Abstract
Key message
The genome doubling of the allotetraploid somatic hybrid can confer greater tolerance to cold and light stress than the diploid parents and their respective tetraploid.
Abstract
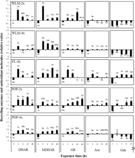
Allopolyploids are generally known to display broader adaptation to abiotic stresses than their parental diploid species. In the Mediterranean area, Citrus species are subjected to abiotic constraints such as low temperature and high radiation. Tetraploids are known to resist these environmental constraints better, and so the use of new tetraploid rootstocks offers an alternative to overcome these threats to crop productivity. The objective of this study was to determine whether the use of an allotetraploid hybrid could provide greater tolerance to cold and light stresses than its diploid parents or respective doubled-diploid parents. We compared cold and light stress responses of the allotetraploid hybrid FlhorAG1 (FL-4x) with those of its diploid parents, the willow leaf mandarin (Citrus deliciosa Ten) (WLM-2x) and the Poncirus Pomeroy (Poncirus trifoliata (L.) Raf.) (POP-2x), and their respective doubled-diploids (WLM-4x and POP-4x, respectively) by measuring physiological and biochemical parameters. When subjected to cold and light stress, FL-4x showed lower photoinhibition (Fv/Fm) and less accumulation of oxidative markers (MDA and H2O2) than diploid and doubled-diploid WLM and POP genotypes. This was correlated with a greater increase for FL-4x in some antioxidant activities during cold stress (SOD, APX and GR) and light stress (SOD, APX and MDHAR mainly). Overall, our results suggest that greater antioxidant capability in FL-4x should make this allotetraploid hybrid more tolerant to low temperatures than the two WLM genotypes, and more tolerant to light stress than the two WLM and POP genotypes.







References
Aïnouche ML, Fortune PM, Salmon A, Parisod C, Grandbastien M-A, Fukunaga K, Ricou M, Misset M-T (2009) Hybridization, polyploidy and invasion: lessons from Spartina. (Poaceae) Bio Invasions 11:1159
Aleza P, Froelicher Y, Schwarz S, Agustí M, Hernández M, Juárez J, Luro F, Morillon R, Navarro L, Ollitrault P (2011) Tetraploidization events by chromosome doubling of nucellar cells are frequent in apomictic citrus and are dependent on genotype and environment. An Bot 108:37–50
Allario T, Brumos J, Colmedore-Flores JM, Iglesias DJ, Pina JA, Navarro L, Talon M, Ollitrault P, Morillon R (2013) Tetraploid Rangpur lime rootstock increases drought tolerance via enhanced constitutive root abscisic acid production. Plant Cell Environ 36:856–868
Apel K, Hirt H (2004) Reactive oxygen species: metabolism, oxidative stress, and signal transduction. Annu Rev Plant Biol 55:373–399
Ashraf M, Harris PJC (2013) Photosynthesis under stressful environments: an overview. Photosynthetica 51:163–190
Balal RM, Shahid MA, Vincent C, Zotarelli L, Liu G, Mattson NS, Rathinasabapathi B, Martínez-Nicolas JJ, Garcia-Sanchez F (2017) Kinnow mandarin plants grafted on tetraploid rootstocks are more tolerant to Cr-toxicity than those grafted on its diploids one. Environ Exp Bot 140:8–18
Bertrand B, Bardil A, Baraille H, Dussert S, Doulbeau S, Dubois E, Severac D, Dereeper A, Etienne H (2015) The greater phenotypic homeostasis of the allopolyploid Coffea arabica improved the transcriptional homeostasis over that of both diploid parents. Plant Cell Physiol 56:2035–2051
Chao D-Y, Dilkes B, Luo H, Douglas A, Yakubova E, Lahner B, Salt DE (2013) Polyploids exhibit higher potassium uptake and salinity tolerance in Arabidopsis. Science 341:658–659
Cimen B, Yesiloglu T (2016) Rootstock breeding for abiotic stress tolerance in citrus. In: Shanker AK, Shanker C (eds), Abiotic and biotic stress in plants—recent advances and future perspectives. InTech, Rijeka
Coate JE, Doyle JJ (2013) Genomics and transcriptomics of photosynthesis in polyploids. Polyploid Hybrid Genom. https://doi.org/10.1002/9781118552872.ch9
Coate JE, Luciano AK, Seralathan V, Minchew KJ, Owens TG, Doyle JJ (2012) Anatomical, biochemical, and photosynthetic responses to recent allopolyploidy in Glycine dolichocarpa (Fabaceae). Am J Bot 99:55–67
Comai L (2005) The advantages and disadvantages of being polyploid. Nat Rev Genet 6:836–846
Dambier D, Benyahia H, Pensabene-Bellavia G, Kaçar YA, Froelicher Y, Belfalah Z, Lhou B, Handaji N, Printz B, Morillon R (2011) Somatic hybridization for citrus rootstock breeding: an effective tool to solve some important issues of the Mediterranean citrus industry. Plant Cell Rep 30:883–900
Ehrendorfer F (1980) Polyploidy and distribution. Springer, Boston
Gill SS, Tuteja N (2010) Reactive oxygen species and antioxidant machinery in abiotic stress tolerance in crop plants. Plant Physiol Biochem 48:909–930
Grant V (1981) Plant speciation. New York: Columbia University Press xii, 563p.-illus., maps, chrom. nos. En 2nd edn. Maps, Chromosome numbers. General (KR, 198300748)
Grosser JW, Gmitter FG Jr (2011) Protoplast fusion for production of tetraploids and triploids: applications for scion and rootstock breeding in citrus. Plant Cell Tissue Organ Cult 104:343–357
Haleng J, Pincemail J, Defraigne J-O, Charlier C, Chapelle J-P (2007) Le stress oxydant. Rev Méd Liège 62:628–638
Hertwig B, Streb P, Feierabend J (1992) Light dependence of catalase synthesis and degradation in leaves and the influence of interfering stress conditions. Plant Physiol 100:1547–1553
Ilut DC, Coate JE, Luciano AK, Owens TG, May GD, Farmer A, Doyle JJ (2012) A comparative transcriptomic study of an allotetraploid and its diploid progenitors illustrates the unique advantages and challenges of RNA-seq in plant species. Am J Bot 99:383–396
Karuppanapandian T, Moon J-C, Kim C, Manoharan K, Kim W (2011) Reactive oxygen species in plants: their generation, signal transduction, and scavenging mechanisms. Aust J Crop Sci 5:709
Krause GH, Briantais J-M, Vernotte O (1983) Characterization of chlorophyll fluorescence quenching in chloroplasts by fluorescence spectroscopy at 77 K I. ∆pH-dependent quenching. Biochim Biophys Acta 723:169–175
Krueger RR, Navarro L (2007) Citrus germplasm resources. In: Khan I, (eds) Citrus genetics, breeding and biotechnology. Cabi Cambridge pp 45–140
Lee L (1988) Citrus polyploidy—origins and potential for cultivar improvement. Aust J Agric Res 39:735
Leitch IJ, Bennett MD (1997) Polyploidy in angiosperms. Trends Plant Sci 2:470–476
Leitch AR, Leitch IJ (2008) Genomic plasticity and the diversity of polyploid plants. Science 320:481–483
Levin DA (1983) Polyploidy and novelty in flowering plants. Am Nat 122:1–25
Manzaneda AJ, Rey PJ, Anderson JT, Raskin E, Weiss-Lehman C, Mitchell-Olds T (2015) Natural variation, differentiation, and genetic trade-offs of ecophysiological traits in response to water limitation in Brachypodium distachyon and its descendent allotetraploid B. hybridum (Poaceae). Evolution 69:2689–2704
Masterson J (1994) Stomatal size in fossil plants: evidence for polyploidy in majority of angiosperms. Science 264:421–424
Maxwell K, Johnson GN (2000) Chlorophyll fluorescence—a practical guide. J Exp Bot 51:659–668
Mittler R (2002) Oxidative stress, antioxidants and stress tolerance. Trends Plant Sci 7:405–410
Mouhaya W, Allario T, Brumos J, Andrés F, Froelicher Y, Luro F, Talon M, Ollitrault P, Morillon R (2010) Sensitivity to high salinity in tetraploid citrus seedlings increases with water availability and correlates with expression of candidate genes. Funct Plant Biol 37:674–685
Müller-Xing R, Xing Q, Goodrich J (2014) Footprints of the sun: memory of UV and light stress in plants. Front Plant Sci 5:474
Murata N, Takahashi S, Nishiyama Y, Allakhverdiev SI (2007) Photoinhibition of photosystem II under environmental stress. Biochim Biophys Acta Bioenerg 1767:414–421
Ollitrault P, Dambier D, Froelicher Y, Carreel F, D’Hont A, Luro F, Bruyère S, Cabasson C, Lotfy F, Joumaa A, Vanel F, Maddi F, Treanton K, Grisoni M (2000) Apport de l’hybridation somatique pour l’exploitation des ressources génétiques des agrumes. Cahiers Agric 9:223–236
Ollitrault P, Dambier D, Luro F, Froelicher Y (2008) Ploidy manipulation for breeding seedless triploid citrus. Plant Breed Rev 30:323–352
Otto SP, Whitton J (2000) Polyploid incidence and evolution. Annu Rev Genet 34:401–437
Oustric J, Morillon R, Luro F, Herbette S, Lourkisti R, Giannettini J, Berti L, Santini J (2017) Tetraploid Carrizo citrange rootstock (Citrus sinensis L. Osb. Poncirus trifoliata L. Raf.) enhances natural chilling stress tolerance of common clementine (Citrus clementina Hort. ex Tan). J Plant Physiol 214:108–115
Ruiz M, Quiñones A, Martínez-Alcántara B, Aleza P, Morillon R, Navarro L, Primo-Millo E, Martínez-Cuenca M-R (2016a) Tetraploidy enhances boron-excess tolerance in carrizo citrange (Citrus sinensis L. Osb. Poncirus trifoliata L. Raf.). Front Plant Sci 7:701
Ruiz M, Quiñones A, Martínez-Cuenca M-R, Aleza P, Morillon R, Navarro L, Primo-Millo E, Martínez-Alcántara B (2016b) Tetraploidy enhances the ability to exclude chloride from leaves in Carrizo citrange seedlings. J Plant Phy 205:1–10
Santini J, Giannettini J, Pailly O, Herbette S, Ollitrault P, Berti L, Luro F (2013) Comparison of photosynthesis and antioxidant performance of several Citrus and Fortunella species (Rutaceae) under natural chilling stress. Trees Struct Funct 27:71–83
Scandalios JG (2005) Oxidative stress: molecular perception and transduction of signals triggering antioxidant gene defenses. Braz J Med Biol Res 38:995–1014
Shang W, Feierabend J (1999) Dependence of catalase photoinactivation in rye leaves on light intensity and quality and characterization of a chloroplast-mediated inactivation in red light. Photosyn Res 59:201–213
Sun Z, Ma X (1998) Thermostability of plasma membrane in citrus leaves. J Huazhong Agric Univ 18:375–377
Swingle WT, Reece PC, Reuther W, Webber HJ, Batchelor LD (1967) The citrus industry. University of California Press, Berkeley
Tan F-Q, Tu H, Liang W-J, Long J-M, Wu X-M, Zhang H-Y, Guo W-W (2015) Comparative metabolic and transcriptional analysis of a doubled diploid and its diploid citrus rootstock (C. junos cv. Ziyang xiangcheng) suggests its potential value for stress resistance improvement. BMC Plant Bio 15:89
Wendel JF (2000) Genome evolution in polyploids. Plant Mol Evol. 42:225–249
Acknowledgements
This work was funded by the Collectivité Territoriale de Corse (CTC).
Author information
Authors and Affiliations
Corresponding author
Ethics declarations
Conflict of interest
The authors have no conflicts of interest to declare.
Additional information
Communicated by R. Alia.
Electronic supplementary material
Below is the link to the electronic supplementary material.
Rights and permissions
About this article
Cite this article
Oustric, J., Morillon, R., Ollitrault, P. et al. Somatic hybridization between diploid Poncirus and Citrus improves natural chilling and light stress tolerances compared with equivalent doubled-diploid genotypes. Trees 32, 883–895 (2018). https://doi.org/10.1007/s00468-018-1682-3
Received:
Accepted:
Published:
Issue Date:
DOI: https://doi.org/10.1007/s00468-018-1682-3