Skip to main content

Chemotherapy-induced nausea and vomiting: contemporary approaches to optimal management

Proceedings from a symposium at the 2008 Multinational Association of Supportive Care in Cancer (MASCC) Annual Meeting

Abstract

Introduction

Chemotherapy-induced nausea and vomiting remains a significant problem for cancer patients.

Discussion

Patient factors such as polypharmacy, medication costs, mucositis, and depression may hinder good antiemetic control, while high workloads, poor communication, and underestimation of the problem on the part of healthcare professionals also play a role. Improving outcomes requires accurate assessment of risk factors, use of guidelines, and better adherence to antiemetic regimens.

Conclusion

Extended-release formulations and new delivery systems such as transdermal patches, nasal sprays, and pumps provide a new strategy that may improve patient outcomes.

This is a preview of subscription content, access via your institution.

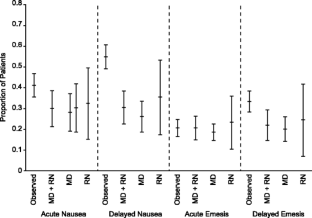
Fig. 1
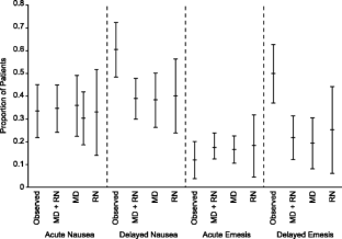
Fig. 2
Fig. 3
Fig. 4
Fig. 5
Fig. 6

References

  1. Aapro MS, Molassiotis A, Olver I (2005) Anticipatory nausea and vomiting. Support Care Cancer 13:117–121

    Article  PubMed  Google Scholar 

  2. Basch E, Iasonos A, Barz A, Culkin A, Kris MG, Artz D, Fearn P, Speakman J, Farquhar R, Scher HI, McCabe M, Schraq D (2007) Long-term toxicity monitoring via electronic patient-reported outcomes in patients receiving chemotherapy. J Clin Oncol 25:5374–5380

    Article  PubMed  Google Scholar 

  3. Briesacher BA, Gurwitz JH, Soumerai SB (2007) Patients at-risk for cost-related medication nonadherence: a review of the literature. Gen Intern Med 22:864–871

    Article  Google Scholar 

  4. Butow PN, Dunn SM, Tattersall MH, Jones QJ (1995) Computer-based interaction analysis of the cancer consultation. Br J Cancer 71:1115–1121

    CAS  PubMed  Google Scholar 

  5. Cervený P, Bortlik M, Kubena A, Vicek J, Lakatos PL, Lukás M (2007) Nonadherence in inflammatory bowel disease: results of factor analysis. Inflamm Bowel Dis 13:1244–1249

    Article  PubMed  Google Scholar 

  6. Coates A, Abraham S, Kaye SB, Sowerbutts T, Frewin C, Fox RM, Tattersall MH (1983) On the receiving end—patient perception of the side-effects of cancer chemotherapy. Eur J Cancer Clin Oncol 19:203–208

    Article  CAS  PubMed  Google Scholar 

  7. de Boer-Dennert M, de Wit R, Schmitz PI, Djontono J, van Beurden V, Stoter G, Verweij J (1997) Patient perceptions of the side-effects of chemotherapy: the influence of 5HT3 antagonists. Br J Cancer 76:1055–1061

    PubMed  Google Scholar 

  8. DiMatteo MR, Lepper HS, Croghan TW (2000) Depression is a risk factor for noncompliance with medical treatment. Arch Intern Med 160:2101–2107

    Article  CAS  PubMed  Google Scholar 

  9. Dix SP, Cord MK, Howard SJ, Coon JL, Belt RJ, Geller RB (1999) Safety and efficacy of a continuous infusion, patient controlled antiemetic pump to facilitate outpatient administration of high-dose chemotherapy. Bone Marrow Transplant 24:561–566

    Article  CAS  PubMed  Google Scholar 

  10. Einhorn LH, Rapoport B, Koeller J, Grunberg SM, Feyer P, Rittenberg C, Aapro M (2005) Antiemetic therapy for multiple-day chemotherapy and high-dose chemotherapy with stem cell transplant: review and consensus statement. Support Care Cancer 13:112–116

    Article  PubMed  Google Scholar 

  11. Einhorn LH, Brames MJ, Dreicer R, Nichols CR, Cullen MT Jr, Bubalo J (2007) Palonosetron plus dexamethasone for prevention of chemotherapy-induced nausea and vomiting in patients receiving multiple-day cisplatin chemotherapy for germ cell cancer. Support Care Cancer 15:1293–1300

    Article  PubMed  Google Scholar 

  12. Eisenberg P, Figueroa-Vadillo J, Zamora R, Charu V, Hajdenberg J, Cartmell A, Macciocchi A, Grunberg S, 99-04 Palonosetron Study Group (2003) Improved prevention of moderately emetogenic chemotherapy-induced nausea and vomiting with palonosetron, a pharmacologically novel 5-HT3 receptor antagonist. Cancer 98:2473–2482

    Article  CAS  PubMed  Google Scholar 

  13. Gavini E, Hegge AB, Rassu G, Sanna V, Testa C, Pirisino G, Karlsen J, Giunchedi P (2006) Nasal administration of carbamazepine using chitosan microspheres: in vitro/in vivo studies. Int J Pharm 307:9–15

    Article  CAS  PubMed  Google Scholar 

  14. Gill D, Howell J (2008) Pharmacokinetics and bioavailability of transdermal granisetron after a 6-day application of three patch sizes, compared to 2 mg once-daily oral dose of granisetron for 5 days. Abstracts of the 2008 International MASCC/ISOO Symposium held in Houston, Texas, June 26-28, 2008. Abstract 01-006

  15. Gorard DA (2006) Escalating polypharmacy. Q J Med 99:797–800

    CAS  Google Scholar 

  16. Gralla RJ, Itri L, Pisko SE, Squillante AE, Kelsen DP, Braun DW Jr, Bordin LA, Braun TJ, Young CW (1981) Antiemetic efficacy of high-dose metrocloramide: randomized trials with placebo and prochlorperazine in patients with chemotherapy-induced vomiting. N Engl J Med 305:905–909

    CAS  PubMed  Article  Google Scholar 

  17. Gralla RJ, Osoba D, Kris MG, Kirkbride P, Hesketh PJ, Chinnery LW et al (1999) Recommendations for the use of antiemetics: evidence-based, clinical practice guidelines. J Clin Oncol 12:2971–2994

    Google Scholar 

  18. Grunberg SM, Deuson RR, Mavros P, Geling O, Hansen M, Cruciani G et al (2004) Incidence of chemotherapy-induced nausea and emesis after modern antiemetics. Cancer 100:2261–2268

    Article  PubMed  Google Scholar 

  19. Grunberg SM, Gabrial N, Clark G (2007) Phase III trial of transdermal granisetron patch (Sancuso) compared to oral granisetron (OG) for chemotherapy-induced nausea and vomiting (CINV) after multi-day moderately emetogenic (MEC) or highly emetogenic (HEC) chemotherapy. Abstracts of the 2007 International MASCC/ISOO Symposium held in St. Gallen, Switzerland, June 27–30, 2007. Abstract P-18.

  20. Herrstedt J (2004) Risk-benefit of antiemetics in prevention and treatment of chemotherapy-induced nausea and vomiting. Expert Opin Drug Saf 3:231–248

    Article  CAS  PubMed  Google Scholar 

  21. Herrstedt J, Aapro MS, Smuth JF, Del Favero A (1998) Corticosteroids, dopamine antagonists and other drugs. Support Care Cancer 6:204–214

    Article  CAS  PubMed  Google Scholar 

  22. Hesketh PJ, Grunberg SM, Gralla RJ, Warr DG, Roila F, de Wit R, Chawla SP, Carides AD, Ianus J, Elmer ME, Evans JK, Beck K, Reines S, Horgan KJ, Aprepitant Protocol 052 Study Group (2003) The oral neurokinin-1 antagonist aprepitant for the prevention of chemotherapy-induced nausea and vomiting: a multinational, randomized, double-blind, placebo-controlled trial in patients receiving high-dose cisplatin—the Aprepitant Protocol 052 Study. J Clin Oncol 21:4112–4119

    Article  CAS  PubMed  Google Scholar 

  23. Horne R, Graupner L, Frost S, Weinman J, Wright SM, Hankins M (2004) Medicine in a multi-cultural society: the effect of cultural background on beliefs about medications. Soc Sci Med 59:1307–1313

    Article  PubMed  Google Scholar 

  24. Ihbe-Heffinger A, Ehlken B, Bernard R, Berger K, Peschel C, Eichler HG, Deuson R, Thödtmann J, Lordick F (2004) The impact of delayed chemotherapy-induced nausea and vomiting on patients, health resource utilization and costs in German cancer centers. Ann Oncol 15:526–536

    Article  CAS  PubMed  Google Scholar 

  25. Jones E, Koyama T, Ho RH, Kuttesch J, Shankar S, Whitlock JA, Cartwright J, Frangoul H (2007) Safety and efficacy of a continuous infusion, patient-controlled antiemetic pump for children receiving emetogenic chemotherapy. Pediatr Blood Cancer 48:330–332

    Article  PubMed  Google Scholar 

  26. Jordan K, Sippel C, Schmoll H-J (2007) Guidelines for antiemetic treatment of chemotherapy-induced nausea and vomiting: past, present, and future recommendations. Oncologist 12:1143–1150

    Article  CAS  PubMed  Google Scholar 

  27. Kaufman DW, Kelly P, Rosenberg L, Anderson TE, Mitchell AA (2002) Recent patterns of medication use in the ambulatory adult population of the United States: the Slone survey. JAMA 287:337–344

    Article  PubMed  Google Scholar 

  28. Kimbell JS, Segal RA, Asgharian B, Wong BA, Schroeter JD, Southall JP, Dickens CJ, Brace G, Miller FJ (2007) Characterization of deposition from nasal spray devices using a computational fluid dynamics model of the human nasal passages. J Aerosol Med 20:59–74

    Article  PubMed  Google Scholar 

  29. Klocker N, Hanschke W, Toussaint S, Verse T (2001) Scopolamine nasal spray in motion sickness: a randomized, controlled, and crossover study for the comparison of two scopolamine nasal sprays with oral dimenhydrinate and placebo. Eur J Pharm Sci 13:227–232

    Article  CAS  PubMed  Google Scholar 

  30. Liau CT, Chu N-M, Liu H-E, Dueson R, Lien J, Chen J-S (2005) Incidence of chemotherapy-induced nausea and vomiting in Taiwan: physicians’ and nurses’ estimation vs. patients’ reported outcomes. Support Care Cancer 13:277–286

    Article  PubMed  Google Scholar 

  31. Mardby A-C, Akerlind I, Jorgensen T (2007) Beliefs about medicines and self-reported adherence among pharmacy clients. Patient Educ Couns 69:158–164

    PubMed  Google Scholar 

  32. Martin M, Diaz-Rubio E, Sanchez A, Almenarez J, Lopez-Vega M (1990) The natural course of emesis after carboplatin treatment. Acta Oncol 29:593–595

    Article  CAS  PubMed  Google Scholar 

  33. McInnes FJ, O’Mahony B, Lindsay B, Band J, Wilson CG, Hodges LA, Stevens HN (2007) Nasal residence of insulin containing lyophilised nasal insert formulations, using gamma scinitigraphy. Eur J Pharm Sci 31:25–31

    Article  CAS  PubMed  Google Scholar 

  34. Morrow DG, Weiner M, Steinley D, Young J, Murray MD (2007) Patients’ health literacy and experience with instructions influence preferences for heart failure medication instructions. J Aging Health 19:575–593

    Article  PubMed  Google Scholar 

  35. Murphy BA (2007) Clinical and economic consequences of mucositis induced by chemotherapy and/or radiation therapy. J Support Oncol 5:13–21

    PubMed  Google Scholar 

  36. Newman SP, Steed KP, Hardy JG, Wilding IR, Hooper G, Sparrow RA (1994) The distribution of an intranasal insulin formulation in healthy volunteers: effect of different administration techniques. J Pharm Pharmacol 46:657–660

    CAS  PubMed  Google Scholar 

  37. Nolte MJ, Berkery R, Pizzo B, Baltzer L, Grossano D, Lucarelli CD, Kris MG (1998) Assuring the optimal use of serotonin antagonist antiemetics: the process for development and implementation of institutional antiemetic guidelines at Memorial Sloan–Kettering Cancer Center. J Clin Oncol 16:771–778

    CAS  PubMed  Google Scholar 

  38. Anonymous (2007) Oral mucosistis due to cancer treatments. La Revue Prescrire 27:286-288

    Google Scholar 

  39. Osoba D, Zee B, Warr D, Latreille J, Kaizer L, Pater J (1997) Effect of postchemotherapy nausea and vomiting on health-related quality of life. Support Care Cancer 5:307–313

    Article  CAS  PubMed  Google Scholar 

  40. Pagano IS, Gotay CG (2005) Ethnic differential item functioning in the assessment of quality of life in cancer patients. Health Qual Life Outcomes 3:60

    Article  PubMed  Google Scholar 

  41. Penn RD, Kroin JS (1987) Long-term intrathecal baclofen infusion for treatment of spasticity. J Neurosurg 66:181–185

    Article  CAS  PubMed  Google Scholar 

  42. Pirl WF (2004) Evidence report on the occurrence, assessment, and treatment of depression in cancer patients. J Natl Cancer Inst Monographs 32:32–39

    Article  PubMed  Google Scholar 

  43. Pirl WF, Temel JS, Billings A, Dahlin C, Jackson V, Prigerson HG, Greer J, Lynch TJ (2008) Depression after diagnosis of advanced non-small cell lung cancer and survival: a pilot study. Psychosomatics 49:218–224

    Article  PubMed  Google Scholar 

  44. Pollak KI, Arnold RM, Jeffreys AS, Alexander SC, Olsen MK, Abernethy AP, Sugg Skinner C, Rodriguez KL, Tulsky JA (2007) Oncologist communication about emotion during visits with patients with advanced cancer. J Clin Oncol 25:5748–5752

    Article  PubMed  Google Scholar 

  45. Repetto L (2003) Greater risks of chemotherapy toxicity in elderly patients with cancer. J Support Oncol 1(suppl 2):18–24

    PubMed  Google Scholar 

  46. Schwartzberg LS (2007) Chemotherapy-induced nausea and vomiting: which antiemetic for which therapy? Oncology 21:946–953

    PubMed  Google Scholar 

  47. Shih Y-CT XuY, Elting LS (2007) Costs of uncontrolled chemotherapy-induced nausea and vomiting among working-age cancer patients receiving highly or moderately emetogenic chemotherapy. Cancer 110:678–685

    Article  Google Scholar 

  48. Taylor JA, Winter L, Geyer LJ, Hawkins DS (2006) Oral outpatient chemotherapy medication errors in children with acute lymphoblastic leukemia. Cancer 107:1400–1406

    Article  PubMed  Google Scholar 

  49. Valle AE, Wisniewski T, Isabel J, Vadillo F, Burke TA, Martinez Corona M (2006) Incidence of chemotherapy-induced nausea and vomiting in Mexico: healthcare provider predictions versus observed. Curr Med Res Opin 22:2403–2410

    Article  Google Scholar 

  50. Wengstrom Y, Haggmark C (1998) Assessing nursing problems of importance for the development of nursing care in a radiation therapy department. Cancer Nurs 21:50–56

    Article  CAS  PubMed  Google Scholar 

  51. White PF, Tang J, Song D, Coleman JE, Wender RH, Oqunnaiike B, Sloninsky A, Kapu R, Shah M, Webb T (2007) Transdermal scopolamine: an alternative to ondansetron and droperidol for the prevention of postoperative and postdischarge emetic symptoms. Anesth Analg 104:92–96

    Article  CAS  PubMed  Google Scholar 

  52. Wilkosz MF, Bogner RH (2003) Transdermal drug delivery. Part 1: current status. US Pharamcist 28:04 http://www.uspharmacist.com/index.asp?show=article&page=8_1061.htm. Accessed October 14, 2008

    Google Scholar 

  53. Winkeljohn DL (2007) Oral chemotherapy medications: the need for a nurse’s touch. Clin J Oncol Nurs 11:793–796

    Article  PubMed  Google Scholar 

  54. Woo JS (2006) Nasal absorption studies of granisetron in rats using a validated high-performance liquid chromatographic method with mass spectrometric detection. Arch Pharm Res 30:778–784

    Article  Google Scholar 

  55. Zaki NM, Mortada ND, Awad GAS, Abd ElHady SS (2006) Rapid-onset intranasal delivery of metoclopramide hydrochloride part II: safety of various absorption enhancers and pharmacokinetic evaluation. Int J Pharm 327:97–103

    Article  CAS  PubMed  Google Scholar 

  56. Zarowitz BJ (2007) Fixed-dose combinations for improving medication adherence in assisted living environments. Geriatr Nurs 28:341–345

    Article  PubMed  Google Scholar 

Download references

Acknowledgment

Financial support for this supplement was provided by ProStrakan.

Author information

Affiliations

Authors

Corresponding author

Correspondence to Steven Grunberg.

Electronic supplementary material

Below is the link to the electronic supplementary material.

ESM 1

MONOGRAPH/NEWSLETTER REQUIREMENTS (PDF 369 kb)

ESM 2

MASCC evaluation (DOC 41 kb)

ESM 3

MASCC post test (DOC 36 kb)

Rights and permissions

Reprints and Permissions

About this article

Cite this article

Grunberg, S., Clark-Snow, R.A. & Koeller, J. Chemotherapy-induced nausea and vomiting: contemporary approaches to optimal management. Support Care Cancer 18, 1–10 (2010). https://doi.org/10.1007/s00520-009-0807-z

Download citation

  • Received:

  • Accepted:

  • Published:

  • Issue Date:

  • DOI: https://doi.org/10.1007/s00520-009-0807-z

Keywords

  • Chemotherapy-induced nausea and vomiting
  • Cisplatin-based therapy
  • Selective 5-hydroxytrytamine 3
  • Neurokinin-1 inhibitor