Skip to main content

Intrathecal morphine for postoperative pain control following robot-assisted prostatectomy: a prospective randomized trial

Abstract

Purpose

Robot-assisted laparoscopic prostatectomy (RALP) is minimally invasive surgery, but also causes moderate to severe pain during the immediate postoperative period. We evaluated the efficacy and safety of intrathecal morphine (ITM) for postoperative pain control in patients undergoing RALP.

Methods

Thirty patients scheduled for RALP were randomly assigned into one of two groups. In the ITM group (n = 15), postoperative pain was managed using 300 µg intrathecal morphine with intravenous patient-controlled analgesia (IV-PCA). In the IV-PCA group (n = 15), only intravenous patient-controlled analgesia was used. The numerical pain score (NPS; 0 = no pain, 100 = worst pain imaginable), postoperative IV-PCA requirements and opioid-related complications including nausea, vomiting, dizziness, headache and pruritus were compared between the two groups.

Results

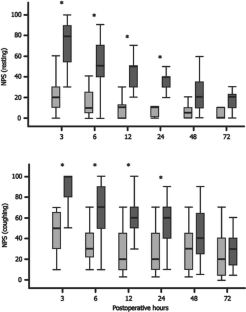
The NPSs on coughing were 20 (IQR 10–50) in the ITM group and 60 (IQR 40–80) in the IV-PCA group at postoperative 24 h (p = 0.001). The NPSs were significantly lower in the ITM group up to postoperative 24 h. The ITM group showed less morphine consumption at postoperative 24 h in the ITM group than in the IV-PCA group [5 (IQR 3–15) mg vs 17 (IQR 11–24) mg, p = 0.001]. Complications associated with morphine were comparable between the two groups and respiratory depression was not reported in either group.

Conclusion

Intrathecal morphine provided more satisfactory analgesia without serious complications during the early postoperative period in patients undergoing RALP.

This is a preview of subscription content, access via your institution.

Fig. 1
Fig. 2
Fig. 3

References

  1. Menon M, Shrivastava A, Tewari A, Sarle R, Hemal A, Peabody JO, Vallancien G. Laparoscopic and robot assisted radical prostatectomy: establishment of a structured program and preliminary analysis of outcomes. J Urol. 2002;168:945–9.

    Article  PubMed  Google Scholar 

  2. Webster TM, Herrell SD, Chang SS, Cookson MS, Baumgartner RG, Anderson LW, Smith JA Jr. Robotic assisted laparoscopic radical prostatectomy versus retropubic radical prostatectomy: a prospective assessment of postoperative pain. J Urol. 2005;174:912–4.

    Article  PubMed  Google Scholar 

  3. Yoo YC, Bai SJ, Lee KY, Shin S, Choi EK, Lee JW. Total intravenous anesthesia with propofol reduces postoperative nausea and vomiting in patients undergoing robot-assisted laparoscopic radical prostatectomy: a prospective randomized trial. Yonsei Med J. 2012;53:1197–202.

    CAS  Article  PubMed  PubMed Central  Google Scholar 

  4. Rathmell JP, Lair TR, Nauman B. The role of intrathecal drugs in the treatment of acute pain. Anesth Analg. 2005;101:S30–43.

    Article  PubMed  Google Scholar 

  5. Meylan N, Elia N, Lysakowski C, Tramer MR. Benefit and risk of intrathecal morphine without local anaesthetic in patients undergoing major surgery: meta-analysis of randomized trials. Br J Anaesth. 2009;102:156–67.

    CAS  Article  PubMed  Google Scholar 

  6. Samii K, Chauvin M, Viars P. Postoperative spinal analgesia with morphine. Br J Anaesth. 1981;53:817–20.

    CAS  Article  PubMed  Google Scholar 

  7. Gwirtz KH, Young JV, Byers RS, Alley C, Levin K, Walker SG, Stoelting RK. The safety and efficacy of intrathecal opioid analgesia for acute postoperative pain: seven years’ experience with 5969 surgical patients at Indiana University Hospital. Anesth Analg. 1999;88:599–604.

    CAS  PubMed  Google Scholar 

  8. Eandi JA, de Vere White RW, Tunuguntla HS, Bohringer CH, Evans CP. Can single dose preoperative intrathecal morphine sulfate provide cost-effective postoperative analgesia and patient satisfaction during radical prostatectomy in the current era of cost containment? Prostate Cancer Prostatic Dis. 2002;5:226–30.

    CAS  Article  PubMed  Google Scholar 

  9. Mayson KV, Gofton EA, Chambers KG. Premedication with low dose oral clonidine does not enhance postoperative analgesia of intrathecal morphine. Can J Anaesth. 2000;47:752–7.

    CAS  Article  PubMed  Google Scholar 

  10. Andrieu G, Roth B, Ousmane L, Castaner M, Petillot P, Vallet B, Villers A, Lebuffe G. The efficacy of intrathecal morphine with or without clonidine for postoperative analgesia after radical prostatectomy. Anesth Analg. 2009;108:1954–7.

    CAS  Article  PubMed  Google Scholar 

  11. Duman A, Apiliogullari S, Balasar M, Gurbuz R, Karcioglu M. Comparison of 50 microg and 25 microg doses of intrathecal morphine on postoperative analgesic requirements in patients undergoing transurethral resection of the prostate with intrathecal anesthesia. J Clin Anesth. 2010;22:329–33.

    CAS  Article  PubMed  Google Scholar 

  12. Sakai T, Use T, Shimamoto H, Fukano T, Sumikawa K. Mini-dose (0.05 mg) intrathecal morphine provides effective analgesia after transurethral resection of the prostate. Can J Anaesth. 2003;50:1027–30.

    Article  PubMed  Google Scholar 

  13. Ko JS, Choi SJ, Gwak MS, Kim GS, Ahn HJ, Kim JA, Hahm TS, Cho HS, Kim KM, Joh JW. Intrathecal morphine combined with intravenous patient-controlled analgesia is an effective and safe method for immediate postoperative pain control in live liver donors. Liver Transplant. 2009;15:381–9.

    Article  Google Scholar 

  14. Menon M, Shrivastava A, Kaul S, Badani KK, Fumo M, Bhandari M, Peabody JO. Vattikuti Institute prostatectomy: contemporary technique and analysis of results. Eur Urol. 2007;51:648–57.

    Article  PubMed  Google Scholar 

  15. Lepor H, Nieder AM, Fraiman MC. Early removal of urinary catheter after radical retropubic prostatectomy is both feasible and desirable. Urology. 2001;58:425–9.

    CAS  Article  PubMed  Google Scholar 

  16. Faul F, Erdfelder E, Lang AG, Buchner A. G*Power 3: a flexible statistical power analysis program for the social, behavioral, and biomedical sciences. Behav Res Methods. 2007;39:175–91.

    Article  PubMed  Google Scholar 

  17. Kong SK, Onsiong SM, Chiu WK, Li MK. Use of intrathecal morphine for postoperative pain relief after elective laparoscopic colorectal surgery. Anaesthesia. 2002;57:1168–73.

    Article  PubMed  Google Scholar 

  18. Goh YC, Eu KW, Seow-Choen F. Early postoperative results of a prospective series of laparoscopic vs. open anterior resections for rectosigmoid cancers. Dis Colon Rectum. 1997;40:776–80.

    CAS  Article  PubMed  Google Scholar 

  19. Wongyingsinn M, Baldini G, Stein B, Charlebois P, Liberman S, Carli F. Spinal analgesia for laparoscopic colonic resection using an enhanced recovery after surgery programme: better analgesia, but no benefits on postoperative recovery: a randomized controlled trial. Br J Anaesth. 2012;108:850–6.

    CAS  Article  PubMed  Google Scholar 

  20. Clergue F, Montembault C, Despierres O, Ghesquiere F, Harari A, Viars P. Respiratory effects of intrathecal morphine after upper abdominal surgery. Anesthesiology. 1984;61:677–85.

    CAS  Article  PubMed  Google Scholar 

  21. Davies GK, Tolhurst-Cleaver CL, James TL. Respiratory depression after intrathecal narcotics. Anaesthesia. 1980;35:1080–3.

    CAS  Article  PubMed  Google Scholar 

  22. Gjessing J, Tomlin PJ. Postoperative pain control with intrathecal morphine. Anaesthesia. 1981;36:268–76.

    CAS  Article  PubMed  Google Scholar 

  23. Jones RD, Jones JG. Intrathecal morphine: naloxone reverses respiratory depression but not analgesia. Br Med J. 1980;281:645–6.

    CAS  Article  PubMed  PubMed Central  Google Scholar 

  24. Odoom JA, Sih IL. Respiratory depression after intrathecal morphine. Anesth Analg. 1982;61:70.

    CAS  Article  PubMed  Google Scholar 

  25. Abboud TK. Mini-dose intrathecal morphine for analgesia following cesarean section. Anesthesiology. 1988;69:805.

    CAS  Article  PubMed  Google Scholar 

  26. Abouleish E, Rawal N, Fallon K, Hernandez D. Combined intrathecal morphine and bupivacaine for cesarean section. Anesth Analg. 1988;67:370–4.

    CAS  Article  PubMed  Google Scholar 

  27. Chadwick HS, Ready LB. Intrathecal and epidural morphine sulfate for post-cesarean analgesia—a clinical comparison. Anesthesiology. 1988;68:925–9.

    CAS  Article  PubMed  Google Scholar 

  28. Downing R, Davis I, Black J, Windsor CW. Effect of intrathecal morphine on the adrenocortical and hyperglycaemic responses to upper abdominal surgery. Br J Anaesth. 1986;58:858–61.

    CAS  Article  PubMed  Google Scholar 

  29. Kirson LE, Goldman JM, Slover RB. Low-dose intrathecal morphine for postoperative pain control in patients undergoing transurethral resection of the prostate. Anesthesiology. 1989;71:192–5.

    CAS  Article  PubMed  Google Scholar 

  30. Nordberg G, Hedner T, Mellstrand T, Dahlstrom B. Pharmacokinetic aspects of intrathecal morphine analgesia. Anesthesiology. 1984;60:448–54.

    CAS  Article  PubMed  Google Scholar 

  31. Kyriakides K, Hussain SK, Hobbs GJ. Management of opioid-induced pruritus: a role for 5-HT3 antagonists? Br J Anaesth. 1999;82:439–41.

    CAS  Article  PubMed  Google Scholar 

  32. Yeh HM, Chen LK, Lin CJ, Chan WH, Chen YP, Lin CS, Sun WZ, Wang MJ, Tsai SK. Prophylactic intravenous ondansetron reduces the incidence of intrathecal morphine-induced pruritus in patients undergoing cesarean delivery. Anesth Analg. 2000;91:172–5.

    CAS  PubMed  Google Scholar 

  33. Borgeat A, Stirnemann HR. Ondansetron is effective to treat spinal or epidural morphine-induced pruritus. Anesthesiology. 1999;90:432–6.

    CAS  Article  PubMed  Google Scholar 

  34. Nguyen M, Vandenbroucke F, Roy JD, Beaulieu D, Seal RF, Lapointe R, Dagenais M, Roy A, Massicotte L. Evaluation of the addition of bupivacaine to intrathecal morphine and fentanyl for postoperative pain management in laparoscopic liver resection. Reg Anesth Pain Med. 2010;35:261–6.

    CAS  Article  PubMed  Google Scholar 

  35. Oh YJ, Lee JR, Choi YS, Koh SO, Na S. Randomized controlled comparison of combined general and epidural anesthesia versus general anesthesia on diaphragmatic function after laparoscopic prostatectomy. Minerva Anestesiol. 2013;79:1371–80.

    CAS  PubMed  Google Scholar 

  36. Trabulsi EJ, Patel J, Viscusi ER, Gomella LG, Lallas CD. Preemptive multimodal pain regimen reduces opioid analgesia for patients undergoing robotic-assisted laparoscopic radical prostatectomy. Urology. 2010;76:1122–4.

    Article  PubMed  Google Scholar 

  37. Berthon N, Plainard X, Cathelineau X, Rozet F, Cathala N, Mombet A, Galiano M, Prapotnich D, Barret E, Vallancien G. Effect of wound infiltration of ropivacaine in postoperative pain after extraperitoneal laparoscopic radical prostatectomy. Prog Urol. 2010;20:435–9.

    CAS  Article  PubMed  Google Scholar 

Download references

Author information

Affiliations

Authors

Corresponding author

Correspondence to Deok Man Hong.

Ethics declarations

Conflict of interest

No external funding and no competing interests declared.

Electronic supplementary material

Below is the link to the electronic supplementary material.

Supplementary material 1 (DOC 219 kb)

About this article

Verify currency and authenticity via CrossMark

Cite this article

Bae, J., Kim, HC. & Hong, D.M. Intrathecal morphine for postoperative pain control following robot-assisted prostatectomy: a prospective randomized trial. J Anesth 31, 565–571 (2017). https://doi.org/10.1007/s00540-017-2356-9

Download citation

  • Received:

  • Accepted:

  • Published:

  • Issue Date:

  • DOI: https://doi.org/10.1007/s00540-017-2356-9

Keywords

  • Injections
  • Spinal
  • Morphine
  • Prostatectomy
  • Pain
  • Postoperative