Abstract
Key message
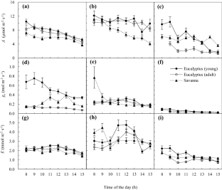
In terms of some specifics parameters, Eucalyptus and savanna trees were characterized by similar responses of resource use under field conditions. Remarkably, young eucalypt exhibited greater photosynthetic capacity, primarily in the dry season.
Abstract
Although a growing demand for paper and pulp is enhancing pressure for land use to increase eucalypt plantations in tropical savanna regions around the world, it has not been thoroughly characterized to date how eucalypt plantations perform in terms of energy, water and CO2 assimilation exchange compared to native savanna species. In this study, we performed an integrative analysis of diurnal changes in gas exchange, chlorophyll fluorescence (Fv/Fm) and water use efficiency of eucalypt and savanna species over a whole year in the Brazilian tropical savanna region in eastern Mato Grosso do Sul State. We also evaluated the response curves of net photosynthetic rate (A) in response to photosynthetic photon flux density in leaves of these species during both wet and dry seasons. Although dry season conditions led to decreases in all parameters, primarily in stomatal conductance (gs), Fv/Fm values remained above the level that causes photoinhibition. Young eucalypt exhibited mostly similar Amax values in wet and dry seasons, but adult eucalypt and savanna trees decreased their Amax by 83% and 69% in the dry season, respectively. Overall, all species were similar in photosynthetic terms and intrinsic water use efficiency (WUEi), as demonstrated via principal component analysis. Despite major differences between wet and dry seasons, eucalypt plantations and savanna woody species were characterized by similar responses of resource use efficiency under field conditions. Remarkably, young eucalypt was characterized by higher photosynthetic capacity, particularly during the dry season.






Similar content being viewed by others
Explore related subjects
Discover the latest articles and news from researchers in related subjects, suggested using machine learning.References
ABRAF (2013) Abraf Statistical Yearbook, base year 2012. Brazilian Association of Forest Plantation Producers, Brasília, p 148
Almeida AC, Soares JV, Landsberg JJ, Rezende GD (2007) Growth and water balance of Eucalyptus grandis hybrid plantations in Brazil during a rotation for pulp production. For Ecol Manag 251:10–21
Alvares CA, Stape JL, Sentelhas PC, Gonçalves JLM, Sparovek G (2013) Köppen’s climate classification map for Brazil. Meteorol Z 22:711–728
Alvares CA, Sentelhas PC, Mattos EM, Miranda AC, Moraes WB, Silva PHM, Furtado EL, Stape JL (2016) Climatic favourability zones for Eucalyptus rust in Brazil. Forest Pathol 47:1–17
Arndt SK, Sanders GJ, Bristow M, Hutley LB, Beringer J, Livesley SJ (2015) Vulnerability of native savanna trees and exotic Khaya senegalensis to seasonal drought. Tree Physiol 35:783–791
Arunyawat S, Shrestha RP (2016) Assessing land use change and its impact on ecosystem services in Northern Thailand. Sustainability 8:1–22
Baker IT, Harper AB, da Rocha HR, Denning AS, Araújo AC, Borma LS, Freitas HC, Goulden ML, Manzi AO, Miller SD, Nobre AD, Restrepo Coupe N, Saleska SR, StöckliR, von Randow C, Wofsy SC (2013) Surface ecophysiological behavior across vegetation and moisture gradients in tropical South America. Agric For Meteorol 182– 183:177–188
Binkley D, Stape JL, Ryan MG (2004) Thinking about efficiency of resource use in forests. For Ecol Manag 193:5–14
Binkley D, Stape JL, Bauerle WL, Ryan MG (2010) Explaining growth of individual trees: light interception and efficiency of light use by Eucalyptus at four sites in Brazil. For Ecol Manag 259:1704–1713
Björkman O, Demmig B (1987) Photo yield of O2 evolution and chlorophyll fluorescence characteristics at 77 K among vascular plants of diverse origins. Planta 170:61–66
Campoe OC, Stape JL, Laclau JP, Marsden C, Nouvellon Y (2012b) Stand level patterns of carbon fluxes and partitioning in a Eucalyptus grandis plantation across a gradient of productivity, in São Paulo state, Brazil. Tree Physiol 32:696–706
Campoe OC, Stape JL, Albaugh TJ, Allen HL, Fox TR, Rubilar R, Binkley D (2013a) Fertilization and irrigation effects on tree level aboveground net primary production, light interception and light use efficiency in a loblolly pine plantation. For Ecol Manag 288:43–48
Campoe OC, Stape JL, Nouvellon Y, Laclau JP, Bauerle WL, Binkley D, Maire GL (2013b) Stem production, light absorption and light use efficiency between dominant and non-dominant trees of Eucalyptus grandis across a productivity gradient in Brazil. For Ecol Manag 288:14–20
Campoe OC, Munhoz JS, Alvares CA, Carneiro RL, de Mattos EM, Ferez APC, Stape JL (2016) Meteorological seasonality affecting individual tree growth in forest plantations in Brazil. Forest Ecol Manag 380:149–160
Chen YP, Chen YN, LI WH, Xu CC (2006) Characterization of photosynthesis of Populus euphratica grown in the arid region. Photosynthetica 44:622–626
Cleverly J, Boulain N, Villalobos-Vega R, Grant N, Faux R, Wood C, Cook PC, Yu Q, Leigh A, Eamus D (2013) Dynamics of component carbon fluxes in a semi-arid Acacia woodland, central Australia. J Geophys Res-Biogeo 118:1168–1185
Colodette JL, Gomes CM, Gomes FJ, Cabral CP (2014) The Brazilian wood biomass supply and utilization focusing on eucalypt. Chem Biol Technol Agric 1:1–8
Costa AC, Rezende-Silva SL, Megguer CA, Moura LMF, Rosa M, Silva AA (2015) The effect of irradiance and water restriction on photosynthesis in young jatobá-do-cerrado (Hymenaea stigonocarpa) plants. Photosynthetica 53:118–127
da Rocha HR, Freitas HC, Rosolem R, Juarez R, Tannus RN, Ligo MA, Cabral OMR, Silva Dias MAF (2002) Measurements of CO2 exchange over a woodland savanna (Cerrado Sensu strictu) in southeast Brazil. Biota Neotrop 2:1–11
da Rocha HR, Manzi AO, Cabral OM, Miller SD, Goulden ML, Saleska SR, Coupe NR, Wofsy SC, Borma LS, Artaxo P, Vourlitis G, Nogueira JS, Cardoso FL, Nobre AD, Kruijt B, Freitas HC, von Randow C, Aguiar RG, Maia JF (2009) Patterns of water and heat flux across a biome gradient from tropical forest to savanna in Brazil. J Geophys Res 114:1–8
Dalmagro HJ, Lobo FA, Vourlitis GL, Dalmolin AC, Antunes Jr MZ, Ortíz CER, Nogueira JS (2014) The physiological light response of two tree species across a hydrologic gradient in Brazilian savanna (Cerrado). Photosynthetica 52:22–35
De Almeida MR, Aumond M, Da Costa CT, Schwambach J, Ruedell CM, Correa LR, Fett-Neto AG (2017) Environmental control of adventitious rooting in Eucalyptus and Populus cuttings. Trees 31:1377–1390
de Lara NOT, da Silva MR, Nogueira A, Marcati CR (2017) Duration of cambial activity is determined by water availability while cambial stimulus is day-length dependent in a Neotropical evergreen species. Environ Exp Bot 141:50–59
Dias LCP, Pimenta FM, Santos AB, Costa MH, Ladle RJ (2016) Patterns of land use, extensification, and intensification of Brazilian agriculture. Glob Change Biol 22:2887–2903
Eamus D, Hutley LB, O’Grady AP (2001) Daily and seasonal patterns of carbon and water fluxes above a north Australian savanna. Tree Physiol 21:977–988
Eamus D, Cleverly J, Boulain N, Grant N, Faux R, Villalobos-Vega R (2013) Carbon and water fluxes in an arid-zone Acacia savanna woodland: An analyses of seasonal patterns and responses to rainfall events. Agric For Meteorol 182–183:225–238
Eiten G (1972) The cerrado vegetation of Brazil. Bot Rev 38:201–341
Epron D, Laclau JP, Almeida JCR, Gonçalves JLM, Ponton S, SetteJr CR, Delgado-Rojas JS, Bouillet JP, Nouvellon Y (2011) Do changes in carbon allocation account for the growth response to potassium and sodium applications in tropical. Eucalyptus Plantations? Tree Physiol 32:667–679
Fan PG, Li LS, Duan W, Li WD, Li S (2010) Photosynthesis of young apple trees in response to low sink demand under different air temperatures. Tree Physiol 30:313–325
Fan Z, Neff JC, Hanan NP (2015) Modeling pulsed soil respiration in an African savanna ecosystem. Agr Forest Meteorol 200:282–292
FAO (2014) State of the word’s forest. Food and Agriculture Organization of the United Nations, Rome, p 133
Farquhar GD, Ehleringer JR, Hubick KT (1989) Carbon isotope discrimination and photosynthesis. Annu Rev Plant Phys 40:503–537
Forrester DI, Collopy JJ, Beadle CL, Baker TG (2013) Effect of thinning, pruning and nitrogen fertilizer on light interception and light-use efficiency in a young Eucalyptus nitens plantation. For Ecol Manag 288:21–30
Franco AC, Lüttge U (2002) Midday depression in savanna trees: coordinated adjustments in photochemical, efficiency, photorespiration, CO2 assimilation and water use efficiency. Oecologia 131:356–365
Franco AC, Matsubara S, Orthen B (2007) Photoinhibition, carotenoid composition and the co-regulation of photochemical and non-photochemical quenching in neotropical savanna trees. Tree Physiol 27:717–725
Furley PA (1999) The nature and diversity of neotropical savanna vegetation with particular reference to the Brazilian cerrados. Global Ecol Biogeogr 8:223–241
Giambelluca TW, Scholz FG, Bucci SJ, Meinzer FC, Goldstein G, Hoffmann WA, Franco AC, Buchert MP (2009) Evapotranspiration and energy balance of Brazilian savannas with contrasting tree density. Agric For Meteorol 149:1365–1376
Gonçalves JLM, Stape JL, Laclau JP, Bouillet JP, Ranger J (2008) Assessing the effects of early silvicultural management on long-term site productivity of fast growing eucalypt plantations: the Brazilian experience. South For 70:105–118
Hammer O, Harper DAT, Ryan PD (2001) PAST: Palaeontological statistics software package for education and data analysis. Palaeontol Electron 4:9–17
Hok L, Sá JCM, Boulakia S, Reyes M, Leng V, Kong R, Tivet FE, Briedis C, Hartman D, Ferreira LA (2015) Short-term conservation agriculture and biomass-C input impacts on soil C dynamics in a savanna ecosystem in Cambodia. Agric Ecosyst Environ 214:54–67
IBÁ (2016) Brazilian Tree Industry. Performance indicators for the Brazilian planted tree sector, base year 2015. Brasília, p 100
Iqbal RM, Rao AU, Rasul E, Wahid A (1996) Mathematical models and response functions in photosynthesis: an exponential model. In: Pessarakli M (ed) Handbook of photosynthesis. Dekker, New York, pp 803–810
Laclau JP, Deleporte P, Ranger J, Bouillet JP, Kazotti G (2003) Nutrient dynamics throughout the rotation of Eucalyptus clonal stands in Congo. Ann Bot 91:879–892
Lapola DM, Martinelli LA, Peres CA, Ometto JP, Ferreira ME, Nobre CA, Aguiar APD, Bustamante MM, Cardoso MF, Costa MH (2014) Pervasive transition of the Brazilian land-use system. Nat Clim Chang 4:27–35
Larchevêque M, Maurel M, Desrochers A, Larocque GR (2011) How does drought tolerance compare between two improved hybrids of balsam poplar and an unimproved native species? Tree Physiol 31:240–249
Lewis JD, Phillips NG, Logan BA, Hricko CR, Tissue DT (2011) Leaf photosynthesis, respiration and stomatal conductance in six Eucalyptus species native to mesic and xeric environments growing in a common garden. Tree Physiol 31:997–1006
Lobo FA, Barros MP, Dalmagro HJ, Dalmolin ÂC, Pereira WE, Souza ÉC, Vourlitis GL, Rodriguez Ortiz CE (2013) Fitting net photosynthetic light-response curves with Microsoft Excel – a critical look at the models. Photosynthetica 51:445–456
Long SP, Bernacchi CJ (2003) Gas exchange measurements, what can they tell us about the underlying limitations to photosynthesis? Procedures and source of errors. J Exp Bot 54:2393–2401
Long SP, Farage PK, Garcia RL (1996) Measurement of leaf and canopy photosynthetic CO2 exchange in the field. J Exp Bot 47:1629–1642
Mayr MJ, Samimi C (2015) Comparing the dry season in-situ Leaf Area Index (LAI) derived from high-resolution rapideye imagery with MODIS LAI in a namibian Savanna. Rem Sens 7:4834–4857
Meinzer FC, Goldstein G, Franco AC, Bustamante M, Igler E, Jackson O, Caldas L, Rundel PW (1999) Atmospheric and hydraulic limitations on transpiration in Brazilian cerrado woody species. Funct Ecol 13:273–282
Miranda AC, Miranda HS, Lloyd J, Grace J, Francey RJ, McIntyre JA, Meir P, Riggan P, Lockwood R, Brass J (1997) Fluxes of carbon, water and energy over Brazilian cerrado: an analysis using eddy covariance and stable isotopes. Plant Cell Environ 20:315–328
Nobel PS (2009) Physicochemical and environmental plant physiology, 4th edn. Academic Press, Burlington
Nogueira A, Martinez CA, Ferreira LL, Prado CHBA (2004) Photosynthesis and water use efficiency in twenty tropical tree species of differing succession status in a Brazilian reforestation. Photosynthetica 42:351–356
Noormets A, Epron D, Domec JC, McNulty SG, Fox T, Sun G, King JS (2015) Effects of forest management on productivity and carbon sequestration: a review and hypothesis. For Ecol Manag 355:124–140
Novick KA, Ficklin DL, Stoy PC, Williams CA, Bohrer G, Oishi AC, Papuga SA, Blanken PD, Noormets A, Sulman BN, Scott RL, Wang L, Phillips RP (2016) The increasing importance of atmospheric demand for ecosystem water and carbon fluxes. Nat Clim Change 6:1023–1027 (online)
O’Grady AP, Worledge D, Battaglia M (2008) Constraints on transpiration of Eucalyptus globulus in southern Tasmania, Australia. Agric For Meteorol 148:453–465
Oliveira PTS, Wendland E, Nearing MA, Scott RL, Rosolem R, da Rocha HR (2015) The water balance components of undisturbed tropical woodlands in the Brazilian cerrado. Hydrol Earth Syst Sc 19:2899–2910
Pellegrini AF (2016) Nutrient limitation in tropical savannas across multiple scales and mechanisms. Ecology 97:313–324
Pfeifer M, Lefebvre V, Gonsamo A, Pellikka PK, Marchant R, Denu D, Platts PJ (2014) Validating and linking the GIMMS leaf area index (LAI3g) with environmental controls in tropical Africa. Remote Sens 6:1973–1990
Prado CHBA, Moraes JAPV (1997) Photosynthetic capacity and leaf specific mass in twenty woody species of cerrado vegetation. Photosynthetica 33:103–112
Reis MG, Ribeiro A, Baesso RCE, Souza WG, Fonseca S, Loos RA (2014) Balanço hídrico e de energia para plantios de eucalipto com cobertura parcial do solo. Cienc Florest 24:117–126
Rodrigues TR, Vourlitis GL, Lobo FDA, Santanna FB, de Arruda PH, Nogueira JDS (2016) Modeling canopy conductance under contrasting seasonal conditions for a tropical savanna ecosystem of south central Mato Grosso, Brazil. Agric For Meteorol 218–219:218–229
Ryan MG, Stape JL, Binkley D, Fonseca S, Loos RA, Takahashi EN, Silva CR, Silva SR, Hakamada RE, Ferreira JM, Lima AMN, Gava JL, Leite FP, Andrade HB, Alves JM, Silva GGC (2010) Factors controlling Eucalyptus productivity: how resource availability and stand structure alter production and carbon allocation. For Ecol Manag 259:1695–1703
Ryu Y, Sonnentag O, Nilson T, Vargas R, Kobayashi H, Wenk R, Baldocchi DD (2010c) How to quantify tree leaf area index in a heterogeneous savanna ecosystem: a multi-instrument and multi-model approach. Agric For Meteorol 150:63–76
Silva FAS, Azevedo CAV (2016) The Assistat Software Version 7.7 and its use in the analysis of experimental data. Afr J Agric Res 11:3733–3740
Stape JL, Dan B, Ryan MG, Gomes AN (2004a) Water use, water limitation and water use efficiency in a Eucalyptus plantation. Bosque 25:35–41
Stape JL, Binkley D, Ryan MG (2004b) Eucalyptus production and the supply, use and efficiency of use of water, light and nitrogen across a geographic gradient in Brazil. For Ecol Manag 193:17–31
Stape JL, Binkley D, Ryan MG, Fonseca S, Loos RA, Takahashi EN, Silva CR, Silva SR, Hakamada RE, Ferreira JM, Lima AMN, Gava JL, Leite FP, Andrade HB, Alves JM, Silva GGC, Azevedo MR (2010) The Brazil Eucalyptus productivity project: influence of water, nutrients and stand uniformity on wood production. For Ecol Manag 259:1684–1694
Vourlitis GL, da Rocha HR (2011) Flux dynamics in the Cerrado and Cerrado-Forest Transition of Brazil. In: Hill MJ, Hanan NP (eds) Ecosystem Function in Savannas: Measurements and Modeling at Landscape to Global Scales. CRC Press, Boca Raton
Vourlitis GL, Priante-Filho N, Hayashi MMS, Nogueira JS, Caseiro FT, CampeloJr JH (2001) Seasonal variations in the net ecosystem CO2 exchange of a mature Amazonian tropical transitional forest (cerradão). Funct Ecol 15:388–395
Vourlitis GL, Lobo FA, Lawrence S, Lucena IC, Dalmagro OBPHJ, Ortiz CER, Nogueira JS (2013) Variations in stand structure and diversity along a soil fertility gradient in a Brazilian savanna (Cerrado) in southern Mato Grosso. Soil Sci Soc Am J 77:1370–1379
Welles JM, Norman JM (1991) Instrument for indirect measurement of canopy architecture. Agron J 83:818–825
Whitehead D, Beadle CL (2004) Physiological regulation of productivity and water use in Eucalyptus: a review. For Ecol Manag 193:113–140
Wijitkosum S (2016) The impact of land use and spatial changes on desertification risk in degraded areas in Thailand. Sustain Environ Res 26:84–92
Acknowledgements
We are grateful to Fibria Celulose S.A. for financial support and for logistical and human resources. The contributions of all field staff of Fibria Celulose S.A. are gratefully acknowledged, in addition to the support of Ms. Hugo Thaner dos Santos and Ms. Marcel Carvalho Abreu with the statistical analysis. We equally acknowledge Dr. Richard W. Bell (Murdoch University) for critical English language review of and suggestions regarding this work. We also thank two anonymous reviewers for their comments and suggestions which helped improve the manuscript.
Funding
This research was financially supported by the National Council for Scientific and Technological Development (CNPq, process 184179/2015-1), Coordination for Scientific Support for Post-Graduate Level Training (CAPES), Foundation for Research Assistance of the Minas Gerais State (FAPEMIG) and Fibria Celulose S.A. Company.
Author information
Authors and Affiliations
Corresponding author
Ethics declarations
Conflict of interest
The authors declare that they have no conflict of interest.
Additional information
Communicated by Braeuning.
Publisher’s Note
Springer Nature remains neutral with regard to jurisdictional claims in published maps and institutional affiliations.
Electronic supplementary material
Below is the link to the electronic supplementary material.
Rights and permissions
About this article
Cite this article
Reis, M.G., Ribeiro, A., Alves, E.E.N. et al. Maximum CO2 assimilation in young Eucalyptus plantations is higher than in Brazilian savanna trees during dry field seasons. Trees 33, 543–556 (2019). https://doi.org/10.1007/s00468-018-1800-2
Received:
Accepted:
Published:
Issue Date:
DOI: https://doi.org/10.1007/s00468-018-1800-2


