Skip to main content

Ambient temperature enhanced acute cardiovascular-respiratory mortality effects of PM2.5 in Beijing, China

Abstract

Studies have shown that temperature could modify the effect of ambient fine particles on mortality risk. In assessing air pollution effects, temperature is usually considered as a confounder. However, ambient temperature can alter people’s physiological response to air pollution and might “modify” the impact of air pollution on health outcomes. This study investigated the interaction between daily PM2.5 and daily mean temperature in Beijing, China, using data for the period 2005–2009. Bivariate PM2.5–temperature response surfaces and temperature-stratified generalized additive model (GAM) were applied to study the effect of PM2.5 on cardiovascular, respiratory mortality, and total non-accidental mortality across different temperature levels. We found that low temperature could significantly enhance the effect of PM2.5 on cardiovascular mortality. For an increase of 10 μg/m3 in PM2.5 concentration in the lowest temperature range (−9.7∼2.6 °C), the relative risk (RR) of cardiovascular mortality increased 1.27 % (95 % CI 0.38∼2.17 %), which was higher than that of the whole temperature range (0.59 %, 95 % CI 0.22–1.16 %). The largest effect of PM2.5 on respiratory mortality appeared in the high temperature range. For an increase of 10 μg/m3 in PM2.5 concentration, RR of respiratory mortality increased 1.70 % (95 % CI 0.92∼3.33 %) in the highest level (23.50∼31.80 °C). For the total non-accidental mortality, significant associations appeared only in low temperature levels (−9.7∼2.6 °C): for an increase of 10 μg/m3 in current day PM2.5 concentration, RR increased 1.27 % (95 % CI 0.46∼2.00 %) in the lowest temperature level. No lag effect was observed. The results suggest that in air pollution mortality time series studies, the possibility of an interaction between air pollution and temperature should be considered.

This is a preview of subscription content, access via your institution.

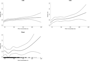
Fig. 1
Fig. 2
Fig. 3
Fig. 4

References

  • Barnett AG (2007) Temperature and cardiovascular deaths in the US elderly: changes over time. Epidemiology 18(3):369–372

    Article  Google Scholar 

  • Basu R (2009) High ambient temperature and mortality: a review of epidemiologic studies from 2001 to 2008. Environ Heal 8(1):40–52

    Article  Google Scholar 

  • Basu R, Samet JM (2002) Relation between elevated ambient temperature and mortality: a review of the epidemiologic evidence. Epidemiol Rev 24(2):190–202

    Article  Google Scholar 

  • Braga AL, Zanobetti A, Schwartz J (2002) The effect of weather on respiratory and cardiovascular deaths in 12 US cities. Environ Health Perspect 110(9):859–863

    Article  Google Scholar 

  • Curriero FC, Heiner KS, Samet JM, Zeger SL, Strug L, Patz JA (2002) Temperature and mortality in 11 cities of the eastern United States. Am J Epidemiol 155(1):80–87

    Article  Google Scholar 

  • Daniels MJ, Dominici F, Samet JM, Zeger SL (2000) Estimating particulate matter-mortality dose-response curves andthresholdlevels: an analysis of daily time-series for the 20 largestUS cities. Am J Epidemiol 152(5):397–406

  • Dominici F, McDermott A, Hastie TJ (2004) Improved semiparametric time series models of air pollution and mortality. J Am Stat Assoc 99:938–948

    Article  Google Scholar 

  • Dominici F, McDermott A, Zeger SL, Samet JM (2002) On the use of generalized additive models in time-series studies of air pollution and health. Am J Epidemiol 156:193–203

    Article  Google Scholar 

  • Gordon CJ (2003) Role of environmental stress in the physiological response to chemical toxicants. Environ Res 92(1):1–7

    CAS  Article  Google Scholar 

  • Hajat S, Armstrong B, Baccini M, Biggeri A, Bisanti L, Russo A (2006) Impact of high temperatures on mortality: is there an added heat wave effect? Epidemiology 17(6):632–638

    Article  Google Scholar 

  • Hastie T, Tibshirani R (1990) Generalized additive models. Chapman and Hall, New York

    Google Scholar 

  • Healy JD (2003) Excess winter mortality in Europe: a cross country analysis identifying key risk factors. J Epidemiol Community Health 57(10):784–789

    CAS  Article  Google Scholar 

  • Hu W, Mengersen K, McMichael A, Tong S (2008) Temperature, air pollution and total mortality during summers in Sydney, 1994–2004. Int J Biometeorol 52(7):689–696

    Article  Google Scholar 

  • Kan H, London SJ, Chen G, Zhang Y, Song G, Zhao N (2007) Differentiating the effects of fine and coarse particles on daily mortality in Shanghai, China. Environ Int 33(3):376

    Article  Google Scholar 

  • Li G, Zhou M, Cai Y, Zhang Y, Pan X (2011) Does temperature enhance acute mortality effects of ambient particle pollution in Tianjin City, China. Sci Total Environ 409(10):1811–1817

    CAS  Article  Google Scholar 

  • Michelozzi P, Accetta G, Sario DM, D’Ippoliti D, Marino C, Baccini M (2009) High temperature and hospitalizations for cardiovascular and respiratory causes in 12 European cities. Am J Respir Crit Care Med 179(5):383–389

    Article  Google Scholar 

  • McMichael AJ, Wilkinson P, Kovats RS et al (2008) International study of temperature, heat and urban mortality: the ‘ISOTHURM’ project Int J of Epidemiol 37(5):1121–1131

  • O’Neill MS, Hajat S, Zanobetti A, Ramirez-Aguilar M, Schwartz J (2005) Impact of control for air pollution and respiratory epidemics on the estimated associations of temperature and daily mortality. Int J Biometeorol 50:121–129

    Article  Google Scholar 

  • Ostro B, Broadwin R, Green S, Feng W-Y, Lipsett M (2006) Fine particulate air pollution and mortality in nine California counties: results from CALFINE. Environ Health Perspect 114(1):29–33

    Article  Google Scholar 

  • Pope CA, Burnett RT, Thun MJ, Calle EE, Krewski D, Ito K (2002) Lung cancer, cardiopulmonary mortality, and long-term exposure to fine particulate air pollution. JAMA 287(9):1132–1141

    CAS  Article  Google Scholar 

  • Qian Z, He Q, Lin H-M, Kong L, Bentley CM, Liu W (2008) High temperatures enhanced acute mortality effects of ambient particle pollution in the “oven” city of Wuhan, China. Environ Health Perspect 116(9):1172–1178

    CAS  Article  Google Scholar 

  • Ramsay TO, Burnet RT, Krewski D (2003) The effect of concurvity in generalized additive models linking mortality to ambient particulate matter. Epidemiology 14:18–23

    Article  Google Scholar 

  • Rainham DG, Smoyer-Tomic KE (2003) The role of air pollution in the relationship between a heat stress index and human mortality in Toronto. Environ Res 93(1):9–19

    CAS  Article  Google Scholar 

  • Ren C, Tong S (2006) Temperature modifies the health effects of particulate matter in Brisbane, Australia. Int J Biometeorol 51:87–96

    Article  Google Scholar 

  • Ren C, Williams GM, Mengersen K, Morawska L, Tong S (2008) Does temperature modify short-term effects of ozone on total mortality in 60 large eastern US communities? An assessment using the NMMAPS data. Environ Int 34(4):451–458

    Article  Google Scholar 

  • Ren C, Williams GM, Mengersen K, Morawska L, Tong S (2007) Does temperature modify short-term effects of ozone on total mortality in 60 large eastern US communities? An assessment using the NMMAPS data. Environ Int 34:451–458

    Article  Google Scholar 

  • Roberts S (2004) Interactions between particulate air pollution and temperature in air pollution mortality time series studies. Environ Res 96(3):328–337

    CAS  Article  Google Scholar 

  • Schwartz J, Dockery DW, Neas LM (1996) Is daily mortality associated specifically with fine particles? J Air Waste Manage Assoc 46(10):927–939

    CAS  Article  Google Scholar 

  • Schwartz J, Neas LM (2000) Fine particles are more strongly associated than coarse particles with acute respiratory health effects in schoolchildren. Epidemiology 11(1):6–10

    CAS  Article  Google Scholar 

  • Sarnat JA, Schwartz J, Suh HH (2001) Fine particulate air pollution and mortality in 20 US cities. N Engl J Med 344(16):1253–1254

    CAS  Article  Google Scholar 

  • Stafoggia M, Forastiere F, Agostini D, Biggeri A, Bisanti L, Cadum E (2006) Vulnerability to heat-related mortality: a multicity, population-based, case-crossover analysis. Epidemiology 17(3):315–323

    Article  Google Scholar 

  • Stafoggia M, Forastiere F, Agostini D, Caranci N, de Donato F, Demaria M (2008a) Factors affecting in-hospital heat-related mortality: a multi-city case-crossover analysis. J Epidemiol Community Health 62:209–215

    CAS  Article  Google Scholar 

  • Stafoggia M, Schwartz J, Forastiere F, Perucci CA (2008b) Does temperature modify the association between air pollution and mortality? A multicity case-crossover analysis in Italy. Am J Epidemiol 167(12):1476–1485

    CAS  Article  Google Scholar 

  • Stolzel M, Breitner S, Cyrys J, Pitz M, WÖlke G, Kreyling W (2006) Daily mortality and particulate matter in different size classes in Erfurt, Germany. J Expo Sci Environ Epidemiol 17(5):458–467

    Article  Google Scholar 

  • Wang Q, Liu Y, Pan X (2008) Atmosphere pollutants and mortality rate of respiratory diseases in Beijing. Sci Total Environ 391(1):143–148

    CAS  Article  Google Scholar 

  • Wood S (2003) Thin plate regression splines. J R Stat Soc Ser B 65:95–114

    Article  Google Scholar 

  • Wilson WE, Suh HH (1997) Fine particles and coarse particles: concentration relationships relevant to epidemiologic studies. J Air Waste Manage Assoc 47(12):1238–1249

    CAS  Article  Google Scholar 

  • Wu Y, Zhang J (2009) Interactive effects of particulate matter and temperature on population non-accidental deaths in Beijing, China (in Chinese). Res Environ Sci 22:1403–1410

    CAS  Google Scholar 

  • Zhang Y, Huang W, London SJ, Song G, Chen G, Jiang L et al (2006) Ozone and daily mortality in Shanghai, China. Environ Health Perspect 114:1227–1232

    CAS  Article  Google Scholar 

  • Zanobetti A, Schwartz J (2009) The effect of fine and coarse particulate air pollution on mortality: a national analysis. Environ Health Perspect 117(6):898–903

    Article  Google Scholar 

Download references

Acknowledgments

This research was supported by grants from National Key Project of Basic Research (2011CB403404), National Natural Science Foundation (nos. 21307158 and 41105092).

Author information

Affiliations

Authors

Corresponding author

Correspondence to Canjun Zheng.

Additional information

Yi Li holds a PhD degree, Chinese Academy of Meteorological Sciences.

Rights and permissions

Reprints and Permissions

About this article

Verify currency and authenticity via CrossMark

Cite this article

Li, Y., Ma, Z., Zheng, C. et al. Ambient temperature enhanced acute cardiovascular-respiratory mortality effects of PM2.5 in Beijing, China. Int J Biometeorol 59, 1761–1770 (2015). https://doi.org/10.1007/s00484-015-0984-z

Download citation

  • Received:

  • Revised:

  • Accepted:

  • Published:

  • Issue Date:

  • DOI: https://doi.org/10.1007/s00484-015-0984-z

Keywords

  • Particulate matter
  • Interaction
  • Mortality
  • Temperature