Skip to main content

Continuous quadratus lumborum block and femoral nerve block for total hip arthroplasty: a randomized study

Abstract

Background

Continuous femoral nerve block (FNB) has been effectively used after total hip arthroplasty (THA). Recently the anterior approach to quadratus lumborum block (QLB) has been shown to produce postoperative pain relief after THA. Continuous QLB would benefit from a catheter insertion site that is farther away from the surgical site compared with continuous FNB. In this randomized controlled study, we compared analgesic effects of the two techniques in patients undergoing THA.

Methods

Thirty patients undergoing THA were randomly allocated into two groups receiving continuous QLB and FNB. Under ultrasound guidance, QLB and FNB were conducted before general anesthesia using 0.25% levobupivacaine 30 ml and 0.5% levobupivacaine 15 ml, respectively, and a catheter was introduced. Postoperatively, all patients received continuous infusion of 0.125% levobupivacaine at 4 ml/h. Postoperative measurements included visual analog scale (VAS) pain scores at rest and on movement, postoperative analgesic demands, cutaneous sensory blockade and adverse events for 48 h.

Results

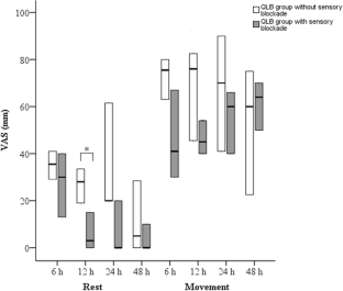
Six patients were excluded and 24 patients (13 and 11 patients in QLB group and FNB, respectively) were analyzed. VAS scores on movement at 6 h [median (IQR): 67 (41–80) and 38 (22–41) in QLB and FNB groups, respectively, p = 0.008] and 24 h [60 (40–80) and 39 (28–64) in QLB and FNB groups, respectively, p = 0.018] were lower with FNB than with QLB. QLB did not produce consistent cutaneous sensory blockade.

Conclusions

Analgesic effects of continuous QLB were inferior to those of continuous FNB in patients undergoing THA under the current study condition.

This is a preview of subscription content, access via your institution.

Fig. 1
Fig. 2
Fig. 3
Fig. 4

References

  1. Siddiqui ZI, Cepeda MS, Denman W, Schumann R, Carr DB. Continuous lumbar plexus block provides improved analgesia with fewer side effects compared with systemic opioids after hip arthroplasty: a randomized controlled trial. Reg Anesth Pain Med. 2007;32:393–8.

    PubMed  Google Scholar 

  2. Johnson RL, Amundson AW, Abdel MP, Sviggum HP, Mabry TM, Mantilla CB, Schroeder DR, Pagnano MW, Kopp SL. Continuous posterior lumbar plexus nerve block versus periarticular injection with ropivacaine or liposomal bupivacaine for total hip arthroplasty: a three-arm randomized clinical trial. J Bone Jt Surg. 2017;99:1836–45.

    Article  Google Scholar 

  3. Singelyn FJ, Ferrant T, Malisse MF, Joris D. Effects of intravenous patient-controlled analgesia with morphine, continuous epidural analgesia, and continuous femoral nerve sheath block on rehabilitation after unilateral total-hip arthroplasty. Reg Anesth Pain Med. 2005;30:452–7.

    CAS  Article  Google Scholar 

  4. Tetsunaga T, Sato T, Shiota N, Tetsunaga T, Yoshida M, Okazaki Y, Yamada K. Comparison of continuous epidural analgesia, patient-controlled analgesia with morphine, and continuous three-in-one femoral nerve block on postoperative outcomes after total hip arthroplasty. Clin Orthop Surg. 2015;7:164–70.

    Article  Google Scholar 

  5. Arsoy D, Huddleston JI 3rd, Amanatullah DF, Giori NJ, Maloney WJ, Goodman SB. Femoral nerve catheters improve home disposition and pain in hip fracture patients treated with total hip arthroplasty. J Arthroplast. 2017;32:3434–7.

    Article  Google Scholar 

  6. Joshi G, Gandhi K, Shah N, Gadsden J, Corman SL. Peripheral nerve blocks in the management of postoperative pain: challenges and opportunities. J Clin Anesth. 2016;35:524–9.

    CAS  Article  Google Scholar 

  7. Nogawa R, Maruyama T, Kimoto Y, Yamazaki A, Kawamata T. Comparison of catheter-over-needle and catheter-through-needle on leakage from the catheter insertion site during continuous femoral nerve block. J Anesth. 2018;32:439–42.

    Article  Google Scholar 

  8. Marhofer D, Marhofer P, Triffterer L, Leonhardt M, Weber M, Zeitlinger M. Dislocation rates of perineural catheters: a volunteer study. Br J Anaesth. 2013;111:800–6.

    CAS  Article  Google Scholar 

  9. Horlocker TT, Vandermeuelen E, Kopp SL, Gogarten W, Leffert LR, Benzon HT. Regional anesthesia in the patient receiving antithrombotic or thrombolytic therapy. Reg Anesth Pain Med. 2018;43:263–309.

    Article  Google Scholar 

  10. Blanco R, Ansari T, Girgis E. Quadratus lumborum block for postoperative pain after caesarean section: a randomised controlled trial. Eur J Anaesthesiol. 2015;32:812–8.

    Article  Google Scholar 

  11. Elsharkawy H, El-Boghdadly K, Barrington M. Quadratus lumborum block anatomical concepts, mechanisms, and techniques. Anesthesiology. 2019;130:322–35.

    Article  Google Scholar 

  12. Blanco R, Ansari T, Riad W, Shetty N. Quadratus lumborum block versus transversus abdominis plane block for postoperative pain after cesarean delivery. Reg Anesth Pain Med. 2016;41:757–62.

    CAS  Article  Google Scholar 

  13. Krohg A, Ullensvang K, Rosseland LA, Langesæter E, Sauter AR. The analgesic effect of ultrasound-guided quadratus lumborum block after cesarean delivery: a randomized clinical trial. Anesth Analg. 2018;126:559–65.

    Article  Google Scholar 

  14. Mieszkowski MM, Mayzner-Zawadzka E, Tuyakov B, Mieszkowska M, Zukowski M, Waśniewski T, Onichimowski D. Evaluation of the effectiveness of the quadratus lumborum block type I using ropivacaine in postoperative analgesia after a cesarean section—a controlled clinical study. Ginekol Pol. 2018;89:89–96.

    Article  Google Scholar 

  15. Ishio J, Komasawa N, Kido H, Minami T. Evaluation of ultrasound-guided posterior quadratus lumborum block for postoperative analgesia after laparoscopic gynecologic surgery. J Clin Anesth. 2017;41:1–4.

    Article  Google Scholar 

  16. Öksüz G, Bilal B, Gürkan Y, Urfalioǧlu A, Arslan M, Gişi G, Öksüz H. Quadratus lumborum block versus transversus abdominis plane block in children undergoing low abdominal surgery: a randomized controlled trial. Reg Anesth Pain Med. 2017;42:674–9.

    Article  Google Scholar 

  17. Ueshima H, Yoshiyama S, Otake H. The ultrasound-guided continuous transmuscular quadratus lumborum block is an effective analgesia for total hip arthroplasty. J Clin Anesth. 2016;31:35.

    Article  Google Scholar 

  18. Johnston DF, Sondekoppam RV. Continuous quadratus lumborum block analgesia for total hip arthroplasty revision. J Clin Anesth. 2016;35:235–7.

    Article  Google Scholar 

  19. Bak H, Bang S, Yoo S, Kim S, Lee SY. Continuous quadratus lumborum block as part of multimodal analgesia after total hip arthroplasty: a case report. Korean J Anesthesiol. 2019. https://doi.org/10.4097/kja.d.19.00016.

    Article  PubMed  PubMed Central  Google Scholar 

  20. Carline L, McLeod GA, Lamb C. A cadaver study comparing spread of dye and nerve involvement after three different quadratus lumborum blocks. Br J Anaesth. 2016;117:387–94.

    CAS  Article  Google Scholar 

  21. Adhikary SD, El-Boghdadly K, Nasralah Z, Sarwani N, Nixon AM, Chin KJ. A radiologic and anatomic assessment of injectate spread following transmuscular quadratus lumborum block in cadavers. Anaesthesia. 2017;72:73–9.

    CAS  Article  Google Scholar 

  22. Stuart Green M, Ryan Hoffman C, Iqbal U, Olabisi Ives O, Hurd B. Transmuscular quadratus lumborum block reduces length of stay in patients receiving total hip arthroplasty. Anesth Pain Med. 2018;8:e80233.

    Article  Google Scholar 

  23. Adhikary SD, Short AJ, El-Boghdadly K, Abdelmalak MJ, Chin KJ. Transmuscular quadratus lumborum versus lumbar plexus block for total hip arthroplasty: a retrospective propensity score matched cohort study. J Anaesthesiol Clin Pharmacol. 2018;34:372–8.

    CAS  PubMed  PubMed Central  Google Scholar 

  24. Sondekoppam RV, Ip V, Johnston DF, Uppal V, Johnson M, Ganapathy S, Tsui BCH. Ultrasound-guided lateral-medial transmuscular quadratus lumborum block for analgesia following anterior iliac crest bone graft harvesting: a clinical and anatomical study. Can J Anesth. 2018;65:178–87.

    Article  Google Scholar 

  25. Dam M, Moriggl B, Hansen CK, Hoermann R, Bendtsen TF, Børglum J. The pathway of injectate spread with the transmuscular quadratus lumborum block: a cadaver study. Anesth Analg. 2017;125:303–12.

    Article  Google Scholar 

  26. Takayama K, Kita T, Nakamura H, Kanematsu F, Yasunami T, Sakanaka H, Yamano Y. New predictive index for lumbar paraspinal muscle degeneration associated with aging. Spine. 2016;41:E84–90.

    Article  Google Scholar 

Download references

Funding

Departmental funding only.

Author information

Affiliations

Authors

Contributions

All authors contributed to the study conception and design. Data collection and analysis were performed by Yuki Aoyama, Shinichi Sakura, Shoko Abe, and Saki Tadenuma. The first draft of the manuscript was written by Yuki Aoyama and Shinichi Sakura, and all authors commented on previous versions of the manuscript. All authors read and approved the final manuscript.

Corresponding author

Correspondence to Shinichi Sakura.

Ethics declarations

Conflict of interest

The authors declare no conflicts of interest.

Additional information

Publisher's Note

Springer Nature remains neutral with regard to jurisdictional claims in published maps and institutional affiliations.

About this article

Verify currency and authenticity via CrossMark

Cite this article

Aoyama, Y., Sakura, S., Abe, S. et al. Continuous quadratus lumborum block and femoral nerve block for total hip arthroplasty: a randomized study. J Anesth 34, 413–420 (2020). https://doi.org/10.1007/s00540-020-02769-9

Download citation

  • Received:

  • Accepted:

  • Published:

  • Issue Date:

  • DOI: https://doi.org/10.1007/s00540-020-02769-9

Keywords

  • Quadratus lumborum block
  • Femoral nerve block
  • Postoperative pain
  • Total hip arthroplasty