: which factors determine its variation? Mycorrhiza 18:413–427. https://doi.org/10.1007/s00572-008-0195-0
Corrêa A, Gurevitch J, Martins-Loução MA, Cruz C (2012) C allocation to the fungus is not a cost to the plant in ectomycorrhizae. Oikos 121:449–463. https://doi.org/10.1111/j.1600-0706.2011.19406.x
Eissenstat DM, Kucharski JM, Zadworny M, Adams TS, Koide RT (2015) Linking root traits to nutrient foraging in arbuscular mycorrhizal trees in a temperate forest. New Phytol 208:114–124. https://doi.org/10.1111/nph.13451
Ek H, Andersson S, Söderström B (1996) Carbon and nitrogen flow in silver birch and Norway spruce connected by a common mycorrhizal mycelium. 465–467. doi: https://doi.org/10.1007/s005720050148
Fellbaum CR, Mensah JA, Cloos AJ, Strahan GE, Pfeffer PE, Kiers ET, Bücking H (2014) Fungal nutrient allocation in common mycorrhizal networks is regulated by the carbon source strength of individual host plants. New Phytol 203:646–656. https://doi.org/10.1111/nph.12827
Finlay RD (1989) Functional aspects of phosphorus uptake and carbon translocation in incompatible ectomycorrhizal associations between Pinus sylvestris and Suillus grevillei and Boletinus cavipes. New Phytol 112:185–192. https://doi.org/10.1111/j.1469-8137.1989.tb02373.x
Franklin O, Näsholm T, Högberg P, Högberg MN (2014) Forests trapped in nitrogen limitation - an ecological market perspective on ectomycorrhizal symbiosis. New Phytol 203:657–666. https://doi.org/10.1111/nph.12840
Frederickson M (2013) Rethinking mutualism stability: cheaters and the evolution of sanctions. Q Rev Biol 88:269–295. https://doi.org/10.1086/673757
Friesen ML (2012) Widespread fitness alignment in the legume-rhizobium symbiosis. New Phytol 194:1096–1111. https://doi.org/10.1111/j.1469-8137.2012.04099.x
Fukami T (2015) Historical contingency in community assembly: integrating niches, species pools, and priority effects. Annu Rev Ecol Evol Syst 46:1–23. https://doi.org/10.1146/annurev-ecolsys-110411-160340
Garcia K, Delaux P, Cope KR, Ané J-M (2015) Molecular signals required for the establishment and maintenance of ectomycorrhizal symbioses. New Phytol 208:79–87. https://doi.org/10.1111/nph.13423
Hasselquist NJ, Metcalfe DB, Inselsbacher E, Stangl Z, Oren R, Näsholm T, Högberg P (2016) Greater carbon allocation to mycorrhizal fungi reduces tree nitrogen uptake in a boreal forest. Ecology 97:1012–1022. https://doi.org/10.1890/15-1222.1
He X, Critchley C, Ng H, Bledsoe C (2005) Nodulated N2-fixing Casuarina cunninghamiana is the sink for net N transfer from non-N2-fixing Eucalyptus maculata via an ectomycorrhizal fungus Pisolithus sp. using 15NH4+ or 15NO3− supplied as ammonium nitrate. New Phytol 167:897–912. https://doi.org/10.1111/j.1469-8137.2005.01437.x
Herman DJ, Firestone MK, Nuccio E, Hodge A (2012) Interactions between an arbuscular mycorrhizal fungus and a soil microbial community mediating litter decomposition. FEMS Microbiol Ecol 80:236–247. https://doi.org/10.1111/j.1574-6941.2011.01292.x
Hoeksema JD, Kummel M (2003) Ecological persistence of the plant-mycorrhizal mutualism: a hypothesis from species coexistence theory. Am Nat 162:S40–S50
Hortal S, Plett KL, Plett JM, Cresswell T, Johansen M, Pendall E, Anderson IC (2017) Role of plant–fungal nutrient trading and host control in determining the competitive success of ectomycorrhizal fungi. ISME J 11:2666–2676. https://doi.org/10.1038/ismej.2017.116
Ji B, Bever JD (2016) Plant preferential allocation and fungal reward decline with soil phosphorus: implications for mycorrhizal mutualism. Ecosphere 7:e01256. https://doi.org/10.1002/ecs2.1256
Johnstone RA, Bshary R (2008) Mutualism, market effects and partner control. J Evol Biol 21:879–888. https://doi.org/10.1111/j.1420-9101.2008.01505.x
Jones MD, Durall DM, Cairney JWG (2003) Ectomycorrhizal fungal communities in young forest stands regenerating after clearcut logging. New Phytol 157:399–422. https://doi.org/10.1046/j.1469-8137.2003.00698.x
Kennedy PG (2010) Ectomycorrhizal fungi and interspecific competition: species interactions, community structure, coexistence mechanisms, and future research directions. New Phytol 187:895–910. https://doi.org/10.1111/j.1469-8137.2010.03399.x
Kennedy PG, Bruns TD (2005) Priority effects determine the outcome of ectomycorrhizal competition between two Rhizopogon species colonizing Pinus muricata seedlings. New Phytol 166:631–638
Kennedy PG, Higgins LM, Rogers RH, Weber MG (2011) Colonization-competition tradeoffs as a mechanism driving successional dynamics in ectomycorrhizal fungal communities. PLoS One 6:e25126. https://doi.org/10.1371/journal.pone.0025126
Kennedy PG, Mielke LA, Nguyen NH (2018) Ecological responses to forest age, habitat, and host vary by mycorrhizal type in boreal peatlands. Mycorrhiza 28:315–328. https://doi.org/10.1007/s00572-018-0821-4
Kiers ET, Denison RF (2008) Sanctions, cooperation, and the stability of plant-rhizosphere mutualisms. Annu Rev Ecol Evol Syst 39:215–236. https://doi.org/10.1146/annurev.ecolsys.39.110707.173423
Kiers ET, Rousseau RA, West SA, Denison RF (2003) Host sanctions and the legume-rhizobium mutualism. Nature 425:78–81. https://doi.org/10.1038/nature01931
Kiers ET, Duhamel M, Beesetty Y, Mensah JA, Franken O, Verbruggen E, Fellbaum CR, Kowalchuk GA, Hart MM, Bago A, Palmer TM, West SA, Vandenkoornhuyse P, Jansa J, Bucking H (2011) Reciprocal rewards stabilize cooperation in the mycorrhizal symbiosis. Science (80- ) 333:880–882. https://doi.org/10.1126/science.1208473
Kornfeld A, Horton TW, Yakir D, Turnbull MH (2012) Correcting for nonlinearity effects of continuous flow isotope ratio mass spectrometry across a wide dynamic range. Rapid Commun Mass Spectrom 26:460–468. https://doi.org/10.1002/rcm.6120
Leski T, Rudawska M (2012) Ectomycorrhizal fungal community of naturally regenerated European larch (Larix decidua) seedlings. Symbiosis 56:45–53. https://doi.org/10.1007/s13199-012-0164-4
Liao H-L, Chen Y, Vilgalys R (2016) Metatranscriptomic study of common and host-specific patterns of gene expression between pines and their symbiotic ectomycorrhizal fungi in the genus Suillus. PLoS Genet 12:e1006348. https://doi.org/10.1371/journal.pgen.1006348
Lofgren L, Nguyen NH, Kennedy PG (2018) Ectomycorrhizal host specificity in a changing world: can legacy effects explain anomalous current associations? New Phytol 220:1273–1284. https://doi.org/10.1111/nph.15008
Marx D (1969) The influence of ectotrophic mycorrhizal fungi on the resistance of pine roots to pathogenic infections. I. Antagonism of mycorrhizal fungi to root pathogenic fungi and soil bacteria. Phytopathology 59:153–163
Massicotte HB, Molina RJ, Luoma DL, Smith JE (1994) Biology of the ectomycorrhizal genus, Rhizopogon: II. Patterns of host-fungus specificity following spore inoculation of diverse hosts grown in monoculture and dual culture. New Phytol 126:677–690
Moeller HV, Neubert MG (2016) Multiple friends with benefits: an optimal mutualist management strategy? Am Nat 187:E1–E12. https://doi.org/10.1086/684103
Molina R, Horton TR (2015) Mycorrhiza specificity: its role in the development and function of common mycelial networks. In: Horton TR (ed) Mycorrhizal Networks, 1st edn. Springer Netherlands, Dordrecht, pp 1–39
Nara K, Hogetsu T (2004) Ectomycorrhizal fungi on established shrubs facilitate subsequent seedling establishment of successional plant species. Ecology 85:1700–1707. https://doi.org/10.1890/03-0373
Näsholm T, Högberg P, Franklin O, Metcalfe D, Keel SG, Campbell C, Hurry V, Linder S, Högberg MN (2013) Are ectomycorrhizal fungi alleviating or aggravating nitrogen limitation of tree growth in boreal forests? New Phytol 198:214–221. https://doi.org/10.1111/nph.12139
Nylund J, Wallander H (1989) Effects of ectomycorrhiza on host growth and carbon balance in a semi-hydroponic cultivation system. New Phytol 112:389–398. https://doi.org/10.1111/j.1469-8137.1989.tb00328.x
Oldroyd GED, Murray JD, Poole PS, Downie JA (2011) The rules of engagement in the legume-rhizobial symbiosis. Annu Rev Genet 45:119–144. https://doi.org/10.1146/annurev-genet-110410-132549
Peay KG (2016) The mutualistic niche: mycorrhizal symbiosis and community dynamics. Annu Rev Ecol Evol Syst 47:143–164. https://doi.org/10.1146/annurev-ecolsys-121415-032100
Peay KG (2018) Timing of mutualist arrival has a greater effect on Pinus muricata seedling growth than interspecific competition. J Ecol 106:514–523. https://doi.org/10.1111/1365-2745.12915
Plett JM, Kemppainen M, Kale SD, Kohler A, Legué V, Brun A, Tyler BM, Pardo AG, Martin F (2011) A secreted effector protein of Laccaria bicolor is required for symbiosis development. Curr Biol 21:1197–1203. https://doi.org/10.1016/j.cub.2011.05.033
Plett JM, Daguerre Y, Wittulsky S, Vayssieres A, Deveau A, Melton SJ, Kohler A, Morrell-Falvey JL, Brun A, Veneault-Fourrey C, Martin F (2014) Effector MiSSP7 of the mutualistic fungus Laccaria bicolor stabilizes the Populus JAZ6 protein and represses jasmonic acid (JA) responsive genes. Proc Natl Acad Sci U S A 111:8299–8304. https://doi.org/10.1073/pnas.1322671111
Powell JR, Parrent JL, Hart MM, Klironomos JN, Rillig MC, Maherali H (2009) Phylogenetic trait conservatism and the evolution of functional trade-offs in arbuscular mycorrhizal fungi. Proc R Soc B 276:4237–4245. https://doi.org/10.1098/rspb.2009.1015
Pringle EG (2016) Integrating plant carbon dynamics with mutualism ecology. New Phytol 210:71–75. https://doi.org/10.1111/nph.13679
R Core Team (2017) R: A language and environment for statistical computing. R Foundation for Statistical Computing, Vienna, Austria. Available from https://www.R-project.org/
Rineau F, Stas J, Nguyen NH, Kuyper TW, Carleer R, Vangronsveld J, Colpaert JV, Kennedy PG (2016) Ectomycorrhizal fungal protein degradation ability predicted by soil organic nitrogen availability. Appl Environ Microbiol 82:1391–1400. https://doi.org/10.1128/AEM.03191-15
Schmitz AM, Harrison MJ (2014) Signaling events during initiation of arbuscular mycorrhizal symbiosis. J Integr Plant Biol 56:250–261. https://doi.org/10.1111/jipb.12155
Slater C, Preston T, Weaver LT (2001) Stable isotopes and the international system of units. Rapid Commun Mass Spectrom 15:1270–1273. https://doi.org/10.1002/rcm.328
Smith SE, Read DJ (2008) Mycorrhizal Symbiosis, 3rd edn. Academic Press, San Diego
Talbot JM, Bruns TD, Smith DP, Branco S, Glassman SI, Erlandson S, Vilgalys R, Peay KG (2013) Independent roles of ectomycorrhizal and saprotrophic communities in soil organic matter decomposition. Soil Biol Biochem 57:282–291. https://doi.org/10.1016/j.soilbio.2012.10.004
Tedersoo L, Smith ME (2013) Lineages of ectomycorrhizal fungi revisited: foraging strategies and novel lineages revealed by sequences from belowground. Fungal Biol Rev 27:83–99. https://doi.org/10.1016/j.fbr.2013.09.001
Valtanen K, Eissfeller V, Beyer F, Hertel D, Scheu S, Polle A (2014) Carbon and nitrogen fluxes between beech and their ectomycorrhizal assemblage. Mycorrrhiza 24:645–650. https://doi.org/10.1007/s00572-014-0581-8
Van Wees SC, Van der Ent S, Pieterse CM (2008) Plant immune responses triggered by beneficial microbes. Curr Opin Plant Biol 11:443–448. https://doi.org/10.1016/j.pbi.2008.05.005
Walder F, Niemann H, Natarajan M, Lehmann MF, Boller T, Wiemken A (2012) Mycorrhizal networks: common goods of plants shared under unequal terms of trade. Plant Physiol 159:789–797. https://doi.org/10.1104/pp.112.195727
Acknowledgements
We thank Nhu Nguyen for collecting and logistical assistance with experiment 1. We thank Ford Denison, Tad Fukami, members of the Peay lab, Thomas Kuyper, and four anonymous reviewers for feedback on prior versions of this manuscript. Thanks also to Don Herman, who provided essential assistance with the isotope enrichment part of experiment 2.
Funding
S. Hortal received a Hawkesbury Institute for the Environment Research Exchange Program grant. L. Bogar received support for this research from a National Science Foundation (NSF) Graduate Research Fellowship Program grant, scholarships from the Mycological Society of San Francisco and the Phi Beta Kappa Northern California Association, and a predoctoral fellowship from the Stanford Center for Computational, Evolutionary, and Human Genomics. Further support was provided by an NSF-Division of Environmental Biology grant (1554375) to P. Kennedy.
Author information
Authors and Affiliations
Contributions
P.K. designed experiment 1, which was conducted by S.H. and J.H. L.B. designed and carried out experiment 2 with support from K.P. and A.K. L.B. analyzed the data and composed the manuscript, with writing and editing assistance from P.K., and additional revisions from all co-authors.
Corresponding author
Ethics declarations
Conflict of interest
The authors declare that they have no conflict of interest.
Additional information
Publisher’s Note
Springer Nature remains neutral with regard to jurisdictional claims in published maps and institutional affiliations.
Electronic supplementary material
ESM 1
(DOCX 2525 kb)
Rights and permissions
About this article
Cite this article
Bogar, L., Peay, K., Kornfeld, A. et al. Plant-mediated partner discrimination in ectomycorrhizal mutualisms. Mycorrhiza 29, 97–111 (2019). https://doi.org/10.1007/s00572-018-00879-7
Received:
Accepted:
Published:
Issue Date:
DOI: https://doi.org/10.1007/s00572-018-00879-7