Abstract
Key message
Calibration of sap flux density equations for Eucalytus is required when using sapflow thermal dissipation probes to avoid large underestimations of transpiration and water use.
Abstract
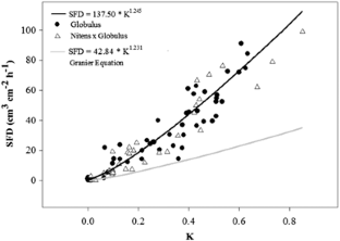
Eucalyptus plantations are expanding in response to global wood demand but are raising concerns about their impacts on water supplies. Sustainable plantation management in areas with water conflicts will require accurate assessments of tree and stand water use. Thermal dissipation probes have been used to estimate tree water use, but recent work suggests that species-specific calibrations may be required to obtain accurate results. In this study, we quantified sap flux density (SFD) in 2-year-old Eucalyptus globulus Labill (Eg) and E. nitens × globulus (Eng) species using the thermal dissipation method developed by Granier. For each species we compared the original Granier equation with species-specific calibrations using whole tree potometers over a 36-h period. Our results showed that on average, Granier’s original equation significantly underestimated SFD in both species, and when scaled to the stand level, tree transpiration (Ec) was significantly lower compared to onsite calibrations. The Granier method also underestimated nocturnal transpiration for both genotypes. Measured calibration coefficients were similar and not statistically different between Eg and Eng. These results highlight the importance of species-specific calibrations using thermal dissipation probes for Eucalyptus species to improve stand water use estimates and inferences about ecological impacts.




References
Albaugh JM, Dye PJ, King JS (2013) Eucalyptus and Water Use in South Africa. Int J For Res 2013(852540):11. doi:10.1155/2013/852540
Almeida AC, Soares JV, Landsberg JJ, Rezendea GD (2007) Growth and water balance of Eucalyptus grandis hybrid plantations in Brazil during a rotation for pulp production. For Ecol Manage 251:10–21
Braun P, Schmid J (1999) Sap flow measurements in grapevines—scope and limits of heat balance and granier-type sensors. Acta Hortic 493:169–176
Bush SE, Hultine KR, Sperry JS, Ehleringer JR, Phillips N (2010) Calibration of thermal dissipation sap flow probes for ring- and diffuse-porous trees. Tree Physiol 30:1545–1554
Calder IR, Rosier PTW, Prasanna KT, Parameswarappa S (1999) Eucalyptus water use greater than rainfall input—possible explanation from southern India. Hydrol Earth Syst Sci 1:249–256. doi:10.5194/hess-1-249-1997
Clearwater MJ, Meinzer FC, Andrade JL, Goldstein G, Holbrook NM (1999) Potential errors in measurement of nonuniform sap flow using heat dissipation probes. Tree Physiol 19:681–687
Dye PJ (1996) Response of Eucalyptus grandis trees to soil water deficits. Tree Physiol 16:233–238
Dye PJ (2000) Water use efficiency in South African Eucalyptus plantations: a review. South Afr For J 189:17–26. doi:10.1080/10295925.2000.9631276
Forrester DI, Collopy JJ, Morris JD (2010) Transpiration along an age series of Eucalyptus globulus plantations in southeastern Australia. For Ecol Manage 259:1754–1760
Forster MA (2014) How significant is nocturnal sap flow? Tree Physiol 34:757–765
Gebauer T, Horna V, Leuschner C (2008) Variability in radial sap flux density patterns and sapwood area among seven co-occurring temperate broad-leaved tree species. Tree Physiol 28:1821–1830
Granier A (1985) Une nouvelle méthode pour la mesure du flux de sève brute dans le tronc des arbres. Ann For Sci 42:193–200
Granier A (1987) Evaluation of transpiration in a Douglas-fir stand by means of sap flow measurements. Tree Physiol 3:309–320
Gurovich LA, Holmberg J, Lyon A (1996) Eucalyptus globulus growth and water use under different irrigation regimes. Ciencia e Investigacion Agraria 23:61–79.
Hoeber S, Leuschner C, Köhler L, Arias-Aguilar D, Schuldt B (2014) The importance of hydraulic conductivity and wood density to growth performance in eight tree species from a tropical semi-dry climate. For Ecol Manage 330:126–136
Hoekstra AY, Mekonnen MM (2012) The water footprint of humanity. Proc Natl Acad Sci USA 109:3232–3237. doi:10.1073/pnas.1109936109
Hubbard RM, Ryan MG, Giardina CP, Barnard H (2004) The effect of fertilization on sap flux and canopy conductance in a Eucalyptus saligna experimental forest. Global Change Biol 10:427–436
Hubbard RM, Stape J, Ryan MG, Almeida AC, Rojas J (2010) Effects of irrigation on water use and water use efficiency in two fast growing Eucalyptus plantations. For Ecol Manage 259:1714–1721
Hultine KR, Bush SE, Ehleringer JR (2010) Ecophysiology of riparian cottonwood and willow before, during, and after two years of soil water removal. Ecol Appl 20:347–361
Iglesias GT, Wistermann D (2008) Global cultivated Eucalyptus forest map v 1.0. Eucalyptologics: information on Eucalyptus cultivation worlwide. GIT Forestry Consulting. http://www.git-forestry.com. Accessed 15 Mar 2016
Lu P, Urban L, Zhao P (2004) Granier’s thermal dissipation probe (TDP) method for measuring sap flow in trees: theory and practice. Acta Bot Sin 46:631–646
Medhurst JL, Beadle CL (2002) Sapwood hydraulic conductivity and leaf area—sapwood area relationships following thinning of a Eucalyptus nitens plantation. Plant Cell Environ 25(8):1011–1019
Morris J, Zhang NN, Yang ZJ, Collopy J, Xu DP (2004) Water use by fast-growing Eucalyptus urophylla plantations in southern China. Tree Physiol 24:1035–1044
Nadezhdina N, Čermák J, Ceulemans R (2002) Radial patterns of sap flow in woody stems of dominant and understory species: scaling errors associated with positioning of sensors. Tree Physiol 22:907–918
Navarrete-Campos D, Bravo LA, Rubilar RA, Emhart V, Sanhueza R (2012) Drought effects on water use efficiency, freezing tolerance and survival of Eucalyptus globulus and Eucalyptus globulus × nitens cuttings. New Forest 44:119–134
Olbrich BW, Le Roux D, Poulter AG, Bond WJ, Stock WD (1993) Variation in water use efficiency and δ13 C levels in Eucalyptus grandis clones. J Hydrol 150:615–633
Osorio J, Pereira J (1994) Genotypic differences in water use efficiency and 13 C discrimination in Eucalyptus globulus. Tree Physiol 14:871–882
Otto MSG, Hubbard RM, Binkley D, Stape JL (2014) Dominant clonal Eucalyptus grandis × urophylla trees use water more efficiently. For Ecol Manage 328:117–121
Pfautsch S, Bleby TM, Rennenberg H, Adams MA (2010) Sap flow measurements reveal influence of temperature and stand structure on water use of Eucalyptus regnans forests. For Ecol Manage 259:1190–1199
Phillips NG, Lewis JD, Logan BA, Tissue DT (2010) Inter- and intra-specific variation in nocturnal water transport in Eucalyptus. Tree Physiol 30:586–596
Resco de Dios V, Loik ME, Smith R, Aspinwall MJ, Tissue DT (2016) Genetic variation in circadian regulation of nocturnal stomatal conductance enhances carbon assimilation and growth. Plant Cell Environ 39:3–11
Roberts S, Vertessy R, Grayson R (2001) Transpiration from Eucalyptus sieberi (L. Johnson) forests of different age. For Ecol Manage 143:153–161
Searson MJ, Thomas DS, Montagu KD, Conroy JP (2004) Wood, density and anatomy of water-limited eucalypts. Tree Physiol 24:1295–1302
Vellame LM, Coelho Filho MA, Paz VPS (2009) Transpiration in mango using Granier method. Rev Bras Eng Agric Ambient 13:516–523
Watt MS, Rubilar RA, Kimberley MO, Kriticos DJ, Emhart V, Mardones O, Acevedo M, Pincheira M, Stape JL, Fox TR (2014) Using seasonal measurements to inform ecophysiology: extracting cardinal growth temperatures for process-based growth models of five Eucalyptus species/crosses from simple field trials. New Zealand J Forest Sci 44:9. doi:10.1186/s40490-014-0009-4
Whitehead D, Beadle CL (2004) Physiological regulation of productivity and water use in Eucalyptus: a review. For Ecol Manage 193:113–140
Willigen CV, Pammenter NW (1998) Relationship between growth and xylem hydraulic characteristics of clones of Eucalyptus spp. at contrasting sites. Tree Physiol 18:595–600
Wullschleger SD, King AW (2000) Radial variation in sap velocity as a function of stem diameter and sapwood thickness in yellow-poplar trees. Tree Physiol 20:511–518
Wullschleger SD, Meinzer FC, Vertessy RA (1998) A review of whole-plant water use studies in trees. Tree Physiol 18:499–512
Yin G-C, Zhou G-Y, Morris J, Huang Z-H, Chu G-W (2004) Sap flow response of Eucalyptus (Eucalyptus urophylla) to environmental stress in South China. J Zhejiang Univ Sci 5:1218–1225. doi:10.1631/jzus.2004.1218
Zang D, Beadle CL, White DA (1996) Variation of sapflow velocity in Eucalyptus globulus with position in sapwood and use of a correction coefficient. Tree Physiol 16:697–703
Zhang ZZ, Zhao P, Oren R, McCarthy HR, Niu JF, Zhu LW, Ni GY, Huang YQ (2015) Water use strategies of young Eucalyptus urophylla forest in response to seasonal change of climatic factors in South China. Biogeosci Discuss 12:10469–10510. doi:10.5194/bgd-12-10469-2015
Zhou G-Y, Huang Z-H, Morris J, Li Z-A, Collopy J, Zhang N-N, Bai J-Y (2002) Radial variation in sap flux density as a function of sapwood thickness in two Eucalyptus (Eucalyptus urophylla) plantations. Acta Botanica Sinica 44(12):1418–1424
Acknowledgements
We also would like to acknowledge forest engineers Mr. Juan Espinosa, Leonardo Muñoz and Yuri Burgos for their dedication and help during the field campaigns. We gratefully acknowledge the genetic material, study sites and logistic support provided by Forestal Celco and Forestal Mininco Forest Companies. We appreciate the scientific support of the Departamento de Silvicultura, Facultad de Ciencias Forestales, Universidad de Concepción and the USDA Forest Service Rocky Mountain Research Station. Funding for this work was provided by the Chilean agency Fondo de Fomento al Desarrollo Científico y Tecnológico Grant FONDEF D11i1161 for the project “Eucahydro: Tools for early Eucalyptus genotypes selection on water use, water use efficiency and drought resistance”.
Author information
Authors and Affiliations
Corresponding author
Ethics declarations
Conflict of interest
The authors declare that they have no conflict of interest. Funding for this work was provided by the Chilean agency “Fondo de Fomento al Desarrollo Científico y Tecnológico” Grant FONDEF D11i1161 Granted to Dr. Rafael Rubilar.
Additional information
Communicated by T. Roetzer.
Rights and permissions
About this article
Cite this article
Rubilar, R.A., Hubbard, R.M., Yañez, M.A. et al. Quantifying differences in thermal dissipation probe calibrations for Eucalyptus globulus species and E. nitens × globulus hybrid. Trees 31, 1263–1270 (2017). https://doi.org/10.1007/s00468-017-1545-3
Received:
Accepted:
Published:
Issue Date:
DOI: https://doi.org/10.1007/s00468-017-1545-3