Skip to main content

The influence of periarterial papaverine application on intraoperative renal function and blood flow during laparoscopic donor nephrectomy in a pig model

Abstract

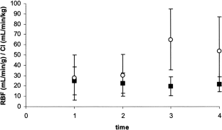
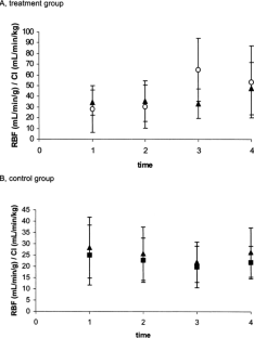
Background: The transplantation of live donor kidneys harvested laparoscopically is associated with a higher incidence of delayed graft function than the transplantation of grafts harvested via the open technique. The delay is believed to be due to a decrease in renal blood flow during laparoscopic donor nephrectomy (LDN). The aim of this study was to evaluate whether renal function and blood perfusion can be enhanced by the periarterial application of papaverine during LDN. Methods: Renal function and blood flow were studied in a porcine model that included a total of 24 pigs (20–30 kg). In 12 of the pigs, urine output and creatinine clearance were determined as measures of renal function. In the other 12 pigs, renal blood flow was determined using fluorescent-labeled microspheres. In each group, the pigs were randomized into two subgroups, one with and one without a perivascular injection of 50 mg papaverine. Results: As compared to the controls, the animals receiving papaverine had a significantly higher urine output (3.1 ± 1.6 vs 0.9 ± 0.45 ml/h/kg; p = 0.02), superior creatinine clearance (2.22 ± 0.5 vs 0.95 ± 0.1 ml/min/kg; p = 0.038), and enhanced renal blood flow (4.9 ± 2.2 vs 2.1 ± 0.8 ml/min/g; p = 0.008). Conclusions: When applied to the tissue surrounding the renal artery, papaverine substantially improves renal function and blood flow during laparoscopic live kidney donation. Whether graft optimization during kidney procurement also translates into improved posttransplantation function remains to be established.

This is a preview of subscription content, access via your institution.

Figure 1
Figure 2
Figure 3
Figure 4
Figure 5

References

  1. AT Ali WD Montgomery WP Santamore PA Spence (1997) ArticleTitlePreventing gastroepiploic artery spasm: papaverine vs. calcium channel blockade. J Surg Res 71 41–48 Occurrence Handle10.1006/jsre.1997.5138 Occurrence Handle1:CAS:528:DyaK2sXls1Oqtbw%3D Occurrence Handle9271276

    Article  CAS  PubMed  Google Scholar 

  2. B Arquilla R Gupta J Gernshiemer M Fischer (2000) ArticleTitleAcute arterial spasm in an extremity caused by inadvertent intra-arterial injection successfully treated in the emergency department. J Emerg Med 19 139–143 Occurrence Handle10.1016/S0736-4679(00)00200-6 Occurrence Handle1:STN:280:DC%2BD3cvjslOhtQ%3D%3D Occurrence Handle10903461

    Article  CAS  PubMed  Google Scholar 

  3. LJ Cisek RM Gobet CA Peters (1998) ArticleTitlePneumoperitoneum produces reversible renal dysfuntion in animals with normal and chronically reduced renal function. J Endourol 12 95–100 Occurrence Handle1:STN:280:DyaK1c3mvVCnuw%3D%3D Occurrence Handle9607433

    CAS  PubMed  Google Scholar 

  4. FC Finelli E Gongora TM Sasaki JA Light (2001) ArticleTitleA survey: the prevalence of laparoscopic donor nephrectomy at large U.S. transplant centers. Transplantation 71 1862–1864 Occurrence Handle10.1097/00007890-200106270-00027 Occurrence Handle1:STN:280:DC%2BD3MvgtFeisw%3D%3D Occurrence Handle11455272

    Article  CAS  PubMed  Google Scholar 

  5. JF Flowers S Jacobs E Cho A Morton WF Rosenberger D Evans AL Imbembo ST Bartlett (1997) ArticleTitleComparison of open and laparoscopic live donor nephrectomy. Ann Surg 226 483–489 Occurrence Handle1:STN:280:DyaK1c%2Fht1Srsw%3D%3D Occurrence Handle9351716

    CAS  PubMed  Google Scholar 

  6. H Hausmann J Photiadis R Hatzer (1996) ArticleTitleBlood flow in the internal mammary artery after the administration of papaverine during coronary artery bypass grafting. Tex Heart Inst J 23 279–283 Occurrence Handle1:STN:280:ByiC38znvFU%3D Occurrence Handle8969027

    CAS  PubMed  Google Scholar 

  7. A Koffron C Herman O Gross M Ferrario D Kaufman M Abecassis J Fryer F Stuart J Leventhal (2001) ArticleTitleLaparoscopic donor nephrectomy: analysis of donor and recipient outcomes. Transplant Proc 33 1111 Occurrence Handle10.1016/S0041-1345(00)02437-4 Occurrence Handle1:STN:280:DC%2BD3M7mvVOmsg%3D%3D Occurrence Handle11267213

    Article  CAS  PubMed  Google Scholar 

  8. ET London HS Ho AMC Neruhaus BM Wolfe SM Rudich RV Perez (2000) ArticleTitleEffect of intravascular volume expansion on renal function during prolonged CO2 pneumoperitoneum. Ann Surg 231 195–201 Occurrence Handle10.1097/00000658-200002000-00007 Occurrence Handle1:STN:280:DC%2BD3c7jslSktw%3D%3D Occurrence Handle10674610

    Article  CAS  PubMed  Google Scholar 

  9. EM McDougall TG Monk JS Wolf Jr M Hicks RV Clayman S Gardner PA Humphrey T Sharp K Martin (1996) ArticleTitleThe effect of prolonged pneumoperitoneum on renal function in an animal model. J Am Coll Surg 182 317–328 Occurrence Handle1:STN:280:BymC1MrmvFQ%3D Occurrence Handle8605555

    CAS  PubMed  Google Scholar 

  10. Y Miki K Iwase W Kamiike E Taniguchi K Sakaguchi J Sumimura H Matsuda I Nagai (1997) ArticleTitleLaparoscopic cholecystectomy and time-course changes in renal function: the effect of the retraction method on renal function. Surg Endosc 11 838–841 Occurrence Handle10.1007/s004649900466 Occurrence Handle1:STN:280:ByiH3M7ntFY%3D Occurrence Handle9266647

    Article  CAS  PubMed  Google Scholar 

  11. RA Montgomery LR Kavoussi LM Su V Sinkov C Cohen WR Maley JF Burdick J Markowitz LE Ratner (2001) ArticleTitleImproved recipient results after 5 years of performing laparoscopic donor nephrectomy. Transplant Proc 33 1108–1110 Occurrence Handle10.1016/S0041-1345(00)02436-2 Occurrence Handle1:STN:280:DC%2BD3M7mvVOnuw%3D%3D Occurrence Handle11267212

    Article  CAS  PubMed  Google Scholar 

  12. JM Nogueira CB Cangro JC Fink E Schweitzer A Wiland DK Klassen J Gardner J Flowers S Jacobs E Cho et al. (1999) ArticleTitleA comparison of recipient renal outcomes with laparoscopic versus open live donor nephrectomy. Transplantation 67 722–728 Occurrence Handle10.1097/00007890-199903150-00014 Occurrence Handle1:STN:280:DyaK1M7psVWqsQ%3D%3D Occurrence Handle10096529

    Article  CAS  PubMed  Google Scholar 

  13. O Ostraat H Lonnroth M Olausson I Blohme (2000) ArticleTitleExperience with laparoscopic donor nephrectomy at a European transplant centre. Transpl Int 13 S253–S254

    Google Scholar 

  14. B Philosophe PC Kuo EJ Schweitzer AC Farney JW Lim LB Johnson S Jacobs JL Flowers ES Cho ST Bartlett (1999) ArticleTitleLaparoscopic versus open donor nephrectomy. Transplantation 68 497–502 Occurrence Handle1:STN:280:DyaK1MvgvVarsQ%3D%3D Occurrence Handle10480406

    CAS  PubMed  Google Scholar 

  15. S Raab E Thein AG Harris K Messmer (1999) ArticleTitleA new sample processing unit for the fluorescent microsphere method. Am J Physiol 276 H1806–H1807

    Google Scholar 

  16. LE Ratner LJ Ciseck RG Moore FG Cigarroa HS Kaufman LR Kavoussi (1995) ArticleTitleLaparoscopic live donor nephrectomy. Transplantation 60 1047–1049 Occurrence Handle1:STN:280:BymD28jotVc%3D Occurrence Handle7491680

    CAS  PubMed  Google Scholar 

  17. LE Ratner LR Kavoussi M Sroka J Hiller R Weber PG Schulam R Montgomery (1997) ArticleTitleLaparoscopic assisted live donor nephrectomy: a comparison with the open approach. Transplantation 63 229–233 Occurrence Handle1:STN:280:ByiC2s3itlw%3D Occurrence Handle9020322

    CAS  PubMed  Google Scholar 

  18. HA Razvi D Fields JC Vargas ED Vaughan A Vukasin RE Sosa (1996) ArticleTitleOliguria during laparoscopic surgery: evidence for direct renal parenchymal compression as an etiologic factor. J Endourol 10 1–4 Occurrence Handle1:STN:280:BymH3s%2FlvFI%3D Occurrence Handle8833721

    CAS  PubMed  Google Scholar 

  19. EJ Schweitzer J Wilson S Jacobs CH Machan B Philosophe A Farney J Colonna BE Jarrell ST Bartlett (2000) ArticleTitleIncreased rates of donation with laparoscopic donor nephrectomy. Ann Surg 232 392–400 Occurrence Handle10.1097/00000658-200009000-00011 Occurrence Handle1:STN:280:DC%2BD3cvktFKltA%3D%3D Occurrence Handle10973389

    Article  CAS  PubMed  Google Scholar 

  20. S Shafizadeh JR McEvoy C Murray GM Baillie E Ashcraft T Sill J Rogers P Baliga (2000) ArticleTitleLaparoscopic donor nephrectomy: impact on an established renal transplant program. Am Surg 66 1132–1135 Occurrence Handle1:STN:280:DC%2BD3M%2FptlGhtw%3D%3D Occurrence Handle11149584

    CAS  PubMed  Google Scholar 

  21. E Thein S Raab AG Harris K Messmer (2000) ArticleTitleAutomation of the use of fluorescent microspheres for the determination of blood flow. Comput Meth Prog Biol 61 11–21 Occurrence Handle10.1016/S0169-2607(99)00024-3 Occurrence Handle1:STN:280:DC%2BD3c7itlKlsA%3D%3D

    Article  CAS  Google Scholar 

  22. AB Vardiman TA Kopitnik PD Purdy HH Batjer DS Samson (1995) ArticleTitleTreatment of traumatic arterial vasospasm with intraarterial papaverine infusion. Am J Neuroradiol 16 319–321 Occurrence Handle1:STN:280:ByqB2czhtlw%3D Occurrence Handle7726078

    CAS  PubMed  Google Scholar 

  23. JS Jr Wolf RM Merion AB Leichtman DA Campbell Jr JC Magee JD Punch JG Turcotte JW Konnak (2001) ArticleTitleRandomized controlled trial of hand-assisted laparoscopic versus open surgical live donor nephrectomy. Transplantation 72 284–290 Occurrence Handle1:STN:280:DC%2BD3MvktFWisQ%3D%3D Occurrence Handle11477354

    CAS  PubMed  Google Scholar 

  24. SC Yang DS Park DH Lee JM Lee K Park (1995) ArticleTitleRetroperitoneal endoscopic live donor nephrectomy: report of 3 cases. J Urol 153 1884–1886 Occurrence Handle10.1097/00005392-199506000-00040 Occurrence Handle1:STN:280:ByqB2s7nslI%3D Occurrence Handle7752340

    Article  CAS  PubMed  Google Scholar 

Download references

Acknowledgements

We are grateful to Gabi Berghammer for editing the manuscript. The cooperation of the nursery staff of the Institute of Experimental Oncology and Treatment Research is also acknowledged.

Author information

Affiliations

Authors

Corresponding author

Correspondence to J. Zacherl.

Rights and permissions

Reprints and Permissions

About this article

Cite this article

Zacherl, J., Thein, E., Stangl, M. et al. The influence of periarterial papaverine application on intraoperative renal function and blood flow during laparoscopic donor nephrectomy in a pig model . Surg Endosc 17, 1231–1236 (2003). https://doi.org/10.1007/s00464-002-8835-5

Download citation

  • Received:

  • Accepted:

  • Published:

  • Issue Date:

  • DOI: https://doi.org/10.1007/s00464-002-8835-5

Keywords

  • Laparoscopy
  • Donor nephrectomy
  • Live organ donation
  • Papaverine
  • Renal perfusion
  • Kidney transplantation