Abstract
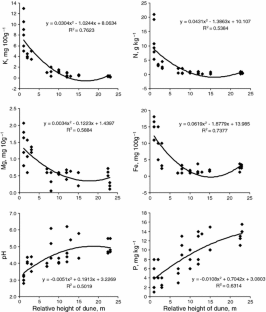
The aim of the present study was to assess the ecophysiological state of Scots pine (Pinus sylvestris L.) growing at different heights on one of the typical coastal sand dunes in the dune field situated in southwestern Estonia. Dependence of the anatomical structure, morphological parameters, nutrients accumulation and biochemical characteristics of needles on the location of the site on the dune and on the concentration of nutrients in soil and in needle tissues was established. Correlation analysis revealed the dependence of chlorophyll a on the concentration of N and Mg in soil as well as in needles. The mesophyll area and chlorophyll concentration in needles were smallest on the top of the dune. The proportion of epidermis in the total needle cross-section area from the top was a little larger than in the needles from the bottom; the epicuticular wax layer on needles decreased towards the top. The length of needles and shoots was the lowest on the top of the dune, where the growth substrate contains notably less nutrients and water than needed for optimum growth of trees. The t test showed statistically significant larger average tree-ring width of the pines growing at the bottom. The pines on the top and at the bottom of the dune were not sensitive to temperature conditions. The radial growth of pines on the top of the dune was positively correlated with the total precipitation of the previous year.






References
Ampe C, Langohr R (2003) Morphological characterisation of humus forms in recent coastal dune ecosystems in Belgium and northern France. Catena 54:363–383. doi:10.1016/S0341-8162(03)00128-0
Bozzola JJ, Russell LD (1992) Electron microscopy: principles and techniques for biologists. Jones and Bartlett Publishers, Boston
Brække FH, Salih N (2002) Reliability of foliar analysis of Norway spruce stands in a Nordic gradient. Silva Fenn 36:489–504
Brechtel HM, Balazs A, Lehnardt F (1986) Precipitation input of inorganic chemicals in the open field and in forest stands. Results of investigation in the State of Hesse. In: Georgii HW (ed) Atmospheric pollutants in forest areas. D. Reidel Publishing Co, Dordrecht, pp 47–67
Cen YP, Borman JF (1993) The effect of exposure to enhanced UV-B radiation on the penetration of monochromatic and polychromatic UV-B radiation in leaves of Brassica napus. Physiol Plant 87:249–255
Chiu S-T, Anton LH, Ewers FW, Hammerschmidt R, Pregitzer KS (1992) Effects of fertilisation on epicuticular wax morphology of needle leaves of Douglas fir, Pseudotsuga menziesii (Pinaceae). Am J Bot 79:149–154
Copenheaver CA, Grinter LE, Lorber JH, Neatrour MA, Spinney MP (2002) A dendroecological and dendroclimatic analysis of Pinus virginiana and Pinus rigida at two slope positions in the Virginia Piedmont. Castanea 67:302–315
Dunkl I, Rehfuess K-E (1988) Stoffdeposition mit dem Freiland- und Bestandesniederschlag an fünf Waldstandorten in Südbayern. In: Hüser R, Rehfuess K-E (eds) Stoffdeposition durch Niederschläge in ost- und südbayerischen Waldbeständen. Schriftenr Forstwiss Fak Univ München und Bayer forstl Versuchs- und Forschungsanstalt 86, I–II, pp 27–81
Eggink LL, LoBrutto R, Brune DC, Brusslan J, Yamasoto A, Tanaka A, Hoober JK (2004) Synthesis of chlorophyll b: localization of chlorophyllide a oxygenase and discovery of a stable radical in the catalytic subunit. BMC Plant Biol 4:5. doi:10.1186/1471-2229-4-5
Eglinton G, Hamilton R (1967) Leaf epicuticular waxes. Science 156:1322–1335
Fargašova A (2004) Toxicity comparison of some possible toxic metals (Cd, Cu, Pb, Se, Zn) on young seedlings of Sinapis alba L. Plant Soil Environ 50:33–38
Fink S (1993) Microscopic criteria for the diagnosis of abiotic injuries to conifer needles. In: Huettl RF, Mueller-Dombois D (eds) Forest decline in the Atlantic and Pacific region. Springer, Berlin, pp 175–188
Fritts HC (1976) Tree rings and climate. Academic Press, London
Giese BN (1975) Effects of light and temperature on the composition of epicuticular wax of barley leaves. Phytochemistry 14(4):921–929
Gonzales R, Paul ND, Ambrose M, McLaughlin CK, Barnes JD, Areses M, Wellburn AR (1996) Responses to ultraviolet-B radiation (280–315 nm) of pea (Pisum sativum) lines differing in leaf surface wax. Physiol Plant 98:852–860
Gordon DC, Percy KE, Riding RT (1998) Effects of u.v.-B radiation on epicuticular wax production and chemical composition of four Picea species. New Phytol 138:441–449. doi:10.1111/j.1469-8137.1998.00116.x
Gowin T, Góral I (1977) Chlorophyll and pheophytin content in needles of different age of trees growing under conditions of chronic industrial pollution. Acta Soc Bot Pol 46:151–159
Gülz P-G (1997) Chemistry and surface structures of epicuticular leaf waxes from deciduous trees. In: Rennenberg H, Eschrich W, Ziegler H (eds) Trees—contribution the modern tree physiology. Backhuys Publishers, Leiden, pp 29–43
Güsewell S, Koerselman W (2002) Variation in nitrogen and phosphorus concentrations of wetland plants. Perspect Plant Ecol Evol Syst 5:37–61. doi:10.1078/1433-8319-0000022
Güsewell S, Koerselman W, Verhoeven JTA (2003) Biomass N:P ratios as indicators of nutrient limitation for plant populations in Wetlands. Ecol Appl 13:372–384
Havranek WM, Tranquillini W (1995) Physiological processes during winter dormancy and their ecological significance. In: Smith WK, Hinckley TM (eds) Ecophysiology of coniferous forests. Academic Press, San Diego, pp 95–124
Hordo M, Metslaid S, Kiviste A (2009) Response of Scots pine (Pinus sylvestris L.) radial growth to climate factors in Estonia. Balt For 15:195–205
Ingestad T (1979) Mineral nutrient requirements of Pinus silvestris and Picea abies seedlings. Physiol Plant 45:373–380. doi:10.1111/j.1399-3054.1979.tb02599.x
Ingestad T, Lund A-B (1986) Theory and techniques for steady state mineral nutrition and growth of plants. Scand J For Res 1:439–453. doi:10.1080/02827588609382436
Jokela A, Sarjala T, Kaunisto S, Huttunen S (1997) Effects of foliar potassium concentration on morphology, ultrastructure and polyamine concentrations of Scots pine needles. Tree Physiol 17:677–685. doi:10.1093/treephys/17.11.677
Jokela A, Sarjala T, Huttunen S (1998) The structure and hardening status of Scots pine needles at different potassium availability levels. Trees Struct Funct 12:490–498. doi:10.1007/s004680050179
Jonsson B (1969) Studier över den av väderleken orsakade variationen i årsringsbredderna hos tall och grani Sverige (Studies of variations in the widths of annual rings in Scots pine and Norway spruce due to weather conditions in Sweden). Rapp Uppsats Inst Skogsprod Skogshögsk 16
Kaur H (2003) Environmental impacts on dynamics of reserves and its relationship with chlorophyll contents and biomass production in some conifers. Environ Inform Arch 1:213–219
Kimmins JP (1997) Forest ecology: a foundation for sustainable management, 2nd edn. Prentice Hall, New Jersey
Klõšeiko J (2003) Relationship between the light environment and carbohydrates in needles of Scots pine (Pinus sylvestris) on a dune. Metsanduslikud Uurim For Stud 39:50–57
Klõšeiko J, Tilk M (2008) Drought tolerance of Scots pine in diverse growth conditions on a dune estimated on the basis of carbohydrates and chlorophyll fluorescence in needles. Metsanduslikud Uurim For Stud 49:25–37
Knecht MF, Göransson A (2004) Terrestrial plants require nutrients in similar proportions. Tree Physiol 24:447–460. doi:10.1093/treephys/24.4.447
Kõresaar P (2003) Natural renewal of dune forest of Vaccinium vitis-idaea and Cladina site types on the southwestern coast of Estonia. Metsanduslikud Uurim For Stud 39:81–92
Kõresaar K, Kõresaar P, Mandre M (2008) Development and renewal-conditions of dune pine forests second growth in the lichen and cowberry site type in Southwest Estonia. Metsanduslikud Uurim For Stud 49:47–58
L’Hirondelle SJ, Binder WD (2005) Temperature stress tolerance of conifer seedlings after exposure to UV-B radiation. Photochem Photobiol 81:1094–1100. doi:10.1562/2005-01-24-RA-425
Läänelaid A, Eckstein D (2003) Development of a tree-ring chronology of Scots pine (Pinus sylvestris L.) for Estonia as a dating tool and climatic proxy. Balt For 9:76–82
Lepeduš H, Cesar V, Has-Schön E (2001) The effect of disturbed mineral nutrition on Picea omorika Pančić needles—a single case study. Nat Croat 10:293–304
Levitt J (1980) Responses of plants to environmental stresses. Vol. II. Water, radiation, salt, and other stresses. Academic Press, New York
Lichtenthaler HK, Wellburn AR (1983) Determination of total carotenoids and chlorophylls a and b of leaf extracts in different solvents. Biochem Soc Trans 11:591–592
Linder S, Axelsson B (1982) Changes in carbon uptake and allocation patterns as a result of irrigation and fertilization in a young Pinus sylvestris stand. In: Waring RH (ed) Carbon uptake and allocation in subalpine ecosystems as a key to management. Proceedings IUFRO workshop. Forest Research Laboratory, Oregon State University, Corvallis, pp 38–44
Lõhmus E (1992) The dependence of Scots pine annual ring indices on some climatic factors. Metsanduslikud Uurim For Stud 25:50–59
Lõhmus E (2004) Eesti metsakasvukohatüübid. Eesti Loodusfoto, Tartu (in Estonian)
Lõhmus K, Lasn R (1990) Spruce and pine root structures and chemical characteristics in moderate acid soils. In: Persson H (ed) Above- and below-ground interactions in forest trees in acidified soils. Air pollution research report 32. Commission of the European Communities, Uppsala, pp 74–78
Long LM, Patel HP, Cory WC, Stapleton AE (2003) The maize epicuticular wax layer provides UV protection Functional Plant Biology 30:75–81
Lukjanova A, Mandre M (2008) Anatomical structure and localisation of lignin in needles and shoots of Scots pine (Pinus sylvestris) growing in a habitat with varying environmental characteristics. Metsanduslikud Uurim For Stud 49:37–46
Lukjanova A, Mandre M (2009) Effects of alkalization of the environment on the anatomy of Scots pine (Pinus sylvestris) needles. Water Air Soil Pollut. doi:10.1007/s11270-009-0080-2
Lundberg A, Losvik MH (1993) Dry coastal ecosystems of Central and South Norway. In: van der Maarel E (ed) Ecosystems of the world. 2A. Dry coastal ecosystems. Polar regions and Europe. Elsevier, Amsterdam, pp 109–129
Luxmoore RJ, Oren R, Sheriff DW, Thomas RB (1995) Source-sink-storage relationships of conifers. In: Smith WK, Hinckley TM (eds) Resource physiology of conifers. Acquisition, allocation and utilization. Academic Press, San Diego, pp 179–216
Mandre M (1992) A comparative analysis of the nutrient content in Scots pine (Pinus sylvestris) on a dune and in a bog in South-West Estonia. In: Estonia. Man and nature. Academy of Sciences of Estonia, Tallinn, pp 54–76
Mandre M (1995) Changes in the nutrient composition of trees. In: Mandre M (ed) Dust pollution and forest ecosystems. A study of conifers in an alkalized environment. Publication 3. Institute of Ecology, Tallinn, pp 44–65
Mandre M (2003) Conditions for mineral nutrition and content of nutrients in Scots pine (Pinus sylvestris) on dunes in Southwest Estonia. Metsanduslikud Uurim For Stud 39:32–42
Mandre M, Korsjukov R (2003) Some characteristic features of the pigment system of Scots pine (Pinus sylvestris) on sandy dunes in the coastal area of Southwest Estonia. Metsanduslikud Uurim For Stud 39:43–49
Mandre M, Kõresaar K, Kõresaar P (2008) Mineral nutrition of natural regeneration of Scots pine on coastal dunes in South-West Estonia. Estonian J Ecol 57:70–80
Manual for integrated monitoring (1993) Programme phase 1993–1996. Environmental report 5. Environment Data Centre, National Board of Waters and the Environment, Helsinki
Marschner H (2002) Mineral nutrition of higher plants. Academic Press, London
Nakagawara E, Sakuraba Y, Yamasato A, Tanaka R, Tanaka A (2007) Clp protease controls chlorophyll b synthesis by regulating the level of chlorophyllide a oxygenase. Plant J 49:800–809. doi:10.1111/j.1365-313X.2006.02996.x
Niinemets Ü, Lukjanova A (2003) Needle longevity, shoot growth and branching frequency in relation to site fertility and within-canopy light conditions in Pinus sylvestris. Ann For Sci 60:195–208
Örd A (1972) Edela-Eesti luitemetsade mullastikust. Metsanduslikud Uurim 9:207–221 (in Estonian)
Oren R, Sheriff DW (1995) Water and nutrient acquisition by roots and canopies. In: Smith WK, Hinckley TM (eds) Resource physiology of conifers: acquisition, allocation, and utilization. Academic Press, San Diego, pp 39–74
Orviku K (1987) Eesti rannik ja selle muutused. Eesti Loodus 11:712–719 (in Estonian)
Paal J (2007) Loodusdirektiivi elupaigatüüpide käsiraamat. Auratrükk, Tallinn (in Estonian)
Padu E, Meiner L, Selgis R (1989) The activity of l-phenylalanine ammonia-lyase and peroxidase, and the biosynthesis of phenolic compounds in wheat under different condition of mineral nutrition. In: Publications in plant physiology and plant biochemistry. 5. The formation of lignin in wheat plants and its connection with mineral nutrition. Acta et commentationes Universitatis Tartuensis 845, Tartu, pp 85–108
Paiva EAS, Isaias RMS, Vale FHA, Queiroz CGS (2003) The influence of light intensity on anatomical structure and pigment contents of Tradescantia pallida (Rose) Hunt. Cv. Purpurea Boom (Commelinaceae) leaves. Braz Arch Technol 46:4. doi:10.1590/S1516-891.32003000400017
Pallardy SG (2008) Physiology of woody plants. Academic Press, Amsterdam
Pärn H (2002) Relationships between radial growth of Scots pine and climate in the northeastern industrial region of Estonia. Metsanduslikud Uurim For Stud 36:47–61
Pärn H (2003) Growth of Scots pines (Pinus sylvestris) on dunes of Southwest Estonia related to climate. Metsanduslikud Uurim For Stud 39:65–80
Pietiläinen P, Moilanen M, Vesala H (2005) Nutrient status and growth of Scots pine (Pinus sylvestris L.) on drained peatlands after potassium fertilisation. Suo 56:101–113
Portsmuth A (2007) Ecophysiological mechanisms of forest plant growth and biomass distribution. Tallinn University Dissertations on Natural Sciences 16. Tallinn University Press, Tallinn
Portsmuth A, Niinemets Ü, Truus L, Pensa M (2005) Biomass allocation and growth rates in Pinus sylvestris are interactively modified by nitrogen and phosphorus availabilities and by tree size and age. Can J For Res 35:2346–2359. doi:10.1139/X05-155
Prior SA, Pritchard SG, Runion B, Rogers HH, Mitchell RJ (1997) Influence of atmospheric CO2 enrichment, soil N, and water stress on needle surface wax formation in Pinus palustris (Pinaceae). Am J Bot 84(9):1070–1077
Raid L (1968) Veerežiimist pohla ja mustika kasvukohatüübis. Metsanduslikud Uurim For Stud 6:151–169 (in Estonian)
Rao AV, Tarafdar JC (2002) Microbial mobilization of phosphorus for higher crop production in arid soil. In: Kannaiyan S (ed) Biotechnology of biofertilizers. Kluwer, New Dehli, pp 323–339
Reich PB, Schoettle AV, Raba RM, Admundson RG (1986) Response of soybean to low concentration of ozone. 1. Reduction in leaf and whole plant net photosynthesis and leaf chlorophyll content. J Environ Qual 15:31–36
Ruzin SE (1999) Plant microtechnique and microscopy. Oxford University Press, New York
Sakuraba Y, Yokono M, Akimoto S, Tanaka R, Tanaka A (2010) Deregulated chlorophyll b synthesis reduces the energy transfer rate between photosynthetic pigments and induces photodamage in Arabidopsis thaliana. Plant Cell Physiol 51(6):1055–1065
Schwab M, Noga G, Barthlott W (1993) Einfluß eines Mg- und Ca-Mangels auf Synthese, chemische Zusammensetzung und mikromorphologische Ausbildung von epicuticulären Wachsen bei Kohlrabiblättern. Angew Bot 67:172–179
Shepherd T, Griffiths DW (2006) The effects of stress on plant cuticular waxes. New Phytol 171:469–499. doi:10.111/j.1469-8137.2006.01826.x
Singh SN, Rao DN (1981) Certain responses of wheat plants to cement dust pollution. Environ Pollut 24:75–78
Spiecker H, Mielikäinen K, Köhl M, Skovsgaard JP (eds) (1996) Growth trends in European forests: studies from 12 countries. European Forest Institute Research Report 5. Springer, Heidelberg
Tessier JT, Raynal DJ (2003) Use of nitrogen to phosphorus ratios in plant tissue as an indicator of nutrient limitation and nitrogen saturation. J Appl Ecol 40:523–534. doi:10.1046/j.1365-2664.2003.00820.x
Thomas PA, Packham JR (2007) Ecology of woodlands and forests. Description, dynamics and diversity. Cambridge University Press, Cambridge
Turunen M, Huttunen S, Bäck J, Lamppu J (1995) Acid-rain-induced changes in cuticles and Ca distribution in Scots pine and Norway spruce seedlings. Can J For Res 25:1313–1325. doi:10.1139/x95-144
van Bremen N, van Dijk HFG (1988) Ecosystem effects of atmospheric deposition of nitrogen in the Netherlands. Environ Pollut 54:249–274
Vernon LP (1960) Spectrophotometric determination of chlorophylls and pheophytins in plant extracts. Anal Chem 32:1144–1150. doi:10.1021/ac60165a029
Wissuwa M (2003) How do plants achieve tolerance to phosphorus deficiency? Small causes with big effects. Plant Physiol 133:1947–1958. doi:10.1104/pp.103.029306
Wojterski T (1993) Dry coastal ecosystems of Poland. In: van der Maarel E (ed) Ecosystems of the world. 2A. Dry coastal ecosystems. Polar regions and Europe. Elsevier, Amsterdam, pp 145–163
Acknowledgments
The authors thank their colleagues Kersti Poom for technical assistance and Mari Tilk for help in fieldwork. Special thanks are due to the Estonian Ministry of Education and Research (project No. SF0170021s08) for financial support of this project.
Author information
Authors and Affiliations
Corresponding author
Additional information
Communicated by J. Major.
Rights and permissions
About this article
Cite this article
Mandre, M., Lukjanova, A., Pärn, H. et al. State of Scots pine (Pinus sylvestris L.) under nutrient and water deficit on coastal dunes of the Baltic Sea. Trees 24, 1073–1085 (2010). https://doi.org/10.1007/s00468-010-0479-9
Received:
Revised:
Accepted:
Published:
Issue Date:
DOI: https://doi.org/10.1007/s00468-010-0479-9