Skip to main content

Successful closure of defects in the upper gastrointestinal tract by endoscopic vacuum therapy (EVT): a prospective cohort study

Abstract

Background

Perforations and anastomotic leakages of the upper gastrointestinal (GI) tract cause a high morbidity and mortality rate. Only limited data exist for endoscopic vacuum therapy (EVT) in the upper GI tract.

Methods

Fifty-two patients (37 men and 15 women, ages 41–94 years) were treated (12/2011–12/2015) with EVT for anastomotic insufficiency secondary to esophagectomy or gastrectomy (n = 39), iatrogenic esophageal perforation (n = 9) and Boerhaave syndrome (n = 4). After diagnosis, polyurethane sponges were endoscopically positioned with a total of 390 interventions and continuous negative pressure of 125 mm of mercury (mmHg) was applied to the EVT-system. Sponges were changed endoscopically twice per week. Clinical and therapy-related data and mortality were analyzed.

Results

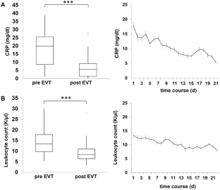
After 1–25 changes of the sponge at intervals of 3–5 days with a mean of 6 sponge changes and a mean duration of therapy of 22 days, the defects were healed in 94.2 % of all patients without revision surgery. In three patients (6 %), EVT failed. Two of these patients died due to hemorrhage related to EVT. Four postinterventional strictures were observed during the follow-up of up to 4 years.

Conclusion

Esophageal wall defects of different etiology in the upper gastrointestinal tract can be treated successfully with EVT, considering that indication for EVT should be weighed carefully. EVT can be regarded as a novel life-saving therapeutic tool.

This is a preview of subscription content, access via your institution.

Fig. 1
Fig. 2
Fig. 3
Fig. 4

Abbreviations

GI:

Gastrointestinal

EVT:

Endoscopic vacuum therapy

SEMS:

Self-expanding metal stent

SEPS:

Self-expanding plastic stent

CT:

Computed tomography

OTSC:

Over-the-scope clip

WBC:

White blood cell count

CRP:

c-reactive protein

PVC:

Polyvinyl chloride

References

  1. Junemann-Ramirez M, Awan MY, Khan ZM, Rahamim JS (2005) Anastomotic leakage post-esophagogastrectomy for esophageal carcinoma: retrospective analysis of predictive factors, management and influence on long-term survival in a high volume centre. Eur J Cardiothorac Surg 27:3–7

    CAS  Article  PubMed  Google Scholar 

  2. Voermans RP, Le Moine O, von Renteln D, Ponchon T, Giovannini M, Bruno M, Weusten B, Seewald S, Costamagna G, Deprez P, Fockens P (2012) Efficacy of endoscopic closure of acute perforations of the gastrointestinal tract. Clin Gastroenterol Hepatol 10:603–608

    Article  PubMed  Google Scholar 

  3. Schorsch T, Muller C, Loske G (2013) Endoscopic vacuum therapy of anastomotic leakage and iatrogenic perforation in the esophagus. Surg Endosc 27:2040–2045

    Article  PubMed  Google Scholar 

  4. Biancari F, D’Andrea V, Paone R, Di Marco C, Savino G, Koivukangas V, Saarnio J, Lucenteforte E (2013) Current treatment and outcome of esophageal perforations in adults: systematic review and meta-analysis of 75 studies. World J Surg 37:1051–1059

    Article  PubMed  Google Scholar 

  5. Kuehn F, Schiffmann L, Janisch F, Schwandner F, Alsfasser G, Gock M, Klar E (2016) Surgical endoscopic vacuum therapy for defects of the upper gastrointestinal tract. J Gastrointest Surg 20:237–243

    Article  PubMed  Google Scholar 

  6. Alanezi K, Urschel JD (2004) Mortality secondary to esophageal anastomotic leak. Ann Thorac Cardiovasc Surg 10:71–75

    PubMed  Google Scholar 

  7. Lang H, Piso P, Stukenborg C, Raab R, Jahne J (2000) Management and results of proximal anastomotic leaks in a series of 1114 total gastrectomies for gastric carcinoma. Eur J Surg Oncol 26:168–171

    CAS  Article  PubMed  Google Scholar 

  8. Ikeguchi M, Oka S, Gomyo Y, Tsujitani S, Maeta M, Kaibara N (2001) Postoperative morbidity and mortality after gastrectomy for gastric carcinoma. Hepatogastroenterology 48:1517–1520

    CAS  PubMed  Google Scholar 

  9. Smallwood NR, Fleshman JW, Leeds SG, Burdick JS (2015) The use of endoluminal vacuum (E-Vac) therapy in the management of upper gastrointestinal leaks and perforations. Surg Endosc 30:2473–2480

    Article  PubMed  Google Scholar 

  10. Schaheen L, Blackmon SH, Nason KS (2014) Optimal approach to the management of intrathoracic esophageal leak following esophagectomy: a systematic review. Am J Surg 208:536–543

    Article  PubMed  PubMed Central  Google Scholar 

  11. Bohm G, Mossdorf A, Klink C, Klinge U, Jansen M, Schumpelick V, Truong S (2010) Treatment algorithm for postoperative upper gastrointestinal fistulas and leaks using combined vicryl plug and fibrin glue. Endoscopy 42:599–602

    CAS  Article  PubMed  Google Scholar 

  12. Hampe J, Schniewind B, Both M, Fritscher-Ravens A (2010) Use of a NOTES closure device for full-thickness suturing of a postoperative anastomotic esophageal leakage. Endoscopy 42:595–598

    CAS  Article  PubMed  Google Scholar 

  13. Tuebergen D, Rijcken E, Mennigen R, Hopkins AM, Senninger N, Bruewer M (2008) Treatment of thoracic esophageal anastomotic leaks and esophageal perforations with endoluminal stents: efficacy and current limitations. J Gastrointest Surg 12:1168–1176

    Article  PubMed  Google Scholar 

  14. Mennigen R, Senninger N, Laukoetter MG (2014) Novel treatment options for perforations of the upper gastrointestinal tract: endoscopic vacuum therapy and over-the-scope clips. World J Gastroenterol 20:7767–7776

    Article  PubMed  PubMed Central  Google Scholar 

  15. van Boeckel PG, Sijbring A, Vleggaar FP, Siersema PD (2011) Systematic review: temporary stent placement for benign rupture or anastomotic leak of the oesophagus. Aliment Pharmacol Ther 33:1292–1301

    Article  PubMed  Google Scholar 

  16. Dasari BV, Neely D, Kennedy A, Spence G, Rice P, Mackle E, Epanomeritakis E (2014) The role of esophageal stents in the management of esophageal anastomotic leaks and benign esophageal perforations. Ann Surg 259:852–860

    Article  PubMed  Google Scholar 

  17. Weidenhagen R, Gruetzner KU, Wiecken T, Spelsberg F, Jauch KW (2008) Endoscopic vacuum-assisted closure of anastomotic leakage following anterior resection of the rectum: a new method. Surg Endosc 22:1818–1825

    Article  PubMed  Google Scholar 

  18. Mennigen R, Senninger N, Laukoetter MG (2015) Endoscopic vacuum therapy of esophageal anastomotic leakage. Gastrointest Endosc 82:397

    Article  PubMed  Google Scholar 

  19. Mennigen R, Harting C, Lindner K, Vowinkel T, Rijcken E, Palmes D, Senninger N, Laukoetter MG (2015) Comparison of endoscopic vacuum therapy versus stent for anastomotic leak after esophagectomy. J Gastrointest Surg 19:1229–1235

    Article  PubMed  Google Scholar 

  20. Wedemeyer J, Schneider A, Manns MP, Jackobs S (2008) Endoscopic vacuum-assisted closure of upper intestinal anastomotic leaks. Gastrointest Endosc 67:708–711

    Article  PubMed  Google Scholar 

  21. Loske G, Muller C (2009) Vacuum therapy of an esophageal anastomotic leakage—a case report. Zentralbl Chir 134:267–270

    CAS  Article  PubMed  Google Scholar 

  22. Loske G, Muller C (2009) Endoscopic vacuum-assisted closure of upper intestinal anastomotic leaks. Gastrointest Endosc 69:601–602 (author reply 602)

    Article  PubMed  Google Scholar 

  23. Kuehn F, Schiffmann L, Rau BM, Klar E (2012) Surgical endoscopic vacuum therapy for anastomotic leakage and perforation of the upper gastrointestinal tract. J Gastrointest Surg 16:2145–2150

    CAS  Article  PubMed  Google Scholar 

  24. Bludau M, Holscher AH, Herbold T, Leers JM, Gutschow C, Fuchs H, Schroder W (2014) Management of upper intestinal leaks using an endoscopic vacuum-assisted closure system (E-VAC). Surg Endosc 28:896–901

    CAS  Article  PubMed  Google Scholar 

  25. Brangewitz M, Voigtlander T, Helfritz FA, Lankisch TO, Winkler M, Klempnauer J, Manns MP, Schneider AS, Wedemeyer J (2013) Endoscopic closure of esophageal intrathoracic leaks: stent versus endoscopic vacuum-assisted closure, a retrospective analysis. Endoscopy 45:433–438

    CAS  Article  PubMed  Google Scholar 

  26. Schniewind B, Schafmayer C, Voehrs G, Egberts J, von Schoenfels W, Rose T, Kurdow R, Arlt A, Ellrichmann M, Jurgensen C, Schreiber S, Becker T, Hampe J (2013) Endoscopic endoluminal vacuum therapy is superior to other regimens in managing anastomotic leakage after esophagectomy: a comparative retrospective study. Surg Endosc 27:3883–3890

    Article  PubMed  Google Scholar 

  27. Schorsch T, Muller C, Loske G (2014) Endoscopic vacuum therapy of perforations and anastomotic insufficiency of the esophagus. Chirurg 85:1081–1093

    CAS  Article  PubMed  Google Scholar 

  28. Wedemeyer J, Brangewitz M, Kubicka S, Jackobs S, Winkler M, Neipp M, Klempnauer J, Manns MP, Schneider AS (2010) Management of major postsurgical gastroesophageal intrathoracic leaks with an endoscopic vacuum-assisted closure system. Gastrointest Endosc 71:382–386

    Article  PubMed  Google Scholar 

  29. Weidenhagen R, Hartl WH, Gruetzner KU, Eichhorn ME, Spelsberg F, Jauch KW (2010) Anastomotic leakage after esophageal resection: new treatment options by endoluminal vacuum therapy. Ann Thorac Surg 90:1674–1681

    Article  PubMed  Google Scholar 

  30. Wallstabe I, Plato R, Weimann A (2010) Endoluminal vacuum therapy for anastomotic insufficiency after gastrectomy. Endoscopy 42(Suppl 2):E165–E166

    Article  PubMed  Google Scholar 

  31. Ahrens M, Schulte T, Egberts J, Schafmayer C, Hampe J, Fritscher-Ravens A, Broering DC, Schniewind B (2010) Drainage of esophageal leakage using endoscopic vacuum therapy: a prospective pilot study. Endoscopy 42:693–698

    CAS  Article  PubMed  Google Scholar 

  32. Heits N, Stapel L, Reichert B, Schafmayer C, Schniewind B, Becker T, Hampe J, Egberts JH (2014) Endoscopic endoluminal vacuum therapy in esophageal perforation. Ann Thorac Surg 97:1029–1035

    Article  PubMed  Google Scholar 

  33. Loske G, Schorsch T, Muller C (2011) Intraluminal and intracavitary vacuum therapy for esophageal leakage: a new endoscopic minimally invasive approach. Endoscopy 43:540–544

    CAS  Article  PubMed  Google Scholar 

Download references

Author information

Affiliations

Authors

Corresponding author

Correspondence to Mike G. Laukoetter.

Ethics declarations

Disclosures

M.G. Laukoetter is a member of the expert panel of negative pressure wound therapy of the Paul Hartmann (AG) holding company. He received fees for invited speeches on endoscopic vacuum therapy. Drs. R. Mennigen, P.A. Neumann, S. Dhayat, G. Horst, D. Palmes, N. Senninger and T. Vowinkel have no conflicts of interest or financial ties to disclose.

Additional information

Mike G. Laukoetter and Rudolf Mennigen have contributed equally to this work.

Rights and permissions

Reprints and Permissions

About this article

Verify currency and authenticity via CrossMark

Cite this article

Laukoetter, M.G., Mennigen, R., Neumann, P.A. et al. Successful closure of defects in the upper gastrointestinal tract by endoscopic vacuum therapy (EVT): a prospective cohort study. Surg Endosc 31, 2687–2696 (2017). https://doi.org/10.1007/s00464-016-5265-3

Download citation

  • Received:

  • Accepted:

  • Published:

  • Issue Date:

  • DOI: https://doi.org/10.1007/s00464-016-5265-3

Keywords

  • Endoscopic vacuum therapy
  • Anastomosis
  • Leak
  • Esophageal perforation
  • Postoperative complications
  • Upper gastrointestinal tract