Skip to main content

Fine root endophytes under scrutiny: a review of the literature on arbuscule-producing fungi recently suggested to belong to the Mucoromycotina

Abstract

Fine root endophytes (FRE) are arbuscule-forming fungi presently considered as a single species—Glomus tenue in the Glomeromycota (Glomeromycotina)—but probably belong within the Mucoromycotina. Thus, FRE are the only known arbuscule-forming fungi not within the arbuscular mycorrhizal fungi (AMF; Glomeromycotina) as currently understood. Phylogenetic differences between FRE and AMF could reflect ecological differences. To synthesize current ecological knowledge, we reviewed the literature on FRE and identified 108 papers that noted the presence of FRE and, in some, the colonization levels for FRE or AMF (or both). We categorized these records by geographic region, host-plant family and environment (agriculture, moderate-natural, low-temperature, high-altitude and other) and determined their influence on the percentage of root length colonized by FRE in a meta-analysis. We found that FRE are globally distributed, with many observations from Poaceae, perhaps due to grasses being widely distributed. In agricultural environments, colonization by FRE often equalled or exceeded that of AMF, particularly in Australasia. In moderate-natural and high-altitude environments, average colonization by FRE (~10%) was lower than that of AMF (~35%), whereas in low-temperature environments, colonization was similar (~20%). Several studies suggested that FRE can enhance host-plant phosphorus uptake and growth, and may be more resilient than AMF to environmental stress in some host plants. Further research is required on the functioning of FRE in relation to the environment, host plant and co-occurring AMF and, in particular, to examine whether FRE are important for plant growth in stressful environments. Targeted molecular primers are urgently needed for further research on FRE.

This is a preview of subscription content, access via your institution.

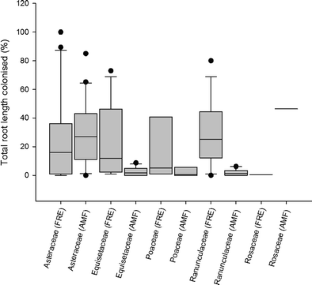
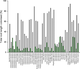
Fig. 1
Fig. 2
Fig. 3
Fig. 4
Fig. 5
Fig. 6
Fig. 7
Fig. 8
Fig. 9
Fig. 10

References

  • Abbott L (1982) Comparative anatomy of vesicular-arbuscular mycorrhizas formed on subterranean clover. Aust J Bot 30:485–499

    Article  Google Scholar 

  • Abbott L, Robson A (1978) Growth of subterranean clover in relation to the formation of endomycorrhizas by introduced and indigenous fungi in field soil. New Phytol 81:575–585

    Article  Google Scholar 

  • Abbott L, Robson A (1982) Infectivity of vesicular arbuscular mycorrhizal fungi in agricultural soils. Aust J Agric Res 33:1049–1059

    Article  Google Scholar 

  • Abbott L, Robson A, Hall I (1983) Introduction of vesicular arbuscular mycorrhizal fungi into agricultural soils. Aust J Agric Res 34:741–749

    Article  Google Scholar 

  • Allen N, Nordlander M, McGonigle T, Basinger J, Kaminskyj S (2006) Arbuscular mycorrhizae on Axel Heiberg Island (80 degrees N) and at Saskatoon (52 degrees N) Canada. Can J Bot 84:1094–1100

    Article  Google Scholar 

  • Anderson RC, Ebbers BC, Liberta AE (1986) Soil-moisture influences colonization of prairie cordgrass (Spartina pectinata Lind) by vesicular-arbuscular mycorrhizal fungi. New Phytol 102:523–527

    Article  Google Scholar 

  • Antoninka A, Reich PB, Johnson NC (2011) Seven years of carbon dioxide enrichment, nitrogen fertilization and plant diversity influence arbuscular mycorrhizal fungi in a grassland ecosystem. New Phytol 192:200–214

    PubMed  Article  Google Scholar 

  • Arines J, Vilariño A, Sainz M (1988) ‘Fine’ and ‘coarse’ mycorrhizal fungi on red clover plants in acid soils: root colonization and plant responses. Plant Soil 111:135–145

    Article  Google Scholar 

  • Baon JB, Smith SE, Alston AM, Wheeler RD (1992) Phosphorus efficiency of 3 cereals as related to indigenous mycorrhizal infection. Aust J Agric Res 43:479–491

    CAS  Article  Google Scholar 

  • Baylis GTS (1967) Experiments on the ecological significance of phycomycetous mycorrhizas. New Phytol 66:231–243

    Article  Google Scholar 

  • Baylis GTS (1969) Host treatment and spore production by Endogone. New Zeal J Bot 7:173–174

    Article  Google Scholar 

  • Beck A, Kottke I, Oberwinkler F (2005) Two members of the Glomeromycota form distinct ectendomycorrhizas with Alzatea verticillata, a prominent tree in the mountain rain forest of southern Ecuador. Mycol Prog 4:11–22

    Article  Google Scholar 

  • Binet M-N, van Tuinen D, Depretre N, Koszela N, Chambon C, Gianinazzi S (2011) Arbuscular mycorrhizal fungi associated with Artemisia umbelliformis Lam, an endangered aromatic species in Southern French Alps, influence plant P and essential oil contents. Mycorrhiza 21:523–535

    CAS  PubMed  Article  Google Scholar 

  • Binet MN, Sage L, Malan C, Clement JC, Redecker D, Wipf D, Geremia RA, Lavorel S, Mouhamadou B (2013) Effects of mowing on fungal endophytes and arbuscular mycorrhizal fungi in subalpine grasslands. Fungal Ecol 6:248–255

    Article  Google Scholar 

  • Blaschke H (1991) Distribution, mycorrhizal infection, and structure of roots of calcicole floral elements at treeline, Bavarian Alps, Germany. Arctic Alpine Res 23:444–450

    Article  Google Scholar 

  • Blaszkowski J (1994) Arbuscular fungi and mycorrhizae (Glomales) of the Hel Peninsula, Poland. Mycorrhiza 5:71–88

    Article  Google Scholar 

  • Braunberger PG (1994) The effect of rain in the dry-season on the formation of vesicular-arbuscular mycorrhizas in the growing season of annual clover-based pastures. New Phytol 127:107–114

    Article  Google Scholar 

  • Braunberger PG, Abbott LK, Robson AD (1997) Early vesicular-arbuscular mycorrhizal colonisation in soil collected from an annual clover-based pasture in a Mediterranean environment: soil temperature and the timing of autumn rains. Aust J Agric Res 48:103–110

    Article  Google Scholar 

  • Brundrett M (2009) Mycorrhizal associations and other means of nutrition of vascular plants: understanding the global diversity of host plants by resolving conflicting information and developing reliable means of diagnosis. Plant Soil 320:37–77

    CAS  Article  Google Scholar 

  • Brundrett M, Bougher N, Dell B, Grove T, Malajczuk N (1996) Working with mycorrhizas in forestry and agriculture. Australian Centre for International Agricultural Research, Canberra

    Google Scholar 

  • Buwalda JG (1980) Growth of a clover–ryegrass association with vesicular arbuscular mycorrhizas. New Zeal J Agr Res 23:379–383

    Article  Google Scholar 

  • Christie P, Kilpatrick DJ (1992) Vesicular-arbuscular mycorrhiza infection in cut grassland following long-term slurry application. Soil Biol Biochem 24:325–330

    Article  Google Scholar 

  • Christie P, Nicolson TH (1983) Are mycorrhizas absent from the Antarctic. Trans Br Mycol Soc 80:557–560

    Article  Google Scholar 

  • Cooper KM (1976) A field survey of mycorrhizas in New Zealand ferns. New Zeal J Bot 14:169–181

    Article  Google Scholar 

  • Crush JR (1973a) The effect of Rhizophagus tenuis mycorrhizas on ryegrass, cocksfoot and sweet vernal. New Phytol 72:965–973

    Article  Google Scholar 

  • Crush JR (1973b) Significance of endomycorrhizas in tussock grassland in Otago, New Zealand. New Zeal J Bot 11:645–660

    Article  Google Scholar 

  • Crush JR (1975) Occurrence of endomycorrhizas in soils of the McKenzie basin, Canterbury, New Zealand. New Zeal J Agr Res 18:361–364

    Article  Google Scholar 

  • Crush JR (1982) Effects of endomycorrhizas and phosphorus-fertilizer on nodulation and acetylene-reduction activity of white clover seedlings. N Z J Exp Agric 10:297–299

    Google Scholar 

  • Daft MJ, Nicolson TH (1974) Arbuscular mycorrhizas in plants colonizing coal wastes in Scotland. New Phytol 73:1129–1138

    Article  Google Scholar 

  • Daft MJ, Chilvers MT, Nicolson TH (1980) Mycorrhizas of the Liliiflorae. 1. Morphogenesis of Endymion-non-scriptus (L) Garcke and its mycorrhizas in nature. New Phytol 85:181–189

    Article  Google Scholar 

  • Dhillion SS, Vidiella PE, Aquilera LE, Friese CF, Deleon E, Armesto JJ, Zak JC (1995) Mycorrhizal plants and fungi in the fog-free Pacific coastal desert of Chile. Mycorrhiza 5:381–386

    Article  Google Scholar 

  • Druva-Lusite I, Ievinsh G (2010) Diversity of arbuscular mycorrhizal symbiosis in plants from coastal habitats. Environ Exp Biol 8:17–34

    Google Scholar 

  • Ebbers BC, Anderson RC, Liberta AE (1987) Aspects of the mycorrhizal ecology of prairie dropseed, Sporobolus heterolepis (Poaceae). Am J Bot 74:564–573

    Article  Google Scholar 

  • Fernandez N, Messuti MI, Fontenla S (2008) Arbuscular mycorrhizas and dark septate fungi in Lycopodium paniculatum (Lycopodiaceae) and Equisetum bogotense (Equisetaceae) in a Valdivian temperate forest of Patagonia, Argentina. Am Fern J 98:117–127

    Article  Google Scholar 

  • Field KJ, Pressel S, Duckett JG, Rimington WR, Bidartondo MI (2015) Symbiotic options for the conquest of land. Trends Ecol Evol 30:477–486

    PubMed  Article  Google Scholar 

  • Ganesan V, Ragupathy S, Parthipan B, Rani DBR, Mahadevan A (1991) Distribution of vesicular-arbuscular mycorrhizal fungi in coal, lignite, and calcite mine spoils of India. Biol Fert Soils 12:131–136

    Article  Google Scholar 

  • Gerdemann JW, Trappe JM (1974) The Endogonaceae in the Pacific Northwest. Mycologia Memoir (No. 5) 75 pp

  • Gianinazzi-Pearson V, Morandi D, Dexheimer J, Gianinazzi S (1981) Ultrastructural and ultracytochemical features of a Glomus tenuis mycorrhiza. New Phytol 88:633–639

    Article  Google Scholar 

  • Gnekow MA, Marschner H (1989) Influence of the fungicide pentachloronitrobenzene on VA-mycorrhizal and total root length and phosphorus uptake of oats (Avena sativa). Plant Soil 114:91–98

    CAS  Article  Google Scholar 

  • Göransson P, Olsson PA, Postma J, Falkengren-Grerup U (2008) Colonisation by arbuscular mycorrhizal and fine endophytic fungi in four woodland grasses—variation in relation to pH and aluminium. Soil Biol Biochem 40:2260–2265

    Article  CAS  Google Scholar 

  • Greenall JM (1963) The mycorrhizal endophytes of Griselinia littoralis (Cornaceae). New Zeal J Bot 1:389–400

    Article  Google Scholar 

  • Gucwa-Przepiora E, Blaszkowski J, Kurtyka R, Malkowski L, Malkowski E (2013) Arbuscular mycorrhiza of Deschampsia cespitosa (Poaceae) at different soil depths in highly metal-contaminated site in southern Poland. Acta Soc Bot Pol 82:251–258

    Article  Google Scholar 

  • Hall IR (1977) Species and mycorrhizal infections of New Zealand Endogonaceae. Trans Br Mycol Soc 68:341–356

    Article  Google Scholar 

  • Hall IR (1984) Field trials assessing the effect of inoculating agricultural soils with endomycorrhizal fungi. J Agr Sci 102:725–731

    Article  Google Scholar 

  • Hall IR, Abbott L (1984) Some Endogonaceae from south western Australia. Trans Br Mycol Soc 83:203–208

    Article  Google Scholar 

  • Hilbig BE, Allen EB (2015) Plant–soil feedbacks and competitive interactions between invasive Bromus diandrus and native forb species. Plant Soil 392:191–203

    CAS  Article  Google Scholar 

  • Hodson E, Shahid F, Basinger J, Kaminskyj S (2009) Fungal endorhizal associates of Equisetum species from Western and Arctic Canada. Mycol Prog 8:19–27

    Article  Google Scholar 

  • Hoeksema JD, Chaudhary VB, Gehring CA, Johnson NC, Karst J, Koide RT, Pringle A, Zabinski C, Bever JD, Moore JC et al (2010) A meta-analysis of context-dependency in plant response to inoculation with mycorrhizal fungi. Ecol Lett 13:394–407

    PubMed  Article  Google Scholar 

  • Hooker JE, Piatti P, Cheshire MV, Watson CA (2007) Polysaccharides and monosaccharides in the hyphosphere of the arbuscular mycorrhizal fungi Glomus E3 and Glomus tenue. Soil Biol Biochem 39:680–683

    CAS  Article  Google Scholar 

  • Hopkins NA (1987) Mycorrhizae in a California serpentine grassland community. Can J Bot 65:484–487

    Article  Google Scholar 

  • Hothorn T, Bretz F, Westfall P (2008) Simultaneous inference in general parametric models. Biom J 50:346–363

    PubMed  Article  Google Scholar 

  • Jasper DA, Abbott LK, Robson AD (1989) Hyphae of a vesicular-arbuscular mycorrhizal fungus maintain infectivity in dry soil, except when the soil is disturbed. New Phytol 112:101–107

    Article  Google Scholar 

  • Jeffries P, Spyropoulos T, Vardavarkis E (1988) Vesicular-arbuscular mycorrhizal status of various crops in different agricultural soils of northern Greece. Biol Fert Soils 5:333–337

    Article  Google Scholar 

  • John J, Lundholm J, Kernaghan G (2014) Colonization of green roof plants by mycorrhizal and root endophytic fungi. Ecol Eng 71:651–659

    Article  Google Scholar 

  • Johnson PN (1977) Mycorrhizal Endogonaceae in a New Zealand forest. New Phytol 78:161–170

    Article  Google Scholar 

  • Knopf E, Blaschke H, Munch JC (2014) Facilitating AMF activities in Moringa species for reforestation purposes in Lake Victoria basin, Kenya. Agr Sci Eng Technol Res 2:1–12

    Google Scholar 

  • Kowal J, Pressel S, Duckett JG, Bidartondo MI (2016) Liverworts to the rescue: an investigation of their efficacy as mycorrhizal inoculum for vascular plants. Funct Ecol 30:1014–1023

    Article  Google Scholar 

  • Lesica P, Antibus RK (1986) Mycorrhizae of alpine fell-field communities on soils derived from crystalline and calcareous parent materials. Can J Bot 64:1691–1697

    CAS  Article  Google Scholar 

  • Lopez-Aguillon R, Mosse B (1987) Experiments on competitiveness of three endomycorrhizal fungi. Plant Soil 97:155–170

    Article  Google Scholar 

  • Majewska ML, Blaszkowski J, Nobis M, Rola K, Nobis A, Lakomiec D, Czachura P, Zubek S (2015) Root-inhabiting fungi in alien plant species in relation to invasion status and soil chemical properties. Symbiosis 65:101–115

    CAS  PubMed  PubMed Central  Article  Google Scholar 

  • McGee PA (1989) Variation in propagule numbers of vesicular-arbuscular mycorrhizal fungi in a semi-arid soil. Mycol Res 92:28–33

    Article  Google Scholar 

  • McGonigle TP, Miller MH, Evans DG, Fairchild GL, Swan JA (1990) A new method which gives an objective measure of colonization of roots by vesicular-arbuscular mycorrhizal fungi. New Phytol 115:495–501

    Article  Google Scholar 

  • McNeill J, Barrie FR, Buck WR, Demoulin V, Greuter W, Hawksworth DL, Herendeen PS, Knapp S, Marhold K, Prado J, Prud’Homme van Reine WF, Smith GF, Wieersema JH, Turland NJ (2011) International Code of Nomenclature for algae, fungi and plants (Melbourne Code) adopted by the Eighteenth International Botanical Congress Melbourne, Australia, July 2011. Publ. 2012. (Regnum Vegetabile, 154); 240 p. gr8vo. ISBN 978-3-87429-425-6

  • Merryweather J, Fitter AH (1998) The arbuscular mycorrhizal fungi of Hyacinthoides non-scripta. I. Diversity of fungal taxa. New Phytol 138:117–129

    Article  Google Scholar 

  • Morton JB (1990) Evolutionary relationships among arbuscular mycorrhizal fungi in the Endogonaceae. Mycologia 82:192–207

    Article  Google Scholar 

  • Mosse B, Bowen GD (1968) A key to the recognition of some Endogone spore types. Trans Br Mycol Soc 51:469–483

    Article  Google Scholar 

  • Mullen RB, Schmidt SK (1993) Mycorrhizal infection, phosphorus uptake, and phenology in Ranunculus adoneus: implications for the functioning of mycorrhizae in alpine systems. Oecologia 94:229–234

    CAS  PubMed  Article  Google Scholar 

  • Newsham KK, Upson R, Read DJ (2009) Mycorrhizas and dark septate root endophytes in polar regions. Fungal Ecol 2:10–20

    Article  Google Scholar 

  • Nichols PGH, Revell CK, Humphries AW, Howie JH, Hall EJ, Sandral GA, Ghamkhar K, Harris CA (2012) Temperate pasture legumes in Australia—their history, current use, and future prospects. Crop Pasture Sci 63:691–725

    Article  Google Scholar 

  • Nicolson TH, Schenck NC (1979) Endogonaceous mycorrhizal endophytes in Florida. Mycologia 71:178–198

    Article  Google Scholar 

  • Olsrud M, Carlsson BA, Svensson BM, Michelsen A, Melillo JM (2010) Responses of fungal root colonization, plant cover and leaf nutrients to long-term exposure to elevated atmospheric CO2 and warming in a subarctic birch forest understory. Glob Change Biol 16:1820–1829

    Article  Google Scholar 

  • Olsson PA, Eriksen BE, Dahlberg A (2004) Colonization by arbuscular mycorrhizal and fine endophytic fungi in herbaceous vegetation in the Canadian High Arctic. Can J Bot 82:1547–1556

    Article  Google Scholar 

  • Orchard S, Standish RJ, Nicol D, Gupta VVSR, Ryan MH (2016) The response of fine root endophyte (Glomus tenue) to waterlogging is dependent on host plant species and soil type. Plant Soil 403:305–315

    CAS  Article  Google Scholar 

  • Orchard S, Hilton S, Bending GD, Dickie IA, Standish RJ, Gleeson D et al (2017a) Fine endophytes (Glomus tenue) are related to Mucoromycotina not Glomeromycota. New Phytol 213:481–486

    PubMed  Article  Google Scholar 

  • Orchard S, Standish RJ, Nicol D, Dickie IA, Ryan MH (2017b) Sample storage conditions alter colonisation structures of arbuscular mycorrhizal fungi and, particularly, fine root endophyte. Plant Soil 412:35–42

    Article  Google Scholar 

  • Ormsby A, Hodson E, Li Y, Basinger J, Kaminskyj S (2007) Quantitation of endorhizal fungi in high Arctic tundra ecosystems through space and time: the value of herbarium archives. Can J Bot 85:599–606

    Article  Google Scholar 

  • Parfitt RL (1979) Availability of P from phosphate-goethite bridging complexes—desorption and uptake by ryegrass. Plant Soil 53:55–65

    CAS  Article  Google Scholar 

  • Parfitt RL, Hart PBS, Meyrick KF, Russell M (1982) Response of ryegrass and white clover to phosphorus on an allophanic soil, egmont black loam. New Zeal J Agr Res 25:549–555

    Article  Google Scholar 

  • Parke JL, Linderman RG, Trappe JM (1983) Effect of root zone temperature on ectomycorrhiza and vesicular arbuscular mycorrhiza formation in disturbed and undisturbed forest soils of southwest Oregon. Can J For Res 13:657–665

    Article  Google Scholar 

  • Parmar A, Mall TP, Singh RB (2013) Natural population dynamics and morphological characters of mycorrhizal fungi in rhizosphere of wheat (Triticum aestivum L.) Res Environ Life Sci 6:65–68

    Google Scholar 

  • Pinheiro J, Bates D, DebRoy S, Sarkar D, R Core Team (2014) nlme: linear and nonlinear mixed effects models. R package version 3.1-117. URL http://CRAN.R-project.org/package=nlme

  • Plenchette C, Strullu DG (2003) Long-term viability and infectivity of intraradical forms of Glomus intraradices vesicles encapsulated in alginate beads. Mycol Res 107:614–616

    PubMed  Article  Google Scholar 

  • Postma JWM, Olsson PA, Falkengren-Grerup U (2007) Root colonisation by arbuscular mycorrhizal, fine endophytic and dark septate fungi across a pH gradient in acid beech forests. Soil Biol Biochem 39:400–408

    CAS  Article  Google Scholar 

  • Powell C (1976) Mycorrhizal fungi stimulate clover growth in New Zealand hill country soils. Nature 264:436–438

    Article  Google Scholar 

  • Powell C (1979a) Inoculation of white clover and ryegrass seed with mycorrhizal fungi. New Phytol 83:81–85

    Article  Google Scholar 

  • Powell CL (1979b) Spread of mycorrhizal fungi through soil. New Zeal J Agr Res 22:335–339

    Article  Google Scholar 

  • Powell CL (1980) Phosphate response curves of mycorrhizal and non-mycorrhizal plants. 1. Responses to super-phosphate. New Zeal J Agr Res 23:225–231

    CAS  Article  Google Scholar 

  • Powell CL, Daniel J (1978) Mycorrhizal fungi stimulate uptake of soluble and insoluble phosphate fertilizer from a phosphate-deficient soil. New Phytol 80:351–358

    CAS  Article  Google Scholar 

  • Powell CL, Groters M, Metcalfe D (1980) Mycorrhizal inoculation of a barley crop in the field. New Zeal J Agr Res 23:107–109

    Article  Google Scholar 

  • R Core Team (2014) R: a language and environment for statistical computing. R Foundation for Statistical Computing, Vienna URL http://www.R-project.org/

  • Rabatin SC (1979) Seasonal and edaphic variation in vesicular-arbuscular mycorrhizal infection of grasses by Glomus tenuis. New Phytol 83:95–102

    Article  Google Scholar 

  • Rabatin SC (1980) The occurrence of the vesicular-arbuscular mycorrhizal fungus Glomus tenuis with moss. Mycologia 72:191–195

    Article  Google Scholar 

  • Rabatin SC, Stinner BR, Paoletti MG (1993) Vesicular-arbuscular mycorrhizal fungi, particularly Glomus tenue, in Venezuelan bromeliad epiphytes. Mycorrhiza 4:17–20

    Article  Google Scholar 

  • Read DJ, Haselwandter K (1981) Observations of the mycorrhizal status of some alpine plant communities. New Phytol 88:341–352

    Article  Google Scholar 

  • Rillig MC, Field CB (2003) Arbuscular mycorrhizae respond to plants exposed to elevated atmospheric CO2 as a function of soil depth. Plant Soil 254:383–391

    CAS  Article  Google Scholar 

  • Rillig MC, Field CB, Allen MF (1999) Fungal root colonization responses in natural grasslands after long-term exposure to elevated atmospheric CO2. Glob Change Biol 5:577–585

    Article  Google Scholar 

  • Rosendahl S, Rosendahl CN, Sochting U (1990) Distribution of VA mycorrhizal endophytes amongst plants from a Danish grassland community. Agric Ecosyst Environ 29:329–335

    Article  Google Scholar 

  • Ruotsalainen AL, Vare H, Oksanen J, Tuomi J (2004) Root fungus colonization along an altitudinal gradient in North Norway. Arct Antarct Alp Res 36:239–243

    Article  Google Scholar 

  • Ryan MH, Kirkegaard JA (2012) The agronomic relevance of arbuscular mycorrhizas in the fertility of Australian extensive cropping systems. Agric Ecosyst Environ 163:37–53

    Article  Google Scholar 

  • Ryszka P, Blaszkowski J, Jurkiewicz A, Turnau K (2010) Arbuscular mycorrhiza of Arnica montana under field conditions—conventional and molecular studies. Mycorrhiza 20:551–557

    CAS  PubMed  Article  Google Scholar 

  • Sainz MJ, Vilarino A, Arines J (1990) Competition between Glomus tenue and some coarse fungi for colonizing red clover roots in acid soils. Agric Ecosyst Environ 29:337–340

    Article  Google Scholar 

  • Sanginga N, Carsky RJ, Dashiell K (1999) Arbuscular mycorrhizal fungi respond to rhizobial inoculation and cropping systems in farmers’ fields in the Guinea savanna. Biol Fert Soils 30:179–186

    Article  Google Scholar 

  • Sannazzaro AI, Ruiz OA, Alberto E, Menendez AB (2004) Presence of different arbuscular mycorrhizal infection patterns in roots of Lotus glaber plants growing in the Salado River basin. Mycorrhiza 14:139–142

    PubMed  Article  Google Scholar 

  • Schenck NC, Smith GS (1982) Additional new and unreported species of mycorrhizal fungus (Endogonaceae) from Florida. Mycologia 74:77–92

    Article  Google Scholar 

  • Schmidt SK, Sobieniak-Wiseman LC, Kageyama SA, Halloy SRP, Schadt CW (2008) Mycorrhizal and dark-septate fungi in plant roots above 4270 meters elevation in the Andes and Rocky Mountains. Arct Antarct Alp Res 40:576–583

    Article  Google Scholar 

  • Schrader R (1958) Untersuchungen zur Biologie der Getreide-Thysanopteren. Arch Mikrobiol 32:81–114

    CAS  PubMed  Article  Google Scholar 

  • Schüβler A, Schwarzott D, Walker C (2001) A new fungal phylum, the Glomeromycota: phylogeny and evolution. Mycol Res 105:1413–1421

    Article  Google Scholar 

  • Sigüenza C, Corkidi L, Allen E (2006a) Feedbacks of soil inoculum of mycorrhizal fungi altered by N deposition on the growth of a native shrub and an invasive annual grass. Plant Soil 286:153–165

    Article  CAS  Google Scholar 

  • Sigüenza C, Crowley DE, Allen EB (2006b) Soil microorganisms of a native shrub and exotic grasses along a nitrogen deposition gradient in southern California. Appl Soil Ecol 32:13–26

    Article  Google Scholar 

  • Smilauerova M, Lokvencova M, Smilauer P (2012) Fertilization and forb:graminoid ratio affect arbuscular mycorrhiza in seedlings but not adult plants of Plantago lanceolata. Plant Soil 351:309–324

    CAS  Article  Google Scholar 

  • Smith SE, Read DJ (2008) Mycorrhizal symbiosis, 3rd edn. Elsevier, Burlington

    Google Scholar 

  • Smith SE, Manjarrez M, Stonor R, McNeill A, Smith FA (2015) Indigenous arbuscular mycorrhizal (AM) fungi contribute to wheat phosphate uptake in a semi-arid field environment, shown by tracking with radioactive phosphorus. Appl Soil Ecol 96:68–74

    Article  Google Scholar 

  • Sparling GP, Tinker PB (1978) Mycorrhizal infection in Pennine grassland. I. Levels of infection in the field. J Appl Ecol 15:943–950

    Article  Google Scholar 

  • Spatafora JW, Chang Y, Benny GL, Lazarus K, Smith ME, Berbee ML et al (2016) A phylum-level phylogenetic classification of zygomycete fungi based on genome-scale data. Mycologia 108:1028–1046. doi:10.3852/16-042

    PubMed  Article  Google Scholar 

  • Staddon PL, Gregersen R, Jakobsen I (2004) The response of two Glomus mycorrhizal fungi and a fine endophyte to elevated atmospheric CO2, soil warming and drought. Glob Change Biol 10:1909–1921

    Article  Google Scholar 

  • Tanner CC, Clayton JS (1985) Effects of vesicular arbuscular mycorrhizas on growth and nutrition of a submerged aquatic plant. Aquat Bot 22:377–386

    Article  Google Scholar 

  • Thippayarugs S, Bansal M, Abbott LK (1999) Morphology and infectivity of fine endophyte in a Mediterranean environment. Mycol Res 103:1369–1379

    Article  Google Scholar 

  • Thomson BD, Robson A, Abbott L (1992) The effect of long-term applications of phosphorus fertilizer on populations of vesicular-arbuscular mycorrhizal fungi in pastures. Aust J Agric Res 43:1131–1142

    CAS  Article  Google Scholar 

  • Trappe JM (1982) Synoptic keys to the genera and species of zygomycetous mycorrhizal fungi. Phytopathology 72:1102–1108

    Google Scholar 

  • Turnau K, Mesjasz-Przybylowicz J (2003) Arbuscular mycorrhiza of Berkheya coddii and other Ni-hyperaccumulating members of Asteraceae from ultramafic soils in South Africa. Mycorrhiza 13:185–190

    PubMed  Article  Google Scholar 

  • Turnau K, Ronikier M, Unrug J (1999) Role of mycorrhizal links between plants in establishment of liverworts thalli in natural habitats. Acta Soc Bot Pol 68:63–68

    Article  Google Scholar 

  • Turnau K, Anielska T, Jurkiewicz A (2005) Mycothallic/mycorrhizal symbiosis of chlorophyllous gametophytes and sporophytes of a fern, Pellaea viridis (Forsk.) Prantl (Pellaeaceae, Pteridales). Mycorrhiza 15:121–128

    CAS  PubMed  Article  Google Scholar 

  • Turnau K, Przybylowicz WJ, Ryszka P, Orlowska E, Anielska T, Mesjasz-Przybylowicz J (2013) Mycorrhizal fungi modify element distribution in gametophytes and sporophytes of a fern Pellaea viridis from metaliferous soils. Chemosphere 92:1267–1273

    CAS  PubMed  Article  Google Scholar 

  • Upson R, Newsham KK, Read DJ (2008) Root-fungal associations of Colobanthus quitensis and Deschampsia antarctica in the maritime and subantarctic. Arct Antarct Alp Res 40:592–599

    Article  Google Scholar 

  • Visser S, Maynard D, Danielson RM (1998) Response of ecto- and arbuscular mycorrhizal fungi to clear-cutting and the application of chipped aspen wood in a mixed wood site in Alberta, Canada. Appl Soil Ecol 7:257–269

    Article  Google Scholar 

  • Walker X, Basinger J, Kaminskyj S (2010) Endorhizal fungi in Ranunculus from Western and Arctic Canada: predominance of fine endophytes at high latitudes. Open Mycol 4:1–9

    Article  Google Scholar 

  • Wang GM, Stribley DP, Tinker PB, Walker C (1993) Effects of pH on arbuscular mycorrhiza. I. Field observations on the long-term liming experiments at Rothamsted and Woburn. New Phytol 124:465–472

    CAS  Article  Google Scholar 

  • Williams PG (1985) Orchidaceous rhizoctonias in pot cultures of vesicular arbuscular mycorrhizal fungi. Can J Bot 63:1329–1333

    Article  Google Scholar 

  • Wilson JM (1984) Comparative development of infection by three vesicular-arbuscular mycorrhizal fungi. New Phytol 97:413–426

    Article  Google Scholar 

  • Wilson JM, Trinick MJ (1983a) Infection development and interactions between vesicular-arbuscular mycorrhizal fungi. New Phytol 93:543–553

    Article  Google Scholar 

  • Wilson JM, Trinick MJ (1983b) Factors affecting the estimation of numbers of infective propagules of vesicular arbuscular mycorrhizal fungi by the most probable number method. Aust J Soil Res 21:73–81

    Article  Google Scholar 

  • Zubek S, Blaszkowski J, Delimat A, Turnau K (2009) Arbuscular mycorrhizal and dark septate endophyte colonization along altitudinal gradients in the Tatra Mountains. Arct Antarct Alp Res 41:272–279

    Article  Google Scholar 

  • Zubek S, Nobis M, Blaszkowski J, Mleczko P, Nowak A (2011) Fungal root endophyte associations of plants endemic to the Pamir Alay Mountains of Central Asia. Symbiosis 54:139–149

    PubMed  PubMed Central  Article  Google Scholar 

  • Zubek S, Blaszkowski J, Buchwald W (2012) Fungal root endophyte associations of medicinal plants. Nova Hedwigia 94:525–540

    Article  Google Scholar 

Download references

Acknowledgements

This research formed part of a project funded by an Australian Government Postgraduate Award, a Meat and Livestock Australia Postgraduate Scholarship and a Henry Schapper Postgraduate Research Scholarship to SO, and we gratefully acknowledge this funding. MHR was funded by ARC Future Fellowship FT140100103.

Author information

Affiliations

Authors

Corresponding author

Correspondence to Suzanne Orchard.

Rights and permissions

Reprints and Permissions

About this article

Verify currency and authenticity via CrossMark

Cite this article

Orchard, S., Standish, R.J., Dickie, I.A. et al. Fine root endophytes under scrutiny: a review of the literature on arbuscule-producing fungi recently suggested to belong to the Mucoromycotina. Mycorrhiza 27, 619–638 (2017). https://doi.org/10.1007/s00572-017-0782-z

Download citation

  • Received:

  • Accepted:

  • Published:

  • Issue Date:

  • DOI: https://doi.org/10.1007/s00572-017-0782-z

Keywords

  • Arbuscular mycorrhizal fungi
  • Fine endophyte
  • Glomus tenue
  • Glomus tenuis
  • Mucoromycotina
  • Rhizophagus tenuis