Abstract
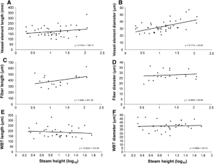
Allometric relationships in organisms are considered a universal phenomenon. A positive scaling has been reported between stem size and cellular size of tracheary elements in wood of different vascular plants, but few studies have been carried out in slow-growing succulent plants. The aim of this study was to evaluate if a relationship exists between size, growth form and wood cell size among individual species of Cacteae. Forty-four species belonging to 16 genera of the tribe Cacteae with differing growth forms and sizes were studied. When analyzing plant size, we found a positive allometric scaling and the larger-sized species showing a higher percentage of succulent tissue and less accumulation of wood tissue. The positive scaling found between plant size (height and diameter) and vessel elements and fiber length support the universality of the allometric relationship proposed for other vascular plants with non-succulent stems. Notably, wide-band tracheids do not scale with plant size or growth form. Succulence associated with narrow vessel elements with distinctive helical secondary walls and wide-band tracheids suggest they are the key adaptations to tolerate drought and provide support to the stems of most taxa in Cacteae. Fibers do not have the primary role of giving mechanical support; therefore, we assume the scarce fibers in clusters represent reaction wood that, along with the fundamental tissue, maintains the vertical position and shape of those species growing in rocky cracks. Our results with species having short succulent stems support the universal theory of positive allometric scaling of vascular plants.



Similar content being viewed by others
Explore related subjects
Discover the latest articles and news from researchers in related subjects, suggested using machine learning.References
Anderson EF (2001) The cactus family. Timber Press, Portland
Arias S, Terrazas T (2001) Variación en la anatomía de la madera de Pachycereus pecten-aboriginum (Cactaceae). An Inst Biol Univ Nac Aut México Bot 72:157–169
Bailey IW (1920) The cambium and its derivative tissues. II. Size variations of cambial initials in gymnosperms and angiosperms. Am J Bot 7:355–367
Bailey IW, Tupper WW (1918) Size variation in tracheary cells. I. A comparison between the secondary xylems of vascular cryptogams, gymnosperms, and angiosperms. Proc Am Arts Sci 54:149–204
Bernal-Salazar S, Terrazas T (2005) Wood anatomical variation of Neobuxbaumia tetetzo: a columnar Cactaceae. J Arid Environ 63:671–685
Bierhorst DW, Zamora PM (1965) Primary xylem elements and element associations of angiosperms. Am J Bot 52:657–710
Bobich EG, Nobel PS (2001) Biomechanics and anatomy of cladode junctions for two Opuntia (Cactaceae) species and their hybrid. Am J Bot 88:391–400
Bobich EG, Nobel PS (2002) Cladode junctions regions and their biomechanics for arborescent platyopuntias. Int J Plant Sci 163:507–517
Bobich EG, North GB (2009) Structural implications of succulence: architecture, anatomy, and mechanics of photosynthetic stem succulents, pachycauls and leaf succulents. In: De la Barrera E, Smith WK (eds) Perspectives in biophysical plant ecophysiology: a tribute to Park S. Nobel. Universidad Nacional Autónoma de México, México DF, pp 3–37
Bravo-Hollis H, Sánchez-Mejorada H (1991) Las cactáceas de México, vol I. Universidad Nacional Autónoma de México, México DF
Butterworth CA, Cota-Sanchez JH, Wallace RS (2002) Molecular systematics of tribe Cacteae (Cactaceae: Cactoideae): a phylogeny based on rpl16 intron sequence variation. Syst Bot 27:257–270
Buxbaum F (1950) Morphology of cacti. Section I Roots and stems. Abbey Garden Press, Pasadena
Carlquist S (2001) Comparative wood anatomy systematics ecological and evolutionary aspects of dicotyledons wood. Springer, Berlin
Chattaway MM (1936) Relation between fibre and cambial initial length in dicotyledonous wood. Trop woods 46:16–20
Clair B, Ruelle J, Beauchêne J, Prévost MF, Fournier M (2006) Tension wood and opposite wood in 21 tropical rain forest species. 1. Occurrence and efficiency of the G-layer. IAWA J 27:329–338
Coomes DA, Hethcore S, Godfrey ER, Shepherd JJ, Sack L (2008) Scaling of xylem vessels and veins within the leaves of oak species. Biol Lett 4:302–306
Cumbie BG, Mertz D (1962) Xylem anatomy of Sophora (Leguminosae) in relation to habit. Am J Bot 49:33–40
Edwards EJ (2006) Correlated evolution of stem and leaf hydraulic traits in Pereskia. New Phytol 172:479–489
Edwards EJ, Díaz M (2006) Ecological physiology of Pereskia guamacho, a cactus with leaves. Plant Cell Envron 29:247–256
Enquist BJ (2002) Universal scaling in tree and vascular plant allometry: toward a general quantitative theory linking plant form and function from cells to ecosystems. Tree Physiol 22:1045–1064
Garrett TY, van Huynh C, North GB (2010) Root contraction helps protect the “living rock” cactus Ariocarpus fissuratus from lethal high temperatures when growing in rocky soil. Am J Bot 97:1951–1960
Gibson AC (1973) Comparative anatomy of secondary xylem in Cactoideae (Cactaceae). Biotropica 5:29–65
Gibson AC (1978) Woody anatomy of platyopuntias. Aliso 9:279–307
Gibson AC, Nobel PS (1986) The cactus primer. Harvard University Press, Cambridge
Hearn DJ (2009) Developmental patterns in anatomy are shares among separate evolutionary origins of steam succulent and storage root-bearing growth habits in Adenia (Passifloraceae). Am J Bot 96:1941–1956
Henrickson J (1969) The succulent fouquierias. Cact Succ J (Los Angeles) 41:178–184
Hernández HM, Gómez-Hinostrosa C, Bárcenas RT (2001) Diversity, special arrangement, and endemism of Cactaceae in the Huizache area, a hot-spot in the Chihuhuan desert. Biodivers Conserv 10:1097–1112
IAWA Committee (1989) IAWA list of microscopic features for hardwood identifications. IAWA Bull n.s. 10:219–332
Landrum JV (2006) Wide-band tracheids in genera of Portulacaceae: novel, non-xylary tracheids possibly evolved as an adaptation to water stress. J Plant Res 119:497–504
Landrum JV (2008) Wide-band tracheids from a southern African succulent and their responses to varying light intensities: a pre-adaptation for future water stress? Int J Bot 4:99–103
León WJ (2002) Anatomía xilemática del tronco de Pereskia guamacho (Cactaceae) procedente del estado de Mèrica-Venezuela. Pitteria 31:41–49
Linton MJ, Nobel PS (1999) Loss of water transport capacity due to xylem cavitation in roots of two CAM succulents. Am J Bot 86:1538–1543
Loza-Cornejo S, Terrazas T (1996) Anatomía del tallo y de la raíz de dos especies de Wilcoxia Britton y Rose (Cactaceae) del noreste de México. Bol Soc Bot Mex 59:13–23
Loza-Cornejo S, Terrazas T, López-Mata L, Trejo C (2003) Características morfo-anatómicas y metabolismo fotosintético de plántulas de Stenocereus queretaroensis (Cactaceae): su significado adaptativo. Interciencia 28:83–89
Mauseth JD (2000) Theoretical aspects of surface-to-volume ratios and water-storage capacities of succulent shoots. Am J Bot 87:1107–1115
Mauseth JD (2004) Wide-band tracheids are present in almost all species of Cactaceae. J Plant Res 117:69–76
Mauseth JD (2006) Structure–function relationships in highly modified shoots of Cactaceae. Ann Bot 98:901–926
Mauseth JD, Plemons BJ (1995) Developmentally variable, polymorphic woods in cacti. Am J Bot 82:1199–1205
Mauseth JD, Plemons-Rodriguez BJ (1998) Evolution of extreme xeromorphic characters in wood: a study of nine evolutionary lines in Cactaceae. Am J Bot 85:209–218
Media Cybernetics (2006) Image pro-plus, 6.1 for windows. Silver Spring
Metcalfe CR, Chalk L (1983) Anatomy of dicotyledons, vol II, 2nd edn. Clarendon Press, Oxford
Motomura H, Noshiro S, Mikage M (2007) Variable wood formation and adaptation to the alpine environment of Ephedra pachyclada (Gnetales: Ephedraceae) in the Mustang District, western Nepal. Ann Bot 100:315–324
Niklas KJ, Buchman SL (1994) The allometry of Sahuaro height. Am J Bot 81:1161–1168
Niklas KJ, Molina-Freaner F, Tinoco-Ojanguren C (1999) Biomechanics of the columnar cactus Pachycereus pringlei. Am J Bot 78:1252–1259
Niklas KJ, Molina-Freaner F, Tinoco-Ojanguren C, Paolillo DJ Jr (2000) Wood biomechanical and anatomy of Pachycereus pringlei. Am J Bot 87:469–481
Niklas KJ, Molina-Freaner F, Tinoco-Ojanguren C, Hogan CJ Jr, Paolillo DJ Jr (2003) On the mechanical properties of the rare endemic cactus Stenocereus eruca and the related species S. gummosus. Am J Bot 90:663–674
North GB, Nobel PS (1992) Drought-induced changes in hydraulic conductivity and structure in roots of Ferocactus acanthodes and Opuntia ficus-indica. New Phytol 120:9–19
Noshiro S, Suzuki M (2001) Ontogenetic wood anatomy of tree and subtree species of Nepalese Rhododendron (Ericaceae) and characterization of shrub species. Am J Bot 88:560–569
Noshiro S, Suzuki M, Ohba H (1995) Ecological wood anatomy of Nepalese Rhododendron (Ericaceae). I. Interspecific variation. J Plant Res 108:1–9
Nyffeler R (2002) Phylogenetic relations in the cactus family (Cactaceae). Based on evidence from TRNK/MATK and TRNL-TRNF sequences. Am J Bot 89:312–326
Olson ME (2003) Steam and leaf anatomy of the arborescent Cucurbitaceae Dendrosicyos socotrana with comments on the evolution of pachycauls from lianas. Plant Syst Evol 239:199–214
Olson ME (2005) Wood, bark, and pith anatomy in Pittocaulon (Senecio, Asteraceae): water storage and systematics. J Torrey Bot Soc 132:173–186
Olson ME, Rosell JA (2006) Using heterocrony to detect modularity in the evolution of stem diversity in the plant family Moringaceae. Evolution 60:724–734
Ortega-Baes P, Sühring S, Sajama J, Sotola E, Alonso-Pedano M, Bravo S, Godínez-Alvarez H (2010) Diversity and conservation in the cactus family. In: Ramawat KG (ed) Desert plants. Springer, Berlin, pp 157–173
Panshin AJ, DeZeeuw C (1980) Textbook of wood technology. McGraw–Hill, New York
Ruelle J, Yamamoto H, Thibaut B (2007) Growth stresses and cellulose structural parameters in tension and normal wood from three tropical rainforest angiosperms species. Bioresources 2:235–251
Rury MP (1985) Systematic and ecological wood anatomy of the Erythroxylaceae. IAWA Bull ns 6:365–397
Ruzin ES (1999) Plant microtechnique and microscopy. Oxford University Press, New York
SAS Institute (2008) SAS procedure guide. Release 9.2. SAS Institute, Cary
Sperry JS, Hacke UG, Pittermann J (2006) Size and function in conifer tracheids and angiosperm vessels. Am J Bot 93:1490–1500
Terrazas T, Arias S (2002) Comparative stem anatomy in the subfamily Cactoideae. Bot Rev 68:444–473
Terrazas T, Loza-Cornejo S (2003) Anatomía de la madera y alometría de veinte especies de Stenocereus (Cactaceae). An Inst Biol Univ Nac Aut México Bot 74:195–208
Terrazas T, Mauseth JD (2002) Shoot anatomy and morphology. In: Nobel PS (ed) Cacti: biology and uses. University of California Press, Berkeley, pp 23–40
Terrazas T, Aguilar-Rodríguez S, López-Mata L (2008) Anatomía de la madera de Buddleja I. (Buddlejaceae) y su relación con el tamaño de la planta y la latitud. Interciencia 33:46–50
Yang S, Jiang Z, Ren H, Furukawa I (2007) Anatomical variations in wood among four native species of Leguminosae grown in arid areas of China. For Stud China 9:39–44
Acknowledgments
Thanks to Posgrado en Ciencias Biológicas, UNAM and Consejo Nacional de Ciencia y Tecnología (CONACyT) for the PhD scholarship to M.V.S. (41991). Funding was provided by the Programa de Apoyo a Proyectos de Investigación e Innovación Tecnológica, DGAPA, UNAM IN224307 to T.T. and by Instituto de Biología. Lauro López-Mata gave valuable comments.
Author information
Authors and Affiliations
Corresponding author
Additional information
Communicated by S. Mayr.
Appendix
Appendix
Species studied, collector number, and state in Mexico in which the plant was collected. All herbarium vouchers were deposited at Herbario Nacional, Universidad Nacional Autónoma de México (MEXU).
Acharagma roseana (Boed.) E.F.Anderson, C.Glass6443, Coahuila; Astrophytum asterias (Zucc.) Lem., TT846, Tamaulipas; Astrophytum myriostigma Lem., SA1730, San Luis Potosí; Astrophytum ornatum (DC.) F.A.C.Weber ex Britton & Rose, SA1699, Querétaro; Aztekium ritterii (Boed.) Boed. ex Berger, SA1868, Nuevo León; Coryphantha clavata (Scheidw.) Backeb., SA1705, Querétaro; Coryphantha cornifera (DC.) Lem., SA1700, Querétaro; Coryphantha erecta (Lem.) Lem., SA1684, Querétaro; Coryphantha macromeris (Engelm.) Lem., SA1775, Nuevo León; Echinocactus horizonthalonius Lem., SA1691, Querétaro; Echinocactus parryi Engelm., SA1791, Chihuahua; Echinocactus platyacanthus Link & Otto, SA1850, San Luis Potosí; Echinocactus texensis Hopffer, TT851, Tamaulipas; Ferocactus chrysacanthus (Orcutt) Britton & Rose, SA1815, Baja California; Ferocactus fordii (Orcutt) Britton & Rose, SA1809, Baja California; Ferocactus glaucescens (DC.) Britton & Rose, SA1701, Querétaro; Ferocactus haematacanthus (Salm-Dyck) Bravo, SA1796, Puebla; Ferocactus hamatacanthus (Muehlenpf.) Britton & Rose, TT839, Nuevo León; Ferocactus herrerae J.G. Ortega, SA1833, Sonora; Ferocactus macrodiscus (Mart.) Britton & Rose, SA1798, Oaxaca; Ferocactus pilosus (Galeotti ex Salm-Dyck) Werderm., SA890, San Luis Potosí; Ferocactus recurvus (Mill.) Y. Ito ex G.E. Linds., SA1794, Puebla; Ferocactus reppenhagenii G. Unger, HJA1179, Jalisco; Ferocactus robustus (Pfeiff.) Britton & Rose, SA1795, Puebla; Glandulicactus crassihamathus (F.A.C. Weber) Backeb., SA1688, Querétaro; Glandulicactus uncinatus (Galeotti ex Pfeiff. & Otto) Backeb., SA1899, Durango; Leuchtenbergia principis Hook., HSM3826, San Luis Potosí; Lophophora diffusa (Croizat) Bravo, SA1698, Querétaro; Mammillaria albilanata Backeb., TT816, Oaxaca; Mammillaria elongata DC., SA1697, Querétaro; Mammillaria heyderi Muehlenpf., TT829, San Luis Potosí; Mammillaria winterae Boed., SA1870, Nuevo León; Neolloydia conoidea (DC.) Britton & Rose, SA1695, Querétaro; Pelecyphora aselliformis C. Ehrenb., UG2907, San Luis Potosí; Stenocactus dichroacanthus (Mart. ex Pfeiff.) A. Berger ex Backeb. & F.M. Knuth., SA1758, Aguascalientes; Strombocactus disciformis (DC.) Britton & Rose, SA1738, Querétaro; Thelocactus bicolor (Galeotti ex Pfeiff.) Britton & Rose, TT895, Coahuila; Thelocactus conothelos (Regel & Klein) Backeb. & F.M. Knuth, TT844, Nuevo León; Thelocactus heterochromus (F.A.C.Weber) van Oosten, SA1898A, Querétaro; Thelocactus hexaedrophorus (Lem.) Britton & Rose, TT838, San Luis Potosí; Thelocactus leucacanthus (Zucc. ex Pfeiff.) Britton & Rose, SA1681, Querétaro; Thelocactus setispinus (Engelm.) E.F.Anderson, SA1856, Tamaulipas; Turbinicarpus beguinii (N.P. Taylor) Mosco & Zanovello, SA1852, Nuevo León; Turbinicarpus schmiedickeanus (Boed.) Buxb. & Backeb., TT820, San Luis Potosí.
Rights and permissions
About this article
Cite this article
Vázquez-Sánchez, M., Terrazas, T. Stem and wood allometric relationships in Cacteae (Cactaceae). Trees 25, 755–767 (2011). https://doi.org/10.1007/s00468-011-0553-y
Received:
Revised:
Accepted:
Published:
Issue Date:
DOI: https://doi.org/10.1007/s00468-011-0553-y


