Skip to main content

Plant species effects on soil nutrients and chemistry in arid ecological zones

Abstract

The presence of vegetation strongly influences ecosystem function by controlling the distribution and transformation of nutrients across the landscape. The magnitude of vegetation effects on soil chemistry is largely dependent on the plant species and the background soil chemical properties of the site, but has not been well quantified along vegetation transects in the Great Basin. We studied the effects of plant canopy cover on soil chemistry within five different ecological zones, subalpine, montane, pinyon–juniper, sage/Mojave transition, and desert shrub, in the Great Basin of Nevada all with similar underlying geology. Although plant species differed in their effects on soil chemistry, the desert shrubs Sarcobatus vermiculatus, Atriplex spp., Coleogyne ramosissima, and Larrea tridentata typically exerted the most influence on soil chemistry, especially amounts of K+ and total nitrogen, beneath their canopies. However, the extent to which vegetation affected soil nutrient status in any given location was not only highly dependent on the species present, and presumably the nutrient requirements and cycling patterns of the plant species, but also on the background soil characteristics (e.g., parent material, weathering rates, leaching) where plant species occurred. The results of this study indicate that the presence or absence of a plant species, especially desert shrubs, could significantly alter soil chemistry and subsequently ecosystem biogeochemistry and function.

This is a preview of subscription content, access via your institution.

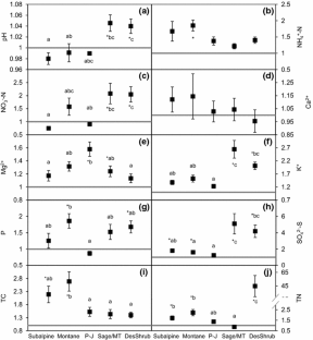
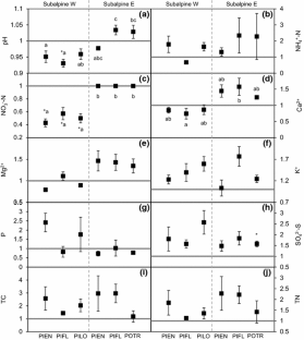
Fig. 1
Fig. 2
Fig. 3
Fig. 4
Fig. 5
Fig. 6

References

  • Al-Mufti M, Sydes C, Furness S et al (1977) A quantitative analysis of shoot phenology and dominance in herbaceous vegetation. J Ecol 65:759–791

    Article  Google Scholar 

  • Barth RC (1980) Influence of pinyon pine trees on soil chemical and physical properties. Soil Sci Soc Am J 44:112–114

    CAS  Article  Google Scholar 

  • Beasley R, Klemmedson J (1980) Ecological relationships of bristlecone pine. Am Midl Nat 104:242–252

    Article  Google Scholar 

  • Beaton JD, Moss A, MacRae I et al (1965) Observations on foliage nutrient content of several coniferous tree species in British Columbia. For Chron 41:222–236

    Article  Google Scholar 

  • Binkley D (1995) The influence of trees on forest soils: processes and patterns. In: Mead D, Cornforth I (eds) Proceedings of the trees soil work. Agronomy Society of New Zealand Special Publication No. 10. Lincoln University Press, Canterbury, pp 1–33

  • Binkley D, Giardina C (1998) Why do tree species affect soils? The warp and woof of tree-soil interactions. Biogeochem 42:89–106

    Article  Google Scholar 

  • Bolling JD, Walker LR (2002) Fertile island development around perennial shrubs across a Mojave Desert chronosequence. West North Am Nat 62:88–100

    Google Scholar 

  • Bolton H Jr, Smith J, Link S (1993) Soil microbial biomass and activity of a disturbed and undisturbed shrub-steppe ecosystem. Soil Biol Biochem 25:545–552

    Article  Google Scholar 

  • Chambers J (2001) Pinus monophylla establishment in an expanding Pinus Juniperus woodland: Environmental conditions, facilitation and interacting factors. J Veg Sci 12:27–40

    Article  Google Scholar 

  • Charley J, West N (1975) Plant-induced soil chemical patterns in some shrub-dominated semi-desert ecosystems of Utah. J Ecol 63:945–963

    CAS  Article  Google Scholar 

  • De Graaff M-A, Throop HL, Verburg PSJ et al (2014) A synthesis of climate and vegetation cover effects on biogeochemical cycling in shrub-dominated drylands. Ecosystems. doi:10.1007/s10021-014-9764-6

    Google Scholar 

  • Doescher P, Miller R, Winward A (1984) Soil chemical patterns under eastern Oregon plant communities dominated by big sagebrush. Soil Sci Soc Am J 48:659–663

    CAS  Article  Google Scholar 

  • Donovan L, Richards J, Schaber E (1997) Nutrient relations of the halophytic shrub, Sarcobatus vermiculatus, along a soil salinity gradient. Plant Soil 190:105–117

    CAS  Article  Google Scholar 

  • Drenovsky RE, Richards JH (2006) Low leaf N and P resorption contributes to nutrient limitation in two desert shrubs. Plant Ecol 183:305–314. doi:10.1007/s11258-005-9041-z

    Article  Google Scholar 

  • Everett RS, Sharrow SH, Thran D (1986) Soil nutrient distribution under and adjacent to single leaf pinyon crowns. Soil Sci Soc Am J 50:788–792

    CAS  Article  Google Scholar 

  • Ewers F, Schmid R (1981) Longevity of needle fascicles of Pinus longaeva (bristlecone pine) and other North American pines. Oecologia 51:107–115

    Article  Google Scholar 

  • Fairchild J, Brotherson J (1980) Microhabitat relationships of six major shrubs in Navajo National Monument, Arizona. J Range Manag 33:150–156

    CAS  Article  Google Scholar 

  • Gardiner DT, Miller RW (2008) Soils in our environment, 11th edn. Pearson Prentice Hall, Upper Sallde River

    Google Scholar 

  • Gosz J (1981) Nitrogen cycling in coniferous ecosystems. Ecol Bull 33:405–426

    Google Scholar 

  • Gosz J, White C (1986) Seasonal and annual variation in nitrogen mineralization and nitrification along an elevational gradient in New Mexico. Biogeochem 2:281–297

    CAS  Article  Google Scholar 

  • Graves S, Piepho HP, Selzer L with help from Dorai-Raj S (2012) multcompView: visualizations of paired comparisons. R package version 0.1-5. http://CRAN.Rproject.org/package=multcompView

  • Hart S, Selmants P, Boyle S, Overby S (2006) Carbon and nitrogen cycling in southwestern ponderosa pine forests. For Sci 52:683–693

    Google Scholar 

  • Hobbie SE (1992) Effects of plant species on nutrient cycling. Trends Ecol Evol 7:336–339. doi:10.1016/0169-5347(92)90126-V

    CAS  Article  PubMed  Google Scholar 

  • Jenny H (1941) Factors of soil formation: a system of quantitative pedology. McGraw-Hill, New York

    Google Scholar 

  • Jobbágy EG, Jackson RB (2004) The uplift of soil nutrients by plants: biogeochemical consequences across scales. Ecol 85:2380–2389

    Article  Google Scholar 

  • Johnson D (1984) Sulfur cycling in forests. Biogeochem 1:29–43

    CAS  Article  Google Scholar 

  • Johnson BG, Verburg PSJ, Arnone JA (2014) Effects of climate and vegetation on soil nutrients and chemistry in the Great Basin studied along a latitudinal-elevational climate gradient. Plant Soil. doi:10.1007/s11104-014-2144-3

    Google Scholar 

  • Lajtha K (1987) Nutrient reabsorption efficiency and the response to phosphorus fertilization in the desert shrub Larrea tridentata (DC.) Cov. Biogeochem 4:265–276

    Article  Google Scholar 

  • Lajtha K, Schlesinger W (1988) The effect of CaCO3 on the uptake of phosphorous by two desert shrub species, Larrea tridentata (DC.) Cov. and Parthenium incanum HBK. Bot Gaz 149:328–334

    CAS  Article  Google Scholar 

  • Liptzin D, Sanford RL, Seastedt TR (2013) Spatial patterns of total and available N and P at alpine treeline. Plant Soil 365:127–140. doi:10.1007/s11104-012-1379-0

    CAS  Article  Google Scholar 

  • McGill W, Cole C (1981) Comparative aspects of cycling of organic C, N, S and P through soil organic matter. Geoderma 26:267–286

    CAS  Article  Google Scholar 

  • Mensing S, Strachan S, Arnone J et al (2013) A network for observing Great Basin climate change. EOS Trans Am Geophys Union 94:105–106. doi:10.1002/2013EO110001

    Article  Google Scholar 

  • Price K, Brotherson J (1987) Habitat and community relationships of cliffrose (Cowania mexicana var. stansburiana) in central Utah. West North Am Nat 47:132–151

    Google Scholar 

  • R Core Team (2015) R: a language and environment for statistical computing. R Foundation for Statistical Computing, Vienna, Austria. http://www.R-project.org/

  • Rickard W (1965a) Sodium and potassium accumulation by greasewood and hopsage leaves. Bot Gaz 126:116–119

    CAS  Article  Google Scholar 

  • Rickard W (1965b) The influence of greasewood on soil-moisture penetration and soil chemistry. Northwest Sci 39(1):36–42

    CAS  Google Scholar 

  • Rickard W, Keough R (1968) Soil–plant relationships of two steppe desert shrubs. Plant Soil 29:205–212

    Article  Google Scholar 

  • Ridolfi L, Laio F, D’Odorico P (2008) Fertility island formation and evolution in dryland ecosystems. Ecol Soc 13(1):5 (online)

    Google Scholar 

  • Romney E, Wallace A, Kaaz H, Hale V (1980) The role of shrubs on the redistribution of mineral nutrients in soil in the Mojave Desert. Gt Basin Nat Mem 4:124–133

    Google Scholar 

  • Schlesinger W, Pilmanis A (1998) Plant–soil interactions in deserts. Biogeochem 42:169–187

    Article  Google Scholar 

  • Schlesinger W, Raikes J, Hartley A, Cross A (1996) On the spatial pattern of soil nutrients in desert ecosystems. Ecol 77:364–374

    Article  Google Scholar 

  • Sharma M, Tongway D (1973) Plant induced soil salinity patterns in two saltbush (Atriplex spp.) communities. J Range Manag 26:121–125

    CAS  Article  Google Scholar 

  • Soil Survey Staff, Natural Resources Conservation Service, United States Department of Agriculture (2013) Web soil survey. http://websoilsurvey.nrcs.usda.gov/

  • Thompson DB, Walker LR, Landau FH, Stark LR (2005) The influence of elevation, shrub species, and biological soil crust on fertile islands in the Mojave Desert, USA. J Arid Environ 61:609–629. doi:10.1016/j.jaridenv.2004.09.013

    Article  Google Scholar 

  • Van Miegroet H, Hysell MT, Johnson AD (2000) Soil microclimate and chemistry of spruce–fir tree islands in northern Utah. Soil Sci Soc Am J 64:1515–1525

    Article  Google Scholar 

  • Weiss L, Shiels A, Walker L (2005) Soil impacts of bristlecone pine (Pinus longaeva) tree islands on alpine tundra, Charleston Peak, Nevada. West North Am Nat 65:536–540

    Google Scholar 

  • White CS (1994) Monoterpenes: their effects on ecosystem nutrient cycling. J Chem Ecol 20:1381–1406. doi:10.1007/BF02059813

    CAS  Article  PubMed  Google Scholar 

  • Whitford WG, Anderson J, Rice PM (1997) Stemflow contribution to the “fertile island” effect in creosotebush, Larrea tridentata. J Arid Environ 35:451–457. doi:10.1006/jare.1996.0164

    Article  Google Scholar 

  • Wright R, Mooney H (1965) Substrate-oriented distribution of bristlecone pine in the White Mountains of California. Am Midl Nat 73:257–284

    Article  Google Scholar 

Download references

Acknowledgments

The authors would like to thank the National Science Foundation Experimental Program to Stimulate Competitive Research (NSF EPSCoR Cooperative Agreement No. EPS-0814372) for funding this research, Zachary Johnson and Brian Bird for field assistance, and Robert Blank, Richard Jasoni, and Dale Johnson for their valuable evaluation of this manuscript. We would also like to thank the editor and reviewers for their helpful comments and critical examination of this manuscript.

Author contribution statement

BGJ conceived, designed, and conducted the experiment, analyzed data, and wrote the manuscript. PSJV and JAA aided in data interpretation and provided editorial advice.

Author information

Affiliations

Authors

Corresponding author

Correspondence to Brittany G. Johnson.

Additional information

Communicated by Mercedes Bustamante.

Electronic supplementary material

Rights and permissions

Reprints and Permissions

About this article

Verify currency and authenticity via CrossMark

Cite this article

Johnson, B.G., Verburg, P.S.J. & Arnone, J.A. Plant species effects on soil nutrients and chemistry in arid ecological zones. Oecologia 182, 299–317 (2016). https://doi.org/10.1007/s00442-016-3655-9

Download citation

  • Received:

  • Accepted:

  • Published:

  • Issue Date:

  • DOI: https://doi.org/10.1007/s00442-016-3655-9

Keywords

  • Plant canopy
  • Nevada Climate-ecohydrological Assessment Network (NevCAN)
  • Soil chemistry
  • Great Basin
  • Overstory effects on soil