Abstract
Key message
The allometric relationship of Scots pine height versus diameter is not constant and does not follow elastic similarity and geometric scaling rules in Eastern Europe.
Abstract
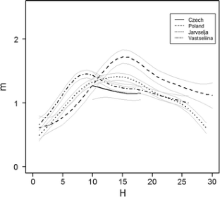
Scots pine is one of the most widely distributed tree species in Europe. It occurs in the boreal forest but also occupies vast areas on dry sites of the Mediterranean region and on continental sites in Central and Eastern Europe. Improved understanding of the influence of climatic factors, forest management and tree interactions on the relationship between tree height and stem diameter is necessary for sustainable forest management. The main objective of the present study was to study the changes in the stem allometry of Scots pine and to classify them using the periodic allometric coefficient of the height–diameter relationship. Periodic (annual) height and diameter increment data of 114 trees with observation periods from 40 to 115 years from three European countries including Estonia, Poland and the Czech Republic was used. Periodic allometric coefficients were calculated for the whole trees’s observation period to identify the effect of different environmental conditions and management. To classify trajectories of the allometric coefficient, eight clustering algorithms were qualified and internal validation of algorithms was carried out by three indices. The performance of a superior algorithm was compared according to five different distance measures and seven clustering methods. Study results indicated a variable allometric relationship between tree height and diameter which did not follow elasticity or geometric scaling rules across sites. Also, significant differences in allometric coefficients were found between the sites. In regard to the latitudinal difference one similar allometric coefficient trajectory for Estonia and one for Poland and the Czech Republic were found.






Similar content being viewed by others
Explore related subjects
Discover the latest articles and news from researchers in related subjects, suggested using machine learning.References
Bielak K, Brzeziecki B (2006) Impact of thinning on the dynamics of mixed forest stands: an example from the Białowieża Forest, north-eastern Poland. For Wood Technol 60:117–127
Bonser SP, Aarssen W (1994) Plastic allometry in young sugar maple (Acer saccharum): adaptive responses to light availability. Am J Bot 81:400–406
Borcard D, Gillet F, Legendre P (2011) Numerical ecology in R. Springer, New York
Bragg DC (2001) Potential relative increment (PRI): a new method to empirically derive optimal tree diameter growth. Ecol Model 137:77–92
Brock G, Pihur V, Datta S, Datta S (2008) clValid, an R package for cluster validation. J Stat Softw 25:1–22
Calama R, Montero G (2004) Interregional nonlinear height–diameter model with random coefficient for stone pine in Spain. Can J For Res 34:150–163
Cieszewski CJ, Strub MR, Zasada M (2007) New dynamic site equation that fits best the Schwappach data for Scots pine (Pinus sylvestris L.) in Central Europe. For Ecol Manage 243:83–93
Claussen JW, Maycock CR (1995) Stem allometry in a North Queensland tropical rainforest. Biotropica 27:421–426
Dalton L, Ballarin V, Brun M (2009) Clustering algorithms: on learning, validation, performance, and applications to genomics. Curr Genomics 10:430–445
Damgaard C (2012) Estimating plant allometric relationships in a power model with a minimum size of allocation. Ecol Inform 8:65–67
Ducey MJ (2012) Evergreenness and wood density predict height–diameter scaling in trees of the northeastern United States. For Ecol Manage 279:21–26
Eastaugh CS, Kangur A, Korjus H, Kiviste A, Zlatanov T, Velichkov I, Srdjevic B, Srdjevic Z, Hasenauer H (2013) Scaling issues and constraints in modelling of forest ecosystems: a review with special focus on user needs. Balt For 19(2):316–330
EMHI (2013) Estonian climate. Estonian Meteorological and Hydrological Institute. http://www.emhi.ee/. Accessed 2 Feb 2013
Fayolle A, Doucet JL, Gillet JF, Bourland N, Lejeune P (2013) Tree allometry in Central Africa: testing the validity of pantropical multi-species allometric equations for estimating biomass and carbon stocks. For Ecol Manage 305:29–37
Feldpausch TR, Banin L, Phillips OL, Baker TR, Lewis SL, Quesada CA et al (2011) Height–diameter allometry of tropical forest trees. Biogeosciences 8:1081–1106
Ferreira L, Hitchcock DB (2009) A comparison of hierarchical methods for clustering functional data. Commun Stat Simul Comput 38:1925–1949
Fox J, Weisberg S (2011) An {R} companion to applied regression, 2nd edn. Sage, Thousand Oaks. http://socserv.socsci.mcmaster.ca/jfox/Books/Companion. Accessed 31 Dec 2013
Franceschini T, Schneider R (2014) Influence of shade tolerance and development stage on the allometry of ten temperate tree species. Oecologia 176(3):739–749
Gayon J (2000) History of the Concept of Allometry. Amer Zool 40:748–758
Geng YP, Pan XY, Xu CY, Zhang WJ, Li B, Chen JK (2007) Plasticity and ontogenetic drift of biomass allocation in response to above- and below-ground resource availabilities in perennial herbs: case study of Alternanthera philoxeroides. Ecol Res 22:255–260
Groot A, Brown KM, Morrison JK, Barker JE (1984) A ten-year tree and stand response of jack pine to ureafertilization and low thinning. Can J For Res 14:44–50
Groll A, Tutz G (2012) Regularization for generalized additive mixed models by likelihood-based boosting. Methods Inf Med 51(2):168–177
Hara T, Kimura M, Kikuzawa K (1991) Growth patterns of tree height and stem diameter in populations of Abies veitchii, A. mariesii and Betula ermanii. J Ecol 79:1085–1098
Henry HAL, Aarssen LW (1999) The interpretation of stem diameter–height allometry in trees: biomechanical constraints, neighbour effects, or biased regressions? Ecol Lett 2:89–97
Huxley JS (1932) Problems of relative growth. Lincoln Mac Veagh Dial–The Dial Press, New York
Huxley JS, Teissier G (1936) Terminology of relative growth. Nature 137:780–781
KAUR (2015) Estonian environment agency. http://www.ilmateenistus.ee/?lang=en. Accessed 21 Nov 2014
Kangur A, Korjus H, Jõgiste K, Kiviste A (2005) A conceptual model of forest stand development based on permanent sample-plot data in Estonia. Scand J For Res 20:94–101
Kangur A, Sims A, Jõgiste K, Kiviste A, Korjus H, Kv Gadow (2007) Comparative modeling of stand development in Scots pine dominated forests in Estonia. For Ecol Manage 250:109–118
King DA (1990) The adaptive significance of tree height. Am Nat 135:809–828
King DA (1996) Allometry and life history of tropical trees. J Trop Ecol 12:25–44
King DA (2005) Linking tree form, allocation and growth with an allometrically explicit model. Ecol Model 185:77–91
King DA, Davies SJ, Tan S, Nur Supardi MN (2009) Trees approach gravitational limits to height in tall lowland forests of Malaysia. Funct Ecol 23:284–291
Klingenberg CP (1996) Multivariate allometry. In: Marcus LF (ed) Advances in morphometrics. Plenum, New York, pp 23–49
Köster K, Kangur A, Hari P, Jõgiste K (2008) Test in Estonia at the southern border of boreal zone. In: Hari P, Kulmala L (eds.) Boreal forest and climate change. Advances in global change research. Springer Science and Business Media, Berlin, pp 468–472
Kroon J, Andersson B, Mullin TG (2008) Genetic variation in the diameter–height relationship in Scots pine (Pinus sylvestris). Can J For Res 38:1493–1503
Latimer AM, Gelfand AE, Silander JA (2006) Building statistical models to analyze species distributions. Ecol Appl 16:33–50
Legendre P, Legendre L (1998) Numerical ecology, 2nd edn. Elsevier, Netherlands
Lin X (1999) Inference in generalized additive mixed models by using smoothing splines. J R Stat Soc Ser B 61:381–400
Lines ER, Zavala MA, Purves DW, Coomes DA (2012) Predictable changes in aboveground allometry of trees along gradients of temperature, aridity and competition. Glob Ecol Biogeogr 10:1017–1028
López-Serrano FR, Garcıa-Morote A, Andrés-Abellán M, Tendero A, Cerro AD (2005) Site and weather effects in allometries: a simple approach to climate change effect on pines. For Ecol Manage 215:251–270
Maaten T, Kurm M, Kiviste A, Loks M (2011) The influence of seed origin on stand variables of Scots pine (Pinus sylvestris L.) provenance trial in Ahunapalu. For Stud (Metsanduslikud Uurim) 51:65–79
Martinez-Vilalta J, Vanderklein D, Mencuccini M (2007) Tree height and age-related decline in growth in Scots pine (Pinus sylvestris L.). Oecologia 150:529–544
Matías L, Jump AS (2012) Interactions between growth, demography and biotic interactions in determining species range limits in a warming world: the case of Pinus sylvestris. For Ecol Manage 282:10–22
McConnaughay K, Coleman J (1999) Biomass allocation in plants: ontogeny or optimality? A test along three resource gradients. Ecology 80:2581–2593
McMahon T (1973) Size and shape in biology: elastic criteria impose limits on biological proportions, and consequently on metabolic rates. Science 179:1201–1204
Mellor AFP, Cey EE (2015) Using generalized additive mixed models to assess spatial, temporal, and hydrologic controls on bacteria and nitrate in a vulnerable agricultural aquifer. J Contam Hydrol 182:104–116
Metslaid S, Sims A, Kangur A, Hordo M, Jõgiste K, Kiviste A, Hari P (2011) Growth patterns from different forest generations of Scots pine in Estonia. J For Res 17(3):237–243
Morote FAG, Serrano FRL, Andrés M, Rubio E, Jiménez JLG, de las Heras J (2012) Allometries, biomass stocks and biomass allocation in the thermophilic Spanish juniper woodlands of Southern Spain. For Ecol Manage 270:85–93
Müller I, Schmid B, Weiner J (2000) The effect of nutrient availability on biomass allocation patterns in 27 species of herbaceous plants. Perspect Plant Ecol Evol Syst 3:115–127
Mugasha W, Bollandsås A, Eid T (2013) Relationships between diameter and height of trees for natural tropical forest in Tanzania. South For 75:221–237
Murphy ST, Pommerening A (2010) Modelling the growth of Sitka spruce [Picea sitchensis (Bong.) Carr.] in Wales using Wenk’s model approach. Allg For und Jagdztg (German J For Res) 181:35–43
Nicotra AB, Atkin OK, Bonser SP, Davidson AM, Finnegan EJ, Mathesius U et al (2010) Plant phenotypic plasticity in a changing climate. Trends Plant Sci 15:684–692
Niklas KJ (1995) Size-dependent allometry of tree height, diameter and trunk-taper. Ann Bot 75:217–227
Nilson A (2014) On growth and structure of pine stands in Estonia (Männikute ehituse ja kasvu seaduspärasusi). In: Kurm M (ed) Pine in Estonia (Mänd Eestis). Vali Press OÜ, Tartu, pp 218–295 (in Estonian with summary in English)
Novák J, Slodicák M, Dušek D, Kacálek D (2010) Long-term effect of thinning from above on forest-floor in Scots pine stands in Southern Moravia (Czech Republic). Austrian J For Sci 3:97–110
O’Brien ST, Hubbell SP, Spiro P, Condit R, Foster RB (1995) Diameter, height, crown, and age relationship in eight neotropical tree species. Ecology 76:1926–1939
Pihur V, Datta S, Datta S (2014) RankAggreg: weighted rank aggregation. R package version 0.5. http://CRAN.R-project.org/package=RankAggreg. Accessed 1 Sept 2014
Pilli R, Anfodillo T, Carrer M (2006) Towards a functional and simplified allometry for estimating forest biomass. For Ecol Manage 237:583–593
Pommerening A, Muszta A (2015) Methods of modelling relative growth rate. For Ecosyst 2:5
Pommerening A, Muszta A (2016) Relative plant growth revisited: towards a mathematical standardisation of separate approaches. Ecol Model 320:383–392
Pretzsch H (2009) Forest dynamics, growth and yield; from measurement to model. Springer, Heidelberg
Pretzsch H (2010) Re-evaluation of allometry: state-of-the-art and perspective regarding individuals and stands of woody plants. Prog Bot 71:339–369
Pretzsch H, Dieler J (2012) Evidence of variant intra- and interspecific scaling of tree crown structure and relevance for allometric theory. Oecologia 169:637–649
Pretzsch H, Uhl E, Biber P, Schütze G, Coates KD (2012) Change of allometry between coarse root and shoot of Lodgepole pine (Pinus contorta DOUGL. ex. LOUD) along a stress gradient in the sub-boreal forest zone of British Columbia. Scand J of Forest Res 27:532–544
Pretzsch H, Dauber E, Biber P (2013) Species-specific and ontogeny-related stem allometry of European forest trees: evidence from extensive stem analyses. For Sci 59:290–302
R Core Team (2014) R: a language and environment for statistical computing. R Foundation for Statistical Computing, Vienna, Austria. http://www.R-project.org/. Accessed 24 Apr 2015
Reich PB, Oleksyn J (2008) Climate warming will reduce growth and survival of Scots pine except in the far north. Ecol Lett 11:588–597
Rice SA, Bazzaz FA (1989) Quantification of plasticity of plant traits in response to light intensity: comparing phenotypes at a common weight. Oecologia 78:502–507
Ryan MG, Yoder BJ (1997) Hydraulic limits to tree height and tree growth. Biosci J 47:235–242
Russo SE, Wiser SK, Coomes DA (2007) Growth-size scaling relationships of woody plant species differ from predictions of the Metabolic Ecology Model. Ecol Lett 10:889–901
Saraçli S, Doğan N, Doğan İ (2013) Comparison of hierarchical cluster analysis methods by cophenetic correlation. J Inequal App 2013:203
Saundres MR, Wanger GR (2008) Height–diameter models with random coefficients and site variables for tree species on central Maine. Ann For Sci 65(2):1–10
Seki T, Ohta S, Fujiwara T, Nakashizuka T (2013) Growth allocation between height and stem diameter in nonsuppressed reproducing Abies mariesii trees. Plant Species Biol 28:146–155
Schlichting CD (1986) The evolution of phenotypic plasticity in plants. Annu Rev Ecol Syst 17:667–693
Simpson SL, Edwards LJ, Muller KE, Sen PK, Styner MA (2010) A linear exponent AR(1) family of correlation structures. Stat Med 29:1825–1838
Sposito TC, Santos FAM (2001) Scaling of stem and crown in eight Cecropia (Cecropiaceae) species of Brazil. Am J Bot 88:939–949
Strauss RE (1987) On allometry and relative growth in evolutionary studies. Syst Zool 36:72–75
Sumida A, Ito H, Isagi Y (1997) Trade-off between height growth and stem diameter growth for an evergreen Oak, Quercus glauca, in a mixed hardwood forest. Funct Ecol 11:300–309
Sumida A, Miyaura T, Torii H (2013) Relationships of tree height and diameter at breast height revisited: analyses of stem growth using 20-year data of an even-aged Chamaecyparis obtusa stand. Tree Physiol 33:106–118
Taeger S, Zang C, Liesebach M, Schneck V, Menzel A (2013) Impact of climate and drought events on the growth of Scots pine (Pinus sylvestris L.) provenances. For Ecol Manage 307:30–42
Tarand A, Jaagus J, Kallis A (2013) Eesti kliima minevikus ja tänapäeval [Estonian climate: past and present]. Tartu Ulikooli Kirjastus, Tartu
Teissier G (1934) Dysharmonies et discontinuités dans la croissance. [Disharmonies and discontinuities in growth]. Actual Science et Industrielles, Hermann, Paris
Temesgen H, Zhang CH, Zhao XH (2014) Modelling tree height–diameter relationships in multi-species and multi-layered forests: A large observational study from Northeast China. For Ecol Manage 316:78–89
Valinger E (1992) Effects of thinning and nitrogen fertilisation on stem growth and stem form of Pinus ylvestris trees. Scand J For Res 7:219–228
Vospernik S, Monserud RA, Sterba H (2010) Do individual tree growth models correctly represent height:diameter ratios of Norway spruce and Scots pine? For Ecol Manage 260:1735–1753
Vovides Alejandra G et al (2014) Morphological plasticity in mangrove trees: salinity-related changes in the allometry of Avicennia germinans. Trees 28(5):1413–1425
Wang X, Fang J, Tang Z, Zhu B (2006) Climatic control of primary forest structure and DBH-height allometry in Northeast China. For Ecol Manage 234:264–274
Waterman MS, Whiteman DE (1978) Estimation of probability densities by empirical density functions. Int J Math Educ Sci Technol 9:127–137
Watt MS, Kirschbaum MUF (2011) Moving beyond simple linear allometric relationships between tree height and diameter. Ecol Model 222:3910–3916
Webb AR (2003) Statistical pattern recognition. Appendix A: measures of dissimilarity, 2nd edn. Wiley, England, pp 419–429
Weiner J, Fishman L (1994) Competition and allometry in Kochia scoparia. Ann Bot 73:263–271
Weiner J (2004) Allocation, plasticity and allometry in plants. Perspect Plant Ecol Evol Syst 6:207–215
Weng CF (2014) First order autoregressive mixed effects Zero Inflated Poisson model for longitudinal data-A Bayesian approach. PhD dissertation, pp 12
Wenk G (1978) Mathematische Formulierung von Wachstumsprozessen in der Forstwirtschaft. [Mathematical formulation of growth processes in forestry]. Beitr Forstwirtsch 1:25–30
Wiklund K, Konoˆpka B, Nilsson LO (1995) Stem form and growth in Picea abies (L.) Karst. in response to water and mineral nutrient availability. Scand J For Res 10:326–332
Wood SN (2006) Generalized additive models: an introduction with R. Chapman & Hall/CRC, Boca raton
Wood SN (2011) Fast stable restricted maximum likelihood and marginal likelihood estimation of semiparametric generalized linear models. J R Stat Soc B 73(1):3–36
Yang ZJ, Midmore DJ (2005) Modelling plant resource allocation and growth partitioning in response to environmental heterogeneity. Ecol Model 181:59–77
Yang L, Qin G, Zhao N, Wang C, Song G (2012) Using a generalized additive model with autoregressive terms to study the effects of daily temperature on mortality. BMC Med Res Methodol 12:165
Yokozawa M, Hara T (1995) Foliage profile, size structure and stem diameter-plant height relationship in crowded plant populations. Ann Bot 76:271–285
Zamora R, Gómez JM, Hódar JA, Castro J, García D (2001) Effect of browsing by ungulates on sapling growth of Scots pine in a Mediterranean environment: consequences for forest regeneration. For Ecol Manage 144:33–42
Zhang H, Zhou D, Huang Y et al (2008) Plasticity and allometry of meristem allocation in response to density in three annual plants with different architectures. Botany 86:1291–1298
Zohar Y, Karshon R (1984) Above-ground biomass of Eucalyptus camaldulensis Dehn. In Israel. S Afr For 128:26–29
Acknowledgments
The authors are grateful to Kamil Bielak for making Polish stem analysis data available and for his helpful comments on the study development. The authors also thank Dušek David who kindly provided the Czech Republic time series data. The authors express appreciation to Andres Kiviste and Kalev Jõgiste for their recommendations and comments on an early version of the manuscript and to two anonymous referees for concise and constructive recommendations in improving the manuscript. The Estonian Science Foundation (Grant No. 8890) supported the initiation and data analysis of the study. The research and paper writing was supported by the EU Regional Development Foundation, Environmental Conservation and Environmental Technology R&D Program project BioAtmos (3.2.0802.11-0043) and by the Estonian Research Council (Institutional Research Funding IUT21-04).
Author information
Authors and Affiliations
Corresponding author
Ethics declarations
Conflict of interest
The authors declare that they have no conflict of interest.
Additional information
Communicated by R. Matyssek.
Rights and permissions
About this article
Cite this article
Motallebi, A., Kangur, A. Are allometric relationships between tree height and diameter dependent on environmental conditions and management?. Trees 30, 1429–1443 (2016). https://doi.org/10.1007/s00468-016-1379-4
Received:
Accepted:
Published:
Issue Date:
DOI: https://doi.org/10.1007/s00468-016-1379-4


