Skip to main content

Alkaline-sulfite pretreatment and use of surfactants during enzymatic hydrolysis to enhance ethanol production from sugarcane bagasse

Abstract

Sugarcane bagasse is a by-product from the sugar and ethanol industry which contains approximately 70 % of its dry mass composed by polysaccharides. To convert these polysaccharides into fuel ethanol it is necessary a pretreatment step to increase the enzymatic digestibility of the recalcitrant raw material. In this work, sugarcane bagasse was pretreated by an alkaline-sulfite chemithermomechanical process for increasing its enzymatic digestibility. Na2SO3 and NaOH ratios were fixed at 2:1, and three increasing chemical loads, varying from 4 to 8 % m/m Na2SO3, were used to prepare the pretreated materials. The increase in the alkaline-sulfite load decreased the lignin content in the pretreated material up to 35.5 % at the highest chemical load. The pretreated samples presented enhanced glucose yields during enzymatic hydrolysis as a function of the pretreatment severity. The maximum glucose yield (64 %) was observed for the samples pretreated with the highest chemical load. The use of 2.5 g l−1 Tween 20 in the hydrolysis step further increased the glucose yield to 75 %. Semi-simultaneous hydrolysis and fermentation of the pretreated materials indicated that the ethanol yield was also enhanced as a function of the pretreatment severity. The maximum ethanol yield was 56 ± 2 % for the sample pretreated with the highest chemical load. For the sample pretreated with the lowest chemical load (2 % m/m NaOH and 4 % m/m Na2SO3), adding Tween 20 during the hydrolysis process increased the ethanol yield from 25 ± 3 to 39.5 ± 1 %.

This is a preview of subscription content, access via your institution.

Fig. 1
Fig. 2
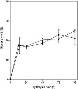
Fig. 3
Fig. 4

References

  1. Walter A, Ensinas A (2010) Combined production of second-generation biofuels and electricity from sugarcane residues. Energy 35:874–879

    Article  CAS  Google Scholar 

  2. Dias MOS, Junqueira TL, Jesus CDF, Rossell CEV, Maciel-Filho M, Bonomi A (2012) Improving second generation ethanol production through optimization of first generation production process from sugarcane. Energy 43:246–252

    Article  CAS  Google Scholar 

  3. Hofsetz K, Silva MA (2012) Brazilian sugarcane bagasse: energy and non-energy consumption. Biomass Bioenergy 46:564–573

    Article  Google Scholar 

  4. Alvira P, Tomás-Pejó E, Ballesteros M, Negro MJ (2010) Pretreatment technologies for an efficient bioethanol production process based on enzymatic hydrolysis: a review. Bioresour Technol 101:4851–4861

    Article  CAS  Google Scholar 

  5. Sun Y, Cheng J (2002) Hydrolysis of lignocellulosic materials for ethanol production: a review. Bioresour Technol 83:1–11

    Article  CAS  Google Scholar 

  6. Mendes FM, Siqueira G, Carvalho W, Ferraz A, Milagres AMF (2011) Enzymatic hydrolysis of chemithermomechanically pretreated sugarcane bagasse and samples with reduced initial lignin content. Biotechnol Prog 27:395–401

    Article  CAS  Google Scholar 

  7. Mendes FM, Laurito DF, Bazzeggio M, Ferraz A, Milagres AMF (2013) Enzymatic digestion of alkaline-sulfite pretreated sugar cane bagasse and its correlation with the chemical and structural changes occurring during the pretreatment step. Biotechnol Prog 29:890–895

    Article  CAS  Google Scholar 

  8. Zhu JY, Pan XJ, Wang GS, Gleisner R (2009) Sulfite pretreatment (SPORL) for robust enzymatic saccharification of spruce and red pine. Bioresour Technol 100:2411–2418

    Article  CAS  Google Scholar 

  9. Alkasrawi M, Eriksson T, Börjesson J, Wingren A, Galbe M, Tjerneld F, Zacchi G (2003) The effect of Tween-20 on simultaneous saccharification and fermentation of softwood to ethanol. Enzyme Microb Technol 33:71–78

    Article  CAS  Google Scholar 

  10. Wu J, Ju LK (1998) Enhancing enzymatic saccharification of waste newsprint by surfactant addition. Biotechnol Prog 14:649–652

    Article  CAS  Google Scholar 

  11. Eriksson T, Borjesson J, Tjerneld F (2002) Mechanism of surfactant effect in enzymatic hydrolysis of lignocellulose. Enzyme Microb Technol 31:353–364

    Article  CAS  Google Scholar 

  12. Kim HJ, Kim SB, Kim CJ (2007) The effects of nonionic surfactants on the pretreatment and enzymatic hydrolysis of recycled newspaper. Biotechnol Bioprocess Eng 12:147–151

    Article  CAS  Google Scholar 

  13. Seo DJ, Fujita H, Sakoda A (2011) Structural changes of lignocelluloses by a nonionic surfactant, Tween 20, and their effects on cellulase adsorption and saccharification. Bioresour Technol 102:9605–9612

    Article  CAS  Google Scholar 

  14. Maohua Y, Aimin Z, Binbin L, Wangliang L, Jianmin X (2011) Improvement of cellulose conversion caused by the protection of Tween-80 on the adsorbed cellulase. Biochem Eng J 56:125–129

    Article  Google Scholar 

  15. Eckard AD, Muthukumarappan K, Gibbons W (2013) A review of the role of amphiphiles in biomass to ethanol conversion. Appl Sci 3:396–419

    Article  CAS  Google Scholar 

  16. Morando LEN, Gómez CXD, Zamora L, Uscanga MGA (2014) Statistical optimization of alkaline hydrogen peroxide pretreatment of sugarcane bagasse for enzymatic saccharification with Tween 80 using response surface methodology. Biomass Conv Bioref 4:15–23

    Article  CAS  Google Scholar 

  17. Ferraz A, Rodríguez J, Freer J, Baeza J (2000) Estimating chemical composition of biodegraded pine and eucalyptus by DRIFT spectroscopy and multivariate analysis. Bioresour Technol 74:201–212

    Article  CAS  Google Scholar 

  18. Ghose TK (1986) Measurement of cellulase activities. Pure Appl Chem 59:257–268

    Google Scholar 

  19. Franco H, Ferraz A, Milagres AMF, Carvalho W, Freer J, Baeza J (2012) Alkaline sulfite/anthraquinone pretreatment followed by disk refining of Pinus radiata and Pinus caribaea wood chips for biochemical ethanol production. J Chem Technol Biotechnol 87:651–657

    Article  CAS  Google Scholar 

  20. Majkic-Singh N, Berkes I (1980) Spectrophotometric determination of ethanol by an enzymatic method with 2,2′-azino-di(3-ethylbenzthiazoline-6-sulfonate). Anal Chim Acta 115:401–405

    Article  CAS  Google Scholar 

  21. Brienzo M, Siqueira AF, Milagres AMF (2009) Search for optimum conditions of sugarcane bagasse hemicellulose extraction. Biochem Eng J 46:199–204

    Article  CAS  Google Scholar 

  22. Masarin F, Gurpilhares DB, Baffa DCF, Barbosa MHP, Carvalho W, Ferraz A, Milagres AMF (2011) Chemical composition and enzymatic digestibility of sugarcane clones selected for varied lignin content. Biotechnol Biofuels 4:55–64

    Article  CAS  Google Scholar 

  23. Xu F, Shi YC, Wu X, Theerarattananoon K, Staggenborg S, Wang D (2011) Sulfuric acid pretreatment and enzymatic hydrolysis of photoperiod sensitive sorghum for ethanol production. Bioprocess Biosyst Eng 34:485–492

    Article  CAS  Google Scholar 

  24. Jung YH, Kim S, Yang TH, Lee HJ, Seung D, Park YC, Seo JH, Choi IG, Kim KH (2012) Aqueous ammonia pretreatment, saccharification, and fermentation evaluation of oil palm fronds for ethanol production. Bioprocess Biosyst Eng 35:1497–1503

    Article  CAS  Google Scholar 

  25. Karunanithy C, Muthukumarappan K (2011) Optimization of alkali soaking and extrusion pretreatment of prairie cord grass for maximum sugar recovery by enzymatic hydrolysis. Biochem Eng J 54:71–82

    Article  CAS  Google Scholar 

  26. Chen X, Shekiro J, Pschorn T, Sabourin M, Tao L, Elander R, Park S, Jennings E, Nelson R, Trass O, Flanegan K, Wang W, Himmel ME, Johnson D, Tucker MP (2014) A highly efficient dilute alkali deacetylation and mechanical (disc) refining process for the conversion of renewable biomass to lower cost sugars. Biotechnol Biofuels 7:98–108

    Article  Google Scholar 

  27. Carvalho W, Canilha L, Silva SS (2008) Semi-continuous xylose-to-xylitol bioconversion by Ca-alginate entrapped yeast cells in a stirred tank reactor. Bioprocess Biosyst Eng 31:493–498

    Article  CAS  Google Scholar 

  28. Postma D, Chimphango AFA, Görgens JF (2014) Cationization of Eucalyptus grandis 4-O-methyl glucuronoxylan for application as a wet-end additive in a papermaking process. Holzforschung 68:519–527

    Article  CAS  Google Scholar 

  29. Chen Y, Stipanovic AJ, Winter WT, Wilson DB, Kim YJ (2007) Effect of digestion by pure cellulases on crystallinity and average chain length for bacterial and microcrystalline celluloses. Cellulose 14:283–293

    Article  CAS  Google Scholar 

  30. Siqueira G, Várnai A, Ferraz A, Milagres AMF (2013) Enhancement of cellulose hydrolysis in sugarcane bagasse by the selective removal of lignin with sodium chlorite. Appl Energy 102:399–402

    Article  CAS  Google Scholar 

  31. del Rio LF, Chandra RP, Saddler JN (2011) The effects of increasing swelling and anionic charges on the enzymatic hydrolysis of organosolv-pretreated softwoods at low enzyme loadings. Biotechnol Bioeng 108:1549–1558

    Article  Google Scholar 

  32. Martín C, Klinke HB, Thomsen AB (2007) Wet oxidation as a pretreatment method for enhancing the enzymatic convertibility of sugarcane bagasse. Enzyme Microb Technol 40:426–432

    Article  Google Scholar 

  33. Chen M, Zhao J, Xia L (2008) Enzymatic hydrolysis of maize strawpolysaccharides for the production of reducing sugars. Carbohyd Polym 71:411–415

    Article  CAS  Google Scholar 

  34. Ooshima H, Sakata M, Harano Y (1986) Enhancement of enzymatic hydrolysis of cellulose by surfactant. Biotechnol Bioeng 28:1727–1734

    Article  CAS  Google Scholar 

  35. Ballesteros I, Olivia JM, Carrasco J, Cabanas A, Navarro AA, Ballesteros M (1998) Effect of surfactant and zeolites on simultaneous saccharification and fermentation of steamexploded poplar biomass to ethanol. Appl Biochem Biotechnol 70–72:369–381

    Article  Google Scholar 

Download references

Acknowledgements

The technical assistance of JS Canilha, JM Silva, and JC Tavares is acknowledged. This research was supported by CNPq (Process 480116/2010-5) and FAPESP (2008/56256-5, 2014/06923-6). JF Mesquita thanks CNPq and FAPEMIG for the student fellowships.

Author information

Affiliations

Authors

Corresponding author

Correspondence to André Aguiar.

Rights and permissions

Reprints and Permissions

About this article

Verify currency and authenticity via CrossMark

Cite this article

Mesquita, J.F., Ferraz, A. & Aguiar, A. Alkaline-sulfite pretreatment and use of surfactants during enzymatic hydrolysis to enhance ethanol production from sugarcane bagasse. Bioprocess Biosyst Eng 39, 441–448 (2016). https://doi.org/10.1007/s00449-015-1527-z

Download citation

  • Received:

  • Accepted:

  • Published:

  • Issue Date:

  • DOI: https://doi.org/10.1007/s00449-015-1527-z

Keywords

  • Semi-simultaneous hydrolysis and fermentation
  • Tween 20
  • Cellulose
  • Ethanol
  • Lignin