Skip to main content

Evaluation of weather-based rice yield models in India

Abstract

The objective of this study was to compare two different rice simulation models—standalone (Decision Support System for Agrotechnology Transfer [DSSAT]) and web based (SImulation Model for RIce-Weather relations [SIMRIW])—with agrometeorological data and agronomic parameters for estimation of rice crop production in southern semi-arid tropics of India. Studies were carried out on the BPT5204 rice variety to evaluate two crop simulation models. Long-term experiments were conducted in a research farm of Acharya N G Ranga Agricultural University (ANGRAU), Hyderabad, India. Initially, the results were obtained using 4 years (1994–1997) of data with weather parameters from a local weather station to evaluate DSSAT simulated results with observed values. Linear regression models used for the purpose showed a close relationship between DSSAT and observed yield. Subsequently, yield comparisons were also carried out with SIMRIW and DSSAT, and validated with actual observed values. Realizing the correlation coefficient values of SIMRIW simulation values in acceptable limits, further rice experiments in monsoon (Kharif) and post-monsoon (Rabi) agricultural seasons (2009, 2010 and 2011) were carried out with a location-specific distributed sensor network system. These proximal systems help to simulate dry weight, leaf area index and potential yield by the Java based SIMRIW on a daily/weekly/monthly/seasonal basis. These dynamic parameters are useful to the farming community for necessary decision making in a ubiquitous manner. However, SIMRIW requires fine tuning for better results/decision making.

This is a preview of subscription content, access via your institution.

Fig. 1
Fig. 2
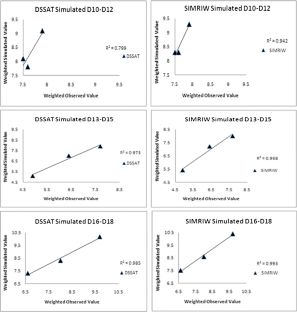
Fig. 3
Fig. 4

References

  • Bachelet D, Gay CA (1993) The impacts of climate change on rice yield: a comparison of four model performances. Ecol Model 65:71–93

    Article  Google Scholar 

  • Baker JT, Allen LH Jr, Boote KJ (1990) Growth and yield responses of rice to subambient, ambient, and superambient carbon dioxide concentrations. J Agric Sci 115(3):13–320

    Article  Google Scholar 

  • Boogaard HL, van Diepen CA, Retter RP, Cabrera JMCA, and van Laar HH (1998) User's guide for the WOFOST 7.1 crop growth simulation model and WOFOST Control Center 1.5. DLO-Winand Staring Centre, Wageningen, Technical Document 52, pp 144

  • Burt JE, Hayes JT, O’Rourke PA, Terjung WH, Tod-hunter PE (1981) A parametric crop water use model. Water Resour Res 17(4):1095–1108

    Article  Google Scholar 

  • Cheyglinted S, Ranamukhaarachchi SL, Singh G (2001) Assessment of the CERES-Rice model for rice production in the Central Plain of Thailand. J Agric Sci 137:289–298

    Article  Google Scholar 

  • Consultative Group on International Agricultural Research (2011) A strategy and results framework for the CGIAR. http://www.ciat.cgiar.org/cgiar/Documents/CGIAR_SRF_FC_FF_February_2011.pdf. Accessed 06 March 2012

  • Dobermann A, Fairhurst T (2000) Rice, nutrient disorders and nutrient management. International Rice Research Institute Publication, Cab International, Wallingford, Oxon, United Kingdom.

  • Food Agriculture Organization (2010) Food security information for decision making. Available at: http://www.fao.org/docrep/013/am185e/am185e00.pdf. Accessed 01 December 2011

  • GeoSense (2011) Geo-ICT and sensor network based decision support systems in agriculture and environment assessment. Available at: http://www.csre.iitb.ac.in/geosense/index.html. Accessed 01 March 2011

  • Global Rice Science Partnership(GRiSP) (2011) Future rice demand, vision of success. Available at: http://grisp.irri.org/vision-of-success. Accessed 02 November 2011

  • Godwin DC, Jones CA (1991) Nitrogen dynamics in soil-plant systems. In: J Hanks, JT Ritchi (ed) Modeling plant and soil systems. Agronomy Monograph 31. ASA, CSSA, and SSSA, Madison, WI, pp 287–321

  • Hoogenboom G, Tsuji GY, Pickering NB, Curry RB, Jones JW, Singh U, Godwin DC (1995) Decision support system to study climate change impacts on crop production. Climate change and agriculture: Analysis of potential international impacts. ASA, Special publication, 59, 51–75

  • Horie T, Sakuratani T (1985) Studies on crop-water relationship model in rice. (1) Relation between absorbed solar radiation by the crop and the dry matter production. Journal of AgroMeteorology 40:331–342

    Google Scholar 

  • Horie T, Nakagawa H, Ceneno HG, Kropff T (1987) The rice crop simulation model SIMRIW and its testing. Modeling the Impact of Climate Change on Rice Production in Asia 2010:51

  • Horie T, Kropff MJ, Centeno HG, Nakagawa H, Kim HY, Onishi M (1994) In: Peng et al (eds) Effect of anticipated global environment change on rice yield in Japan. Climate change and rice. International Rice Research Institute, Los Baños

    Google Scholar 

  • Horie T, Inoue N, Ohnishi M, Nakagawa H, Matsui T (1995) Development of dynamic model for predicting growth and yield of rice. Report of Grants-in-Aid for Scientific Research, Research Project Number: 03404007, with FORTRAN source code of SIMRIW.

  • Hunt LA, Boote KJ (1998). Data for model operation, calibration and evaluation. In: Tsuji GY, Hoogenboom G, Thornton PK (Hrsg) Understanding Options for Agricultural Production. Dordrecht, NL: Kluwer Academic Publishers, 1998, S. 9–40

  • Imai K, Colman DF, Yanagisawa T (1985) Increase of atmospheric partial pressure of carbon dioxide and growth and yield or rice (Oryza sativa L.). Jpn J Crop Sci 54:413–418

    Article  CAS  Google Scholar 

  • International Consortium for Agricultural Systems Applications (ICASA) (2011) DSSAT software, 2011. Available at: http://www.icasa.net/. Accessed 01 November 2011

  • Basak JK (2010) Assessment of the effect of climate change on boro rice production in Bangladesh using CERES-Rice model. Available at: http://www.unnayan.org/reports/Climate_Change_Impacts_on_Rice_Production_in_Bangladesh_Report.pdf. Accessed 23 May 2011

  • Jones JW, Tsuji GYG, Hoogenboom LA, Hunt PK, Thornton PW, Wilkens DT, Imamure WT, Bowen, Singh U (1998) DSSAT v3, Understanding options for Agricultural production. In: Tsuji GY et al (eds) Decision support system for agrotechnology transfer. Kluwer Academic, Norwell, MA, USA

    Google Scholar 

  • Rakesh K, Sharma HL (2004) Simulation and validation of CERES-Rice (DSSAT) model in north-western Himalaya. Indian council of agricultural research, New Delhi, 74(3)133–137

  • Legates DR, McCabe GJ (1999) Evaluating the use of “goodness-of-fit” measures in hydrologic and dydroclimatic model validation. Water Resour Res 35(1):233–241

    Article  Google Scholar 

  • Monsi M, Saeki T (1953) U ber den Lichtfaktor in den Pflanzengesellschaften und seine Bedeutung fur die Stoffproduktion. Japan J Bot 14:22–52, Tadaki hirose. Review—development of monsi-saeki theory on canopy structure and function. Annals of Botany, 2005;95:483–494

    Google Scholar 

  • Moriasi DN, Arnold JG, Van Liew MW, Bingner LR, Harmel RD, Veith TL (2007) Model evaluation guidelines for systematic quantification of accuracy in watershed simulations. Am Soc Agric Biol Eng 50(3):885–900

    Google Scholar 

  • Nakagawa H, Horie T, Nakano J, Kim HY, Wada K, Kobayashi M (1993) Effect of elevated Co2 concentration and high temperature on growth and development of rice. J Agric Meteorol 48:799–802

    Article  Google Scholar 

  • National Agricultural Research Center (NARC) (2012) SIMRIW, Java Servlet. http://pc105.narc.affrc.go.jp/simriw/. Accessed 06 March 2012

  • Parton WJ, Scurloc JMO, Ojima DS, Schimel DS, Hall DO, Scopegram group Members (1995) Impact of climate change on grassland production and soil carbon worldwide. Glob Chang Biol 1:13–22

    Article  Google Scholar 

  • Priestly CHB, Taylor RJ (1972) On the assessment of surface heat flux and evaporation using large-scale parameters. Mon Weather Rev 100:81–92

    Article  Google Scholar 

  • Research Group of Evapotranspiration (1967) Evapotranspiration from paddy field. J Agric Meteorol 4(22):149–158

    Article  Google Scholar 

  • Rezaul M (1998) Air temperature variations and rice productivity in Bangladesh: a comparative study of the performance of the YIELD and the CERES-Rice models. Econ Model 106:201–212

    Article  Google Scholar 

  • Rezzoug W, Gabrielle B, Suleiman A, Benabdeli K (2008) Application and evaluation of the DSSAT –wheat in the Tiaret region of Algeria. Afr J Agric Res 3(4):284–296

    Google Scholar 

  • Ritchie JT (1972) Model for predicting evaporation from a row crop with incomplete cover. Water Resour Res 8:1204–1213

    Article  Google Scholar 

  • Ritchie JT, Singh U, Godwin DC, Bowen WT (1998) Cereal growth, development and yield. In: Tsuji GY, Hoogenboom G, Thornton PK (eds) Kluwer understanding options for agricultural production. Academic Publisher, Dordrecht

    Google Scholar 

  • Rosenzweig C, Parry ML (1994) Potential impact of climate change on world food supply. Nature 367:133–38

    Article  Google Scholar 

  • Salkind NJ (2007) Statistics for peoples who (think they) hate statistics. SAGE, New Delhi

  • Singh U (2003) Nitrogen management strategies for low land rice cropping system. In proceedings of the twenty-fifth International Conference of Agricultural Economists, Durban, South Africa, August 16–23, 2003. pp 110–130

  • Sudharsan D, Adinarayana J, Tripthy AK, Naveen CPRG, Desai UB, Marchant SN, Tanaka K, Ninomiya S, Kiura T, Hirafuji M, Raji D, Sreenivas G (2010) Dynamic simulation and comparison of rice growth and yield predictions by wireless sensor network technology. Proceedings of IRCC28 International Rice Research Conference (Paper No.4254), November 8–12, 2010, Henoi, Vietnam

  • Sudharsan D, Adinarayana J, Tripthy AK, Desai UB, Marchant SN, Ninomiya S, Hirafuji M, Kiura T, Tanaka K (2011) GeoSense: Geo-ICT and wireless sensor network based dynamic real-time decision support system for precision agriculture. Proceedings of CIGR 2011 International Symposium “Sustainable Bioproduction: Water, Energy and Food”: Session 06, Sensor Network and its Application in Agriculture (Paper No. 22GOS6-03), September 19–23, 2011, Tokyo, Japan

  • Surendran U, Sivakumar K, Gopalakrishnan M, Murugappan V (2010) Modeling based fertilizer prescription using Nutmon-Toolbox and DSSAT for soils of semi arid tropics in India. Libyan Agric Res Center J Int 4:221–230

    Google Scholar 

  • Timsina J, Humphreys E (2006) Performance of CERES-Rice and CERES-Wheat models in rice-wheat systems: a review. Elsevier Agric Syst 90:5–31

    Article  Google Scholar 

  • Tsuji GY, Uehara G, Balas S (1994) Decision Support System for Agrotechnology Transfer (DSSAT) V3 International Benchmark Sites Network for Agrotechnology

  • Tsuji GY, Uehara G, Balas S (eds.) (1999) DSSAT model input parameters. University of Hawaii, Honolulu, Hawaii

  • Uehara G, Tsuji GY (1993) The IBSNAT project. In FWT Penning de Vries, P Teng, K Metselaar (eds) Systems approaches for agricultural development. Kluwer Academic Publishers, Dordrecht, the Netherlands, pp 505–513

  • Willmott J, Ackleson G, Davis E, Feddema J, Klink M, Legates R, Donnell O, Rowe M (1985) Statistics for the evaluation and comparison of models. J Geophysical Res 90(C5)8995–9005

    Google Scholar 

  • Rao Y, Reddy R (1998) Dynamic simulation of low land rice growth and yield in Andhra Pradesh. DST Project Completion Report. ARI, ANGRAU, RajendraNagar, Hyderabad

  • Cai Z, Sawamoto T, Li C, Kang G, Boonjawat J, Mosier A, Wassmann R, Tsuruta H (2003) Field validation of the DNDC model for green house gas emissions in East Asian cropping systems. Global Biogeochem Cycle 17(No.4):1107

    Google Scholar 

Download references

Acknowledgements

The research work is a part of the Indo-Japan multi-disciplinary ICT initiative ‘Geo-ICT and Sensor Network based Decision Support Systems for Agriculture and Environment Assessment’, sponsored by the DST and JST (project No: INT/JP/JST/P-07/2007).

Author information

Affiliations

Authors

Corresponding author

Correspondence to D. Sudharsan.

Rights and permissions

Reprints and Permissions

About this article

Cite this article

Sudharsan, D., Adinarayana, J., Reddy, D.R. et al. Evaluation of weather-based rice yield models in India. Int J Biometeorol 57, 107–123 (2013). https://doi.org/10.1007/s00484-012-0538-6

Download citation

  • Received:

  • Revised:

  • Accepted:

  • Published:

  • Issue Date:

  • DOI: https://doi.org/10.1007/s00484-012-0538-6

Keywords

  • Model accuracy assessment
  • Stand-alone DSSAT
  • Web-based SIMRIW
  • Weather-based rice yield models technologies