Skip to main content

Co-composting of oil-based drilling cuttings by bagasse

Abstract

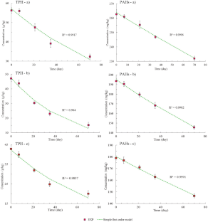
The feasibility of using a locally abundant bulking material (sugarcane bagasse) in Khuzestan province, Iran, to remove petroleum hydrocarbons from oil-based drill cuttings (OBDCs), using composting process, was investigated. OBDCs were collected from the discharge point of a drilling rig and bagasse was collected from a sugarcane agro-industry near Ahwaz. Experiments were performed in the dark and at room temperature, using different bagasse to OBDCs ratios. Degradation extent and kinetics of total petroleum hydrocarbons (TPHs) and poly aromatic hydrocarbons (PAHs), as well as dehydrogenase and urease enzymes activities and number of heterotroph bacteria during the co-composting of OBDCs and bagasse were studied and measured. Highest PAHs and TPH removals were observed when OBDCs were composted with 15% bagasse. After 70 days of incubation, PAHs and TPH were removed up to 24.8% and 67.5%, respectively. Studying the enzymes activities and number of heterotrophs with TPH and PAHs concentrations over time suggests that biodegradation is the main mechanism in the degradation process. The first-order kinetic model was fitted to the TPH and PAHs degradation data and contaminants half-lives were estimated to be in the range of 40–80 and 170–240 days respectively. DT90 values for TPH and PAHs were in the range of 120–260 and 560–1260 days, depending on the bagasse content.

This is a preview of subscription content, access via your institution.

Fig. 1
Fig. 2
Fig. 3
Fig. 4
Fig. 5
Fig. 6
Fig. 7
Fig. 8
Fig. 9

References

  1. Qin X, Huang G, He L (2009) Simulation and optimization technologies for petroleum waste management and remediation process control. J Environ Manage 90(1):54–76

    CAS  PubMed  Google Scholar 

  2. Talbi Z, Haddou B, Bouberka Z, Derriche Z (2009) Simultaneous elimination of dissolved and dispersed pollutants from cutting oil wastes using two aqueous phase extraction methods. J Hazard Mater 163(2):748–755

    CAS  PubMed  Google Scholar 

  3. Kafashi S, Rasaei M, Karimi G (2017) Effects of sugarcane and polyanionic cellulose on rheological properties of drilling mud: an experimental approach. Egypt J Pet 26(2):371–374. https://doi.org/10.1016/j.ejpe.2016.05.009

    Article  Google Scholar 

  4. Patel AD, Mettath S, Stamatakis E, Young S, Friedheim J (2013) Fluid loss additive for oil-based muds. US Patent 8,871,690. US Patent and Trademark Office, Washington, DC

  5. Setyawan W, Ashfahani AS, Fajarwati K, Marbun B, Manurung R (2011) Alternative use of castor oil for vegetable oil-based mud environmentally friendly potential domestic oil-based mud. In: Proceedings, Indonesian Petroleum Association. 35th annual convention & exhibition

  6. Grant A, Briggs AD (2002) Toxicity of sediments from around a North Sea oil platform: are metals or hydrocarbons responsible for ecological impacts? Mar Environ Res 53(1):95–116

    CAS  PubMed  Google Scholar 

  7. Wang Z, Xu Y, Zhao J, Li F, Gao D, Xing B (2011) Remediation of petroleum contaminated soils through composting and rhizosphere degradation. J Hazard Mater 190(1):677–685

    CAS  PubMed  Google Scholar 

  8. Aislabie J, Saul DJ, Foght JM (2006) Bioremediation of hydrocarbon-contaminated polar soils. Extremophiles 10(3):171–179

    CAS  PubMed  Google Scholar 

  9. Atlas RM (1991) Microbial hydrocarbon degradation–bioremediation of oil spills. J Chem Technol Biotechnol 52(2):149–156

    CAS  Google Scholar 

  10. Nwachukwu S (2000) The use of land for field evaluations of the impact of crude oil on the biotic and abiotic factors in developing bioremediation strategies for agricultural land upon pollution with crude petroleum or petroleum products. J Environ Biol 21(4):359–366

    CAS  Google Scholar 

  11. Tahhan RA, Ammari TG, Goussous SJ, Al-Shdaifat HI (2011) Enhancing the biodegradation of total petroleum hydrocarbons in oily sludge by a modified bioaugmentation strategy. Int Biodeterior Biodegrad 65(1):130–134

    CAS  Google Scholar 

  12. Liu P-WG, Chang TC, Whang L-M, Kao C-H, Pan P-T, Cheng S-S (2011) Bioremediation of petroleum hydrocarbon contaminated soil: effects of strategies and microbial community shift. Int Biodeterior Biodegrad 65(8):1119–1127

    Google Scholar 

  13. Sarkar D, Ferguson M, Datta R, Birnbaum S (2005) Bioremediation of petroleum hydrocarbons in contaminated soils: comparison of biosolids addition, carbon supplementation, and monitored natural attenuation. Environ Pollut 136(1):187–195

    CAS  PubMed  Google Scholar 

  14. Puglisi E, Cappa F, Fragoulis G, Trevisan M, Del Re AA (2007) Bioavailability and degradation of phenanthrene in compost amended soils. Chemosphere 67(3):548–556

    CAS  PubMed  Google Scholar 

  15. Namkoong W, Hwang E-Y, Park J-S, Choi J-Y (2002) Bioremediation of diesel-contaminated soil with composting. Environ Pollut 119(1):23–31

    CAS  PubMed  Google Scholar 

  16. Van Gestel K, Mergaert J, Swings J, Coosemans J, Ryckeboer J (2003) Bioremediation of diesel oil-contaminated soil by composting with biowaste. Environ Pollut 125(3):361–368

    PubMed  Google Scholar 

  17. NISOC (2017) The amount of oil in Khuzestan. National Iranian South Oilfields Company (in Persian). https://www.nisoc.ir/

  18. Sheikhdavoodi MJ, Almassi M, Ebrahimi-Nik M, Kruse A, Bahrami H (2015) Gasification of sugarcane bagasse in supercritical water; evaluation of alkali catalysts for maximum hydrogen production. J Energy Inst 88(4):450–458

    CAS  Google Scholar 

  19. Alavi N, Daneshpajou M, Shirmardi M, Goudarzi G, Neisi A, Babaei AA (2017) Investigating the efficiency of co-composting and vermicomposting of vinasse with the mixture of cow manure wastes, bagasse, and natural zeolite. Waste Manag 69:117–126

    CAS  PubMed  Google Scholar 

  20. Rojas-Avelizapa NG, Roldan-Carrillo T, Zegarra-Martinez H, Munoz-Colunga A, Fernandez-Linares LC (2007) A field trial for an ex-situ bioremediation of a drilling mud-polluted site. Chemosphere 66(9):1595–1600

    CAS  PubMed  Google Scholar 

  21. Onwosi CO, Odibo FJC, Enebechi CK, Nwankwegu AS, Ikele AI, Okeh OC (2017) Bioremediation of diesel-contaminated soil by composting with locally generated bulking agents. Soil Sedim Contam Int J 26(4):438–456

    CAS  Google Scholar 

  22. Hamzah A, Phan C-W, Yong P-H, Mohd Ridzuan NH (2014) Oil palm empty fruit bunch and sugarcane bagasse enhance the bioremediation of soil artificially polluted by crude oil. Soil Sedim Contam Int J 23(7):751–762

    CAS  Google Scholar 

  23. Mihial DJ, Viraraghavan T, Jin Y-C (2006) Bioremediation of petroleum-contaminated soil using composting. Pract Period Hazard Toxic Radioact Waste Manag 10(2):108–115

    CAS  Google Scholar 

  24. Atagana HI (2008) Compost bioremediation of hydrocarbon-contaminated soil inoculated with organic manure. Afr J Biotechnol 7(10):1516–1525

    Google Scholar 

  25. Dadrasnia A, Agamuthu P (2013) Dynamics of diesel fuel degradation in contaminated soil using organic wastes. Int J Environ Sci Technol 10(4):769–778

    CAS  Google Scholar 

  26. Arslan E, Obek E, Kirbag S, Ipek U, Topal M (2008) Determination of the effect of compost on soil microorganisms. Int J Sci Technol 3(2):151–159

    Google Scholar 

  27. Ma J, Yang Y, Dai X, Chen Y, Deng H, Zhou H, Guo S, Yan G (2016) Effects of adding bulking agent, inorganic nutrient and microbial inocula on biopile treatment for oil-field drilling waste. Chemosphere 150:17–23

    CAS  PubMed  Google Scholar 

  28. Ayotamuno JM, Okparanma RN, Araka PP (2009) Bioaugmentation and composting of oil-field drill-cuttings containing polycyclic aromatic hydrocarbons (PAHs). J Food Agric Environ 7(2):658–664

    Google Scholar 

  29. Alavi N, Sarmadi K, Goudarzi G, Babaei AA, Bakhshoodeh R, Paydary P (2019) Attenuation of tetracyclines during chicken manure and bagasse co-composting: degradation, kinetics, and artificial neural network modeling. J Environ Manag 231:1203–1210. https://doi.org/10.1016/j.jenvman.2018.11.003

    CAS  Article  Google Scholar 

  30. Tchobanoglous G, Theisen H, Vigil S (1993) Integrated solid waste management: engineering principles and management issues. New York, USA, New York

    Google Scholar 

  31. Margesin R, Zimmerbauer A, Schinner F (2000) Monitoring of bioremediation by soil biological activities. Chemosphere 40(4):339–346

    CAS  PubMed  Google Scholar 

  32. Antizar-Ladislao B, Lopez-Real J, Beck A (2004) Bioremediation of polycyclic aromatic hydrocarbon (PAH)-contaminated waste using composting approaches. Crit Rev Environ Sci Technol 34(3):249–289

    CAS  Google Scholar 

  33. Asgari A, Nabizadeh R, Mahvi A, Nasseri S, Dehghani M, Nazmara S, Yaghmaeian K (2017) Remediation of total petroleum hydrocarbons using combined in-vessel composting and oxidation by activated persulfate. Glob J Environ Sci Manag 3(4):373

    CAS  Google Scholar 

  34. HRN ISO 10390:2005 (2005) Soil quality-determination of pH. International standard. Croatian Standards Institute, Zagreb, Croatia

  35. Alef K, Nannipieri P (1995) Methods in applied soil microbiology and biochemistry. Elsevier/Academic Press, London

    Google Scholar 

  36. MOOPAM (1999) Manual of oceanographic observations and pollutant analysis methods. Regional Organization for Protection of the Marine Environment (ROPME), Kuwait, p 284

    Google Scholar 

  37. Schinner F, Öhlinger R, Kandeler E, Margesin R (1996) Methods in soil biology. Springer, Berlin. https://doi.org/10.1007/978-3-642-60966-4

    Article  Google Scholar 

  38. Adesodun J, Mbagwu J (2008) Biodegradation of waste-lubricating petroleum oil in a tropical alfisol as mediated by animal droppings. Biores Technol 99(13):5659–5665

    CAS  Google Scholar 

  39. Mohajeri L, Aziz HA, Isa MH, Zahed MA, Mohajeri S (2010) Ex-situ bioremediation of crude oil in soil, a comparative kinetic analysis. Bull Environ Contam Toxicol 85(1):54–58

    CAS  PubMed  Google Scholar 

  40. Venosa A, Holder E (2007) Biodegradability of dispersed crude oil at two different temperatures. Mar Pollut Bull 54(5):545–553

    CAS  PubMed  Google Scholar 

  41. Mohajeri L, Aziz H, Isa M, Zahed M, Mohajeri S (2013) Effect of remediation strategy on crude oil biodegradation kinetics and half life times in shoreline sediment samples. Int J Mar Sci Eng 3(2):99–104

    Google Scholar 

  42. Ramaswamy J, Prasher SO, Patel RM, Hussain SA, Barrington SF (2010) The effect of composting on the degradation of a veterinary pharmaceutical. Biores Technol 101(7):2294–2299

    CAS  Google Scholar 

  43. Ho YB, Zakaria MP, Latif PA, Saari N (2013) Degradation of veterinary antibiotics and hormone during broiler manure composting. Biores Technol 131:476–484

    CAS  Google Scholar 

  44. Wu X, Wei Y, Zheng J, Zhao X, Zhong W (2011) The behavior of tetracyclines and their degradation products during swine manure composting. Biores Technol 102(10):5924–5931

    CAS  Google Scholar 

  45. Wang Z, Xu Y, Zhao J, Li F, Gao D, Xing B (2011) Remediation of petroleum contaminated soils through composting and rhizosphere degradation. J Hazard Mater 190(1–3):677–685

    CAS  PubMed  Google Scholar 

  46. Das N, Chandran P (2011) Microbial degradation of petroleum hydrocarbon contaminants: an overview. Biotechnol Res Int 2011:941810

    PubMed  Google Scholar 

  47. Semple KT, Reid BJ, Fermor T (2001) Impact of composting strategies on the treatment of soils contaminated with organic pollutants. Environ Pollut 112(2):269–283

    CAS  PubMed  Google Scholar 

  48. Chiu S-W, Gao T, Chan CS-S, Ho CK-M (2009) Removal of spilled petroleum in industrial soils by spent compost of mushroom Pleurotus pulmonarius. Chemosphere 75(6):837–842

    CAS  PubMed  Google Scholar 

  49. Antizar-Ladislao B, Lopez-Real J, Beck AJ (2005) Laboratory studies of the remediation of polycyclic aromatic hydrocarbon contaminated soil by in-vessel composting. Waste Manag 25(3):281–289

    CAS  PubMed  Google Scholar 

  50. Gan S, Lau E, Ng H (2009) Remediation of soils contaminated with polycyclic aromatic hydrocarbons (PAHs). J Hazard Mater 172(2):532–549

    CAS  PubMed  Google Scholar 

  51. Balba M, Al-Awadhi N, Al-Daher R (1998) Bioremediation of oil-contaminated soil: microbiological methods for feasibility assessment and field evaluation. J Microbiol Methods 32(2):155–164

    CAS  Google Scholar 

  52. Yu X, Wu S, Wu F, Wong M (2011) Enhanced dissipation of PAHs from soil using mycorrhizal ryegrass and PAH-degrading bacteria. J Hazard Mater 186(2):1206–1217

    CAS  PubMed  Google Scholar 

  53. Beesley L, Moreno-Jiménez E, Gomez-Eyles JL (2010) Effects of biochar and greenwaste compost amendments on mobility, bioavailability and toxicity of inorganic and organic contaminants in a multi-element polluted soil. Environ Pollut 158(6):2282–2287

    CAS  PubMed  Google Scholar 

  54. Lu X-Y, Zhang T, Fang HH-P (2011) Bacteria-mediated PAH degradation in soil and sediment. Appl Microbiol Biotechnol 89(5):1357–1371

    CAS  PubMed  Google Scholar 

  55. Fernández-Luqueño F, Valenzuela-Encinas C, Marsch R, Martínez-Suárez C, Vázquez-Núñez E, Dendooven L (2011) Microbial communities to mitigate contamination of PAHs in soil—possibilities and challenges: a review. Environ Sci Pollut Res 18(1):12–30

    Google Scholar 

  56. Gomez-Eyles JL, Sizmur T, Collins CD, Hodson ME (2011) Effects of biochar and the earthworm Eisenia fetida on the bioavailability of polycyclic aromatic hydrocarbons and potentially toxic elements. Environ Pollut 159(2):616–622

    CAS  PubMed  Google Scholar 

  57. Langenhoff AA, Zehnder AJ, Schraa G (1996) Behaviour of toluene, benzene and naphthalene under anaerobic conditions in sediment columns. Biodegradation 7(3):267–274

    CAS  Google Scholar 

  58. Nwankwegu AS, Orji MU, Onwosi CO (2016) Studies on organic and in-organic biostimulants in bioremediation of diesel-contaminated arable soil. Chemosphere 162:148–156

    CAS  PubMed  Google Scholar 

  59. Frankenberger W, Johanson J (1982) Influence of crude oil and refined petroleum products on soil dehydrogenase activity. J Environ Qual 11(4):602–607

    CAS  Google Scholar 

  60. Hinchee RE, Kittel JA, Reisinger HJ (1995) Applied bioremediation of petroleum hydrocarbons. Battelle Press, Columbus

    Google Scholar 

  61. Imarhiagbe E, Atuanya E, Ogiehor I (2013) Co-composting of non-aqueous drilling fluid contaminated cuttings from Ologbo active oilfield with organic manure. Nigerian J Biotechnol 26(1):79–88

    Google Scholar 

  62. Al-Kindi S, Abed RM (2016) Comparing oil degradation efficiency and bacterial communities in contaminated soils subjected to biostimulation using different organic wastes. Water Air Soil Pollut 227(1):36

    Google Scholar 

  63. Agarry SE, Oghenejoboh KM, Solomon BO (2015) Kinetic modelling and half life study of adsorptive bioremediation of soil artificially contaminated with bonny light crude oil. J Ecol Eng 16(3):1–13

    Google Scholar 

  64. Alavi N, Mesdaghinia A-R, Naddafi K, Mohebali G, Daraei H, Maleki A, Alaei L (2014) Biodegradation of petroleum hydrocarbons in a soil polluted sample by oil-based drilling cuttings. Soil Sedim Contamin Int J 23(5):586–597

    CAS  Google Scholar 

  65. Jørgensen K, Puustinen J, Suortti A-M (2000) Bioremediation of petroleum hydrocarbon-contaminated soil by composting in biopiles. Environ Pollut 107(2):245–254

    PubMed  Google Scholar 

  66. Wu M, Li W, Dick WA, Ye X, Chen K, Kost D, Chen L (2017) Bioremediation of hydrocarbon degradation in a petroleum-contaminated soil and microbial population and activity determination. Chemosphere 169:124–130

    CAS  PubMed  Google Scholar 

Download references

Acknowledgements

The source of data used in this paper was from the M.Sc. thesis of Farhad Safdari, a student graduated from Ahvaz Jundishapur University of Medical Sciences (AJUMS). The authors gratefully acknowledge AJUMS and the Environmental Technologies Research Center (ETRC) for financial support and providing necessary facilities to accomplish this research under Project Number ETRC- 9214.

Author information

Affiliations

Authors

Corresponding author

Correspondence to Nadali Alavi.

Ethics declarations

Conflict of interest

The authors declare that there is no conflict of interest.

Additional information

Publisher's Note

Springer Nature remains neutral with regard to jurisdictional claims in published maps and institutional affiliations.

Rights and permissions

Reprints and Permissions

About this article

Verify currency and authenticity via CrossMark

Cite this article

Babaei, A.A., Safdari, F., Alavi, N. et al. Co-composting of oil-based drilling cuttings by bagasse. Bioprocess Biosyst Eng 43, 1–12 (2020). https://doi.org/10.1007/s00449-019-02195-6

Download citation

  • Received:

  • Revised:

  • Accepted:

  • Published:

  • Issue Date:

  • DOI: https://doi.org/10.1007/s00449-019-02195-6

Keywords

  • Total petroleum hydrocarbons
  • Polycyclic aromatic hydrocarbons
  • Composting
  • Oil-based drill cuttings
  • Bagasse