Skip to main content

Five years of phenological monitoring in a mountain grassland: inter-annual patterns and evaluation of the sampling protocol

Abstract

The increasingly important effect of climate change and extremes on alpine phenology highlights the need to establish accurate monitoring methods to track inter-annual variation (IAV) and long-term trends in plant phenology. We evaluated four different indices of phenological development (two for plant productivity, i.e., green biomass and leaf area index; two for plant greenness, i.e., greenness from visual inspection and from digital images) from a 5-year monitoring of ecosystem phenology, here defined as the seasonal development of the grassland canopy, in a subalpine grassland site (NW Alps). Our aim was to establish an effective observation strategy that enables the detection of shifts in grassland phenology in response to climate trends and meteorological extremes. The seasonal development of the vegetation at this site appears strongly controlled by snowmelt mostly in its first stages and to a lesser extent in the overall development trajectory. All indices were able to detect an anomalous beginning of the growing season in 2011 due to an exceptionally early snowmelt, whereas only some of them revealed a later beginning of the growing season in 2013 due to a late snowmelt. A method is developed to derive the number of samples that maximise the trade-off between sampling effort and accuracy in IAV detection in the context of long-term phenology monitoring programmes. Results show that spring phenology requires a smaller number of samples than autumn phenology to track a given target of IAV. Additionally, productivity indices (leaf area index and green biomass) have a higher sampling requirement than greenness derived from visual estimation and from the analysis of digital images. Of the latter two, the analysis of digital images stands out as the more effective, rapid and objective method to detect IAV in vegetation development.

This is a preview of subscription content, access via your institution.

Fig. 1
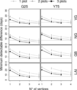
Fig. 2
Fig. 3
Fig. 4
Fig. 5
Fig. 6

References

  • Ahrends HE, Brügger R, Stöckli R, Schenk J, Michna P, Jeanneret F, Wanner H, Eugster W (2008) Quantitative phenological observations of a mixed beech forest in northern Switzerland with digital photography. J Geophys Res 113(G4):G04,004

    Google Scholar 

  • Aldridge G, Inouye DW, Forrest JRK, Barr WA, Miller-Rushing AJ (2011) Emergence of a mid-season period of low floral resources in a montane meadow ecosystem associated with climate change. J Ecol 99(4):905–913

    Article  Google Scholar 

  • Beniston M (2005) Warm winter spells in the Swiss Alps: strong heat waves in a cold season? A study focusing on climate observations at the Saentis high mountain site. Geophys Res Lett 32(1):L01,812

    Article  Google Scholar 

  • De Beurs K, Henebry G (2010) Spatio-temporal statistical methods for modeling land surface phenology. In: Hudson I, MR K (eds) Phenological research: methods for environmental and climate change analysis. Springer, New York, NJ, pp 157–174

  • Bréda NJJ (2003) Ground?based measurements of leaf area index: a review of methods, instruments and current controversies. J Exp Bot 54(392):2403–2417

    Article  Google Scholar 

  • CaraDonna P, Iler A, Inouye D (2014) Shifts in flowering phenology reshape a subalpine plant community. Proc Natl Acad Sci U S A Am 111(5):4916–21

    CAS  Article  Google Scholar 

  • Chen X, Li J, Xu L, Liu L, Ding D (2014) Modeling greenup date of dominant grass species in the inner Mongolian grassland using air temperature and precipitation data. Int J Biometeorol 58(4):463–471

    Article  Google Scholar 

  • Cleland EE, Chiariello NR, Loarie SR, Mooney HA, Field CB (2006) Diverse responses of phenology to global changes in a grassland ecosystem. Proc Natl Acad Sci U S A Am 103(37):13,740–4

    CAS  Article  Google Scholar 

  • Cohen J (1988) Statistical power analysis for the behavioral sciences, 2nd ed. Erlbaum Associates, Hillsdale, NJ

    Google Scholar 

  • Cornelius C, Petermeier H, Estrella N, Menzel A (2011) A comparison of methods to estimate seasonal phenological development from bbch scale recording. Int J Biometeorol 55(6):867–877

    Article  Google Scholar 

  • Cornelius C, Leingärtner A, Hoiss B, Krauss J, Steffan-Dewenter I, Menzel A (2013) Phenological response of grassland species to manipulative snowmelt and drought along an altitudinal gradient. J Exp Bot 64(1):241–51

    CAS  Article  Google Scholar 

  • Crimmins MA, Crimmins TM (2008) Monitoring plant phenology using digital repeat photography. Environ Manag 41(6):949–58

    Article  Google Scholar 

  • Denny E, Gerst K, Miller-Rushing A, Tierney G, Crimmins T, Enquist C, Guertin P, Rosemartin A, Schwartz M, Thomas K, Weltzin J (2014) Standardized phenology monitoring methods to track plant and animal activity for science and resource management applications. Int J Biometeorol 58(4):591–601

    Article  Google Scholar 

  • Diez J M, Ibz I, Miller-Rushing AJ, Mazer SJ, Crimmins TM, Crimmins MA, Bertelsen CD, Inouye DW (2012) Forecasting phenology: from species variability to community patterns. Ecol Lett 15(6):545–553

    Article  Google Scholar 

  • Dragoni D, Schmid HP, Wayson CA, Potter H, Grimmond CSB, Randolph JC (2011) Evidence of increased net ecosystem productivity associated with a longer vegetated season in a deciduous forest in south-central Indiana, USA. Glob Chang Biol 17(2):886–897

    Article  Google Scholar 

  • Dunne JA, Harte J, Taylor KJ (2003) Subalpine meadow flowering phenology responses to climate change: integrating experimental and gradient methods. Ecological Monographs 73(1)

  • Eklundh L, Jin H, Schubert P, Guzinski R, Heliasz M (2011) An optical sensor network for vegetation phenology monitoring and satellite data calibration. Sensors (Basel, Switzerland) 11(8):7678–709

    Article  Google Scholar 

  • Flanagan LB, Wever LA, Carlson PJ (2002) Seasonal and interannual variation in carbon dioxide exchange and carbon balance in a northern temperate grassland. Glob Chang Biol 8(7):599–615

    Article  Google Scholar 

  • Galvagno M, Wohlfahrt G, Cremonese E, Rossini M, Colombo R, Filippa G, Julitta T, Manca G, Siniscalco C, Morra di Cella U, Migliavacca M (2013) Phenology and carbon dioxide source/sink strength of a subalpine grassland in response to an exceptionally short snow season. Environ Res Lett 8(2):025,008

    Article  Google Scholar 

  • Gillespie AR, Kahle AB, Walker RE (1987) Color enhancement of highly correlated images. II. Channel ratio and chromaticity transformation techniques. Remote Sens Environ 22(3):343–365

    Article  Google Scholar 

  • Gobiet A, Kotlarski S, Beniston M, Heinrich G, Rajczak J, Stoffel M (2014) 21st century climate change in the European Alps—a review. Sci Total Environ 493:1138–51

    CAS  Article  Google Scholar 

  • Gonsamo A, Chen JM, D’Odorico P (2013) Deriving land surface phenology indicators from CO2 eddy covariance measurements. Ecol Indic 29(0):203–207

    CAS  Article  Google Scholar 

  • Gu L (2009) Characterizing the seasonal dynamics of plant community photosynthesis across a range of vegetation types. In: Noormets A (ed) Phenology of ecosystem processes: applications in global change research. Springer New York, NY

  • Hemingway CA, Overdorff DJ (1999) Sampling effects on food availability estimates: phenological method, sample size, and species composition. Biotropica 31(2):354–364

    Article  Google Scholar 

  • Henebry G, De Beurs K (2013) Remote sensing of land surface phenology: a prospectus. In: Schwartz M (ed) Phenology: an integrative environmental science. Springer, New York, NJ, pp 197–210

  • Hirota M, Zhang P, Gu S, Shen H, Kuriyama T, Li Y, Tang Y (2010) Small-scale variation in ecosystem CO2 fluxes in an alpine meadow depends on plant biomass and species richness. J Plant Res 123(4):531–541

    CAS  Article  Google Scholar 

  • Hudson IL (2010) Interdisciplinary approaches: towards new statistical methods for phenological studies. Clim Chang 100(1):143–171

    Article  Google Scholar 

  • Inouye D, Wielgolaski F (2013) Phenology at high altitudes. In: Schwartz M (ed) Phenology: an integrative environmental science. Springer, New York, NJ, pp 249–272

  • Inouye DW (2008) Effects of climate change on phenology, frost damage, and floral abundance of montane wildflowers. Ecology 89(2):353–62

    Article  Google Scholar 

  • Jones MO, Kimball JS, Small EE, Larson KM (2013) Comparing land surface phenology derived from satellite and GPS network microwave remote sensing. International journal of biometeorology

  • Klosterman S T, Hufkens K, Gray J M, Melaas E, Sonnentag O, Lavine I, Mitchell L, Norman R, Friedl M A, Richardson A D (2014) Evaluating remote sensing of deciduous forest phenology at multiple spatial scales using phenocam imagery. Biogeosciences 11(16):4305–4320

    Article  Google Scholar 

  • Körner C (2005) The green cover of mountains in a changing environment. In: Huber U, Bugmann H (eds) Global change and mountain regions. An overview of current knowledge. Springer, Berlin, DE

  • Lasslop G, Reichstein M, Papale D, Richardson AD, Arneth A, Barr A, Stoy P, Wohlfahrt G (2010) Separation of net ecosystem exchange into assimilation and respiration using a light response curve approach: critical issues and global evaluation. Glob Chang Biol 16(1):187–208

    Article  Google Scholar 

  • Liang L, Schwartz MD (2009) Landscape phenology: an integrative approach to seasonal vegetation dynamics. Landsc Ecol 24(4):465–472

    Article  Google Scholar 

  • Liang L, Schwartz MD, Fei S (2011) Validating satellite phenology through intensive ground observation and landscape scaling in a mixed seasonal forest. Remote Sens Environ 115(1):143–157

    Article  Google Scholar 

  • Linderholm HW (2006) Growing season changes in the last century. Agric For Meteorol 137(1):1–14

    Article  Google Scholar 

  • Ma T, Zhou C (2012) Climate-associated changes in spring plant phenology in China. Int J Biometeorol 56(2):269–75

    Article  Google Scholar 

  • Marcolla B, Cescatti A, Manca G, Zorer R, Cavagna M, Fiora A, Gianelle D, Rodeghiero M, Sottocornola M, Zampedri R (2011) Climatic controls and ecosystem responses drive the inter-annual variability of the net ecosystem exchange of an alpine meadow. Agric For Meteorol 151(9):1233–1243

    Article  Google Scholar 

  • Menzel A, Sparks TH, Estrella N, Koch E, Aasa A, Ahas R, Alm-Kübler K, Bissolli P, Braslavská O, Briede A, Chmielewski F M, Crepinsek Z, Curnel Y, As Dahl, Defila C, Donnelly A, Filella Y, Jatczak K, MåGe F, Mestre A, Nordli OY, Peñuelas J, Pirinen P, Remišová V, Scheifinger H, Striz M, Susnik A, Van Vliet AJH, Wielgolaski FE, Zach S, Zust A (2006) European phenological response to climate change matches the warming pattern. Glob Chang Biol 12(10):1969–1976

    Article  Google Scholar 

  • Migliavacca M, Galvagno M, Cremonese E, Rossini M, Meroni M, Sonnentag O, Cogliati S, Manca G, Diotri F, Busetto L, Cescatti A, Colombo R, Fava F, Morra di Cella U, Pari E, Siniscalco C, Richardson AD (2011) Using digital repeat photography and eddy covariance data to model grassland phenology and photosynthetic CO2 uptake. Agric For Meteorol 151(10):1325–1337

    Article  Google Scholar 

  • Morellato L, Camargo M, DEca Neves F, Luize B, Mantovani A, IL H (2010) The influence of sampling method, sample size, and frequency of observations on plant phenological patterns and interpretation in tropical forest trees. In: Hudson I, MR K (eds) Phenological research: methods for environmental and climate change analysis. NE, Dordrecht

  • Noormets A, Chen J, Gu L, Desai A (2009) The phenology of gross ecosystem productivity and ecosystem respiration in temperate hardwood and conifer chronosequences. In: Noormets A (ed) Phenology of ecosystem processes. Springer, New York, pp 59–85

  • Norby RJ, Hartz-Rubin JS, Verbrugge MJ (2003) Phenological responses in maple to experimental atmospheric warming and CO2 enrichment. Global Change Biology 9(12):1792–1801

    Article  Google Scholar 

  • Orsenigo S, Mondoni A, Rossi G, Abeli T (2014) Some like it hot and some like it cold, but not too much: plant responses to climate extremes. Plant Ecol 215(7):677–688

    Article  Google Scholar 

  • Parmesan C (2007) Influences of species, latitudes and methodologies on estimates of phenological response to global warming. Glob Chang Biol 13(9):1860–1872

    Article  Google Scholar 

  • Peichl M, Sonnentag O, Nilsson M (2014) Bringing color into the picture: using digital repeat photography to investigate phenology controls of the carbon dioxide exchange in a boreal mire. Ecosystems pp 1–17

  • R Core Team R (2014) R: A language and environment for statistical computing. R Foundation for Statistical Computing, Vienna, Austria, URL http://www.R-project.org/

  • Rammig A, Jonas T, Zimmermann NE, Rixen C (2010) Changes in alpine plant growth under future climate conditions. Biogeosciences 7(6):2013–2024

    CAS  Article  Google Scholar 

  • Reichstein M, Falge E, Baldocchi D, Papale D, Aubinet M, Berbigier P, Bernhofer C, Buchmann N, Gilmanov T, Granier A, Grnwald T, Havrnkov K, Ilvesniemi H, Janous D, Knohl A, Laurila T, Lohila A, Loustau D, Matteucci G, Meyers T, Miglietta F, Ourcival JM, Pumpanen J, Rambal S, Rotenberg E, Sanz M, Tenhunen J, Seufert G, Vaccari F, Vesala T, Yakir D, Valentini R (2005) On the separation of net ecosystem exchange into assimilation and ecosystem respiration: review and improved algorithm. Glob Chang Biol 11(9):1424–1439

    Article  Google Scholar 

  • Richardson AD, Bailey AS, Denny EG, Martin CW, O’Keefe J (2006) Phenology of a northern hardwood forest canopy. Glob Chang Biol 12(7):1174–1188

    Article  Google Scholar 

  • Richardson AD, Braswell BH, Hollinger DY, Jenkins JP, Ollinger SV (2009) Near-surface remote sensing of spatial and temporal variation in canopy phenology. Ecol Appl 19(6):1417–28

    Article  Google Scholar 

  • Richardson AD, Black TA, Ciais P, Delbart N, Friedl MA, Gobron N, Hollinger DY, Kutsch WL, Longdoz B, Luyssaert S, Migliavacca M, Montagnani L, Munger JW, Moors E, Piao S, Rebmann C, Reichstein M, Saigusa N, Tomelleri E, Vargas R, Varlagin A (2010) Influence of spring and autumn phenological transitions on forest ecosystem productivity. Philosophical transactions of the Royal Society of London Series B. Biol Sci 365(1555):3227–46

    Article  Google Scholar 

  • Richardson AD, Keenan TF, Migliavacca M, Ryu Y, Sonnentag O, Toomey M (2013) Climate change, phenology, and phenological control of vegetation feedbacks to the climate system. Agric For Meteorol 169:156–173

    Article  Google Scholar 

  • Rutishauser T, Luterbacher J, Defila C, Frank D, Wanner H (2008) Swiss spring plant phenology 2007: extremes, a multi-century perspective, and changes in temperature sensitivity. Geophys Res Lett 35(5):L05,703

    Article  Google Scholar 

  • Schwartz MD, Hanes JM, Liang L (2013) Comparing carbon flux and high-resolution spring phenological measurements in a northern mixed forest. Agric For Meteorol 169:136–147

    Article  Google Scholar 

  • Studer S, Stöckli R, Appenzeller C, Vidale P L (2007) A comparative study of satellite and ground-based phenology. Int J Biometeorol 51(5):405–14

    CAS  Article  Google Scholar 

  • Walker MD, Ingersoll RC, Webber PJ, Ecology S, Jun N (1995) Effects of interannual climate variation on phenology and growth of two alpine forbs. Ecology 76(4):1067–1083

    Article  Google Scholar 

  • Wipf S, Stoeckli V, Bebi P (2009) Winter climate change in alpine tundra: plant responses to changes in snow depth and snowmelt timing. Clim Chang 94(1-2):105–121

    Article  Google Scholar 

  • Wohlfahrt G, Bahn M, Newesely C, Sapinsky S, Tappeiner U, Cernusca A (2003) Canopy structure versus physiology effects on net photosynthesis of mountain grasslands differing in land use. Ecol Model 170(2-3):407–426

    CAS  Article  Google Scholar 

  • Xu L, Baldocchi DD (2004) Seasonal variation in carbon dioxide exchange over a mediterranean annual grassland in California. Agric For Meteorol 123(1-2):79–96

    Article  Google Scholar 

  • Zeeman MJ, Hiller R, Gilgen AK, Michna P, Plüss P, Buchmann N, Eugster W (2010) Management and climate impacts on net CO2 fluxes and carbon budgets of three grasslands along an elevational gradient in Switzerland. Agric For Meteorol 150(4):519–530

    Article  Google Scholar 

Download references

Acknowledgments

This study was conducted in the framework of PHENOALP and e-PHENO projects, two INTERREG projects co-funded by the European Regional Development Fund under the operational program for territorial cooperation ItalyFrance (ALCOTRA) 2007-13. We acknowledge the Centro Funzionale della Regione Autonoma Valle d’Aosta for providing access to the Cignana long-term weather data and the people who contributed to collect them.

Author information

Affiliations

Authors

Corresponding author

Correspondence to Gianluca Filippa.

Rights and permissions

Reprints and Permissions

About this article

Verify currency and authenticity via CrossMark

Cite this article

Filippa, G., Cremonese, E., Galvagno, M. et al. Five years of phenological monitoring in a mountain grassland: inter-annual patterns and evaluation of the sampling protocol. Int J Biometeorol 59, 1927–1937 (2015). https://doi.org/10.1007/s00484-015-0999-5

Download citation

  • Received:

  • Revised:

  • Accepted:

  • Published:

  • Issue Date:

  • DOI: https://doi.org/10.1007/s00484-015-0999-5

Keywords

  • Ecosystem phenology
  • Subalpine belt
  • Greenness
  • Leaf area index
  • Biomass
  • Digital camera
  • Grassland