Skip to main content

Modeling rates of life form cover change in burned and unburned alpine heathland subject to experimental warming

An Erratum to this article was published on 18 April 2015

Abstract

Elevated global temperatures are expected to alter vegetation dynamics by interacting with physiological processes, biotic relationships and disturbance regimes. However, few studies have explicitly modeled the effects of these interactions on rates of vegetation change, despite such information being critical to forecasting temporal patterns in vegetation dynamics. In this study, we build and parameterize rate-change models for three dominant alpine life forms using data from a 7-year warming experiment. These models allowed us to examine how the interactions between experimental warming, the abundance of bare ground (a measure of past disturbance) and neighboring life forms (a measure of life form interaction) affect rates of cover change in alpine shrubs, graminoids and forbs. We show that experimental warming altered rates of life form cover change by reducing the negative effects of neighboring life forms and positive effects of bare ground. Furthermore, we show that our models can predict the observed direction and rate of life form cover change at burned and unburned long-term monitoring sites. Model simulations revealed that warming in unburned vegetation is expected to result in increased forb and shrub cover and decreased graminoid cover. In contrast, in burned vegetation, warming is predicted to slow post-fire regeneration in both graminoids and forbs and facilitate rapid expansion in shrub cover. These findings illustrate the applicability of modeling rates of vegetation change using experimental data. Our results also highlight the need to account for both disturbance and the abundance of other life forms when examining and forecasting vegetation dynamics under climatic change.

This is a preview of subscription content, access via your institution.

Fig. 1
Fig. 2
Fig. 3
Fig. 4
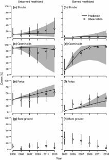
Fig. 5a–h
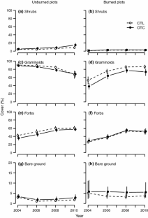
Fig. 6

References

  • Arft AM, Walker MD, Gurevitch J, Alatalo JM, Bret-Harte MS, Dale M, Diemer M, Gugerli F, Henry GHR, Jones MH, Hollister RD, Jónsdóttir IS, Laine K, Lévesque E, Marion GM, Molau U, Mølgaard P, Nordenhäll U, Raszhivin V, Robinson CH, Starr G, Stenström A, Stenstrom M, Totland Ø, Turner PL, Walker LJ, Webber PJ, Welker JM, Wookey PA (1999) Responses of tundra plants to experimental to experimental warming: meta-analysis of the International Tundra Experiment. Ecol Monogr 69:491–511

    Google Scholar 

  • Bertness MD, Callaway R (1994) Positive interactions in communities. Trends Ecol Evol 9:191–193

    Article  CAS  PubMed  Google Scholar 

  • Bradstock R, Penman T, Boer M, Price O, Clarke H (2014) Divergent responses of fire to recent warming and drying across south-eastern Australia. Glob Change Biol 20:1412–1428

    Article  Google Scholar 

  • Brooker RW, Kikvidze Z (2008) Importance: an overlooked concept in plant interaction research. J Ecol 96:703–708

    Article  Google Scholar 

  • Brooks SP, Gelman A (1998) General methods for monitoring convergence of iterative simulations. J Comput Graph Stat 7:434–455

    Google Scholar 

  • Callaway R, Brooker RW, Choler P, Kikvidze Z, Lortie CJ, Michalet R, Paolini L, Pugnaire FI, Newingham BA, Aschehoug ET, Armas C, Kikodze D, Cook BJ (2002) Positive interactions among alpine plants increase with stress. Nature 417:844–848

    Article  CAS  PubMed  Google Scholar 

  • Camac JS, Williams RJ, Wahren C-H, Morris WK, Morgan JW (2013) Post-fire regeneration in alpine heathland: does fire severity matter? Austral Ecol 38:199–207

    Article  Google Scholar 

  • Cavieres LA, Badano EI, Sierra-Almeida A, Gómez-Gónzález S, Molina-Montenegro MA (2006) Positive interactions between alpine plant species and the nurse cushion plant Laretia acaulis do not increase with elevation in the Andes of central Chile. New Phytol 169:59–69

    Article  PubMed  Google Scholar 

  • Chapin FS III (1983) Direct and indirect effects of temperature on arctic plants. Polar Biol 2:47–52

    Article  Google Scholar 

  • Chapin FS III, Shaver GR (1996) Physiological and growth responses of Arctic plants to a field experiment simulating climatic change. Ecology 77:822

    Article  Google Scholar 

  • Chesson P (1994) Multispecies competition in variable environments. Theor Popul Biol 45:227–276

    Article  Google Scholar 

  • Clarke H, Lucas C, Smith P (2013) Changes in Australian fire weather between 1973 and 2010. Int J Climatol 33:931–944

    Article  Google Scholar 

  • Cumming G, Finch S (2005) Inference by eye—confidence intervals and how to read pictures of data. Am Psychol 60:170–180

    Article  PubMed  Google Scholar 

  • Dormann CF, Woodin SJ (2002) Climate change in the Arctic: using plant functional types in a meta-analysis of field experiments. Funct Ecol 16:4–17

    Article  Google Scholar 

  • Dullinger S, Gattringer A, Thuiller W, Moser D, Zimmermann NE, Guisan A, Willner W, Plutzar C, Leitner M, Mang T, Caccianiga M, Dirnböck T, Ertl S, Fischer A, Lenoir J, Svenning J-C, Psomas A, Schmatz DR, Silc U, Vittoz P, Hülber K (2012) Extinction debt of high-mountain plants under twenty-first-century climate change. Nature Climate Change 2:619–622

    Article  Google Scholar 

  • Elmendorf SC, Henry GHR, Hollister RD, Björk RG, Bjorkman AD, Callaghan TV, Collier LS, Cooper EJ, Cornelissen JHC, Day TA, Fosaa AM, Gould WA, Grétarsdóttir J, Harte J, Hermanutz L, Hik DS, Hofgaard A, Jarrad F, Jónsdóttir IS, Keuper F, Klanderud K, Klein JA, Koh S, Kudo G, Lang SI, Loewen V, May JL, Mercado J, Michelsen A, Molau U, Myers-Smith IH, Oberbauer SF, Pieper S, Post E, Rixen C, Robinson CH, Schmidt NM, Shaver GR, Stenström A, Tolvanen A, Totland Ø, Troxler T, Wahren C-H, Webber PJ, Welker JM, Wookey PA (2012) Global assessment of experimental climate warming on tundra vegetation: heterogeneity over space and time. Ecol Lett 15:164–175

    Article  PubMed  Google Scholar 

  • Gelman A (2006) Prior distributions for variance parameters in hierarchical models. Bayesian Anal 1:515–533

    Article  Google Scholar 

  • Gelman A, Hill J (2007) Data analysis using regression and multilevel/hierarchical models. Cambridge University Press, Cambridge

  • Gelman A, Jakulin A, Pittau M, Su Y-S (2008) A weakly informative default prior distribution for logistic and other regression models. Ann Appl Stat 2:1360–1383

    Article  Google Scholar 

  • Gottfried M, Pauli H, Futschik A, Akhalkatsi M, Barančok P, Benito Alonso JL, Coldea G, Dick J, Erschbamer B, Fernández Calzado MAR, Kazakis G, Krajči J, Larsson P, Mallaun M, Michelsen O, Moiseev D, Moiseev P, Molau U, Merzouki A, Nagy L, Nakhutsrishvili G, Pedersen B, Pelino G, Puscas M, Rossi G, Stanisci A, Theurillat J-P, Tomaselli M, Villar L, Vittoz P, Vogiatzakis I, Grabherr G (2012) Continent-wide response of mountain vegetation to climate change. Nature Climate Change 2:111–115

    Article  Google Scholar 

  • Griffin PC, Hoffmann AA (2012) Mortality of Australian alpine grasses (Poa spp.) after drought: species differences and ecological patterns. J Plant Ecol 5:121–133

    Article  Google Scholar 

  • Grime JP (1977) Evidence for the existence of three primary strategies in plants and its relevance to ecological and evolutionary theory. Am Nat 111:1169–1194

    Article  Google Scholar 

  • Hanski I (1999) Metapopulation ecology. Oxford University Press

  • Hoffmann AA, Camac JS, Williams RJ, Papst WA, Jarrad FC, Wahren C-H (2010) Phenological changes in six Australian subalpine plants in response to experimental warming and year-to-year variation. J Ecol 98:927–937

    Article  Google Scholar 

  • Hudson JMG, Henry GHR, Cornwell WK (2011) Taller and larger: shifts in Arctic tundra leaf traits after 16 years of experimental warming. Glob Change Biol 17:1013–1021

    Article  Google Scholar 

  • IPCC (2013) Climate change 2013: The physical science basis. In: TF Stocker, D Qin, GK Plattner, M Tignor, SK Allen, J Boschung, A Nauels, Y Xia, V Bex, PM Midgley (eds) Contribution of Working Group I to the fifth assessment report of the Intergovernmental Panel on Climate Change. Cambridge University Press, Cambridge

  • Jarrad FC, Wahren C-H, Williams RJ, Burgman MA (2008) Impacts of experimental warming and fire on phenology of subalpine open-heath species. Aust J Bot 56:617–629

    Article  Google Scholar 

  • Jay F, Manel S, Alvarez N, Durand EY, Thuiller W, Holderegger R, Taberlet P, François O (2012) Forecasting changes in population genetic structure of alpine plants in response to global warming. Mol Ecol 21:2354–2368

    Article  PubMed  Google Scholar 

  • Klanderud K (2005) Climate change effects on species interactions in an alpine plant community. J Ecol 93:127–137

    Article  Google Scholar 

  • Körner C (2003) Alpine plant life, 2nd edn. Springer, Berlin

    Book  Google Scholar 

  • Lantz TC, Kokelj SV, Gergel SE, Henry GHR (2009) Relative impacts of disturbance and temperature: persistent changes in microenvironment and vegetation in retrogressive thaw slumps. Glob Change Biol 15:1664–1675

    Article  Google Scholar 

  • le Roux PC, Aalto J, Luoto M (2013) Soil moisture’s underestimated role in climate change impact modelling in low-energy systems. Glob Change Biol 19:2965–2975

    Article  Google Scholar 

  • Levins R (1969) Some demographic and genetic consequences of environmental heterogeneity for biological control. Bull Entomol Soc Am 15:237–240

    Google Scholar 

  • McDougall KL, Walsh NG (2007) Treeless vegetation of the Australian Alps. Cunninghamia 10:1–57

    Google Scholar 

  • Molau U, Mølgaard P (1996) ITEX manual. Danish Polar Centre, Copenhagen, pp 1–85

  • Morgan JW (2004) Drought-related dieback in four subalpine shrub species, Bogong High Plains, Victoria. Cunninghamia 8:326–330

    Google Scholar 

  • Myers-Smith IH, Forbes BC, Wilmking M, Hallinger M, Lantz T, Blok D, Tape K, Macias-Fauria M, Sass-Klaassen U, Lévesque E, Boudreau S, Ropars P, Hermanutz L, Trant A, Collier LS, Weijers S, Rozema J, Rayback SA, Schmidt NM, Schaepman-Strub G, Wipf S, Rixen C, Ménard CB, Venn SE, Goetz S, Andreu-Hayles L, Elmendorf SC, Ravolainen V, Welker JM, Grogan P, Epstein HE, Hik DS (2011) Shrub expansion in tundra ecosystems: dynamics, impacts and research priorities. Environ Res Lett 6:045509

    Article  Google Scholar 

  • Nash MA, Griffin PC, Hoffmann AA (2013) Inconsistent responses of alpine arthropod communities to experimental warming and thermal gradients. Climate Res 55:227–237

    Article  Google Scholar 

  • Olsen SL, Klanderud K (2013) Biotic interactions limit species richness in an alpine plant community, especially under experimental warming. Oikos 123:71–78

    Article  Google Scholar 

  • Pauli H, Gottfried M, Reiter K, Klettner C, Grabherr G (2007) Signals of range expansions and contractions of vascular plants in the high Alps: observations (1994–2004) at the GLORIA* master site Schrankogel, Tyrol, Austria. Glob Change Biol 13:147–156

    Article  Google Scholar 

  • Pickett STA, White PA (1985) The ecology of natural disturbance and patch dynamics. Academic Press, pp 1–472

  • Plummer M (2011) JAGS version 3.1.0 user manual

  • Pugnaire FI, Armas C, Valladares F (2009) Soil as a mediator in plant-plant interactions in a semi-arid community. J Veg Sci 15:85–92

    Article  Google Scholar 

  • Richards FJ (1959) A flexible growth function for empirical use. J Exp Bot 10:290–300

    Article  Google Scholar 

  • Sánchez-Bayo F, Green K (2013) Australian snowpack disappearing under the influence of global warming and solar activity. Arct Antarct Alp Res 45:107–118

    Article  Google Scholar 

  • Sokal RR, Rohlf FJ (1995) Biometry, 3rd edn. Freeman, New York

    Google Scholar 

  • Su Y-S, Yajima M (2012) R2jags: a package for running jags from R. R package version 0.03-06. pp 1–12. http://CRAN.R-project.org/package=R2jags

  • Tilman D (1988) Plant strategies and the structure and dynamics. Princeton University Press

  • Turetsky MR, Kane ES, Harden JW, Ottmar RD, Manies KL, Hoy E, Kasischke ES (2011) Recent acceleration of biomass burning and carbon losses in Alaskan forests and peatlands. Nat Geosci 4:27–31

    Article  CAS  Google Scholar 

  • Turner MG (2010) Disturbance and landscape dynamics in a changing world. Ecology 91:2833–2849

    Article  PubMed  Google Scholar 

  • Tylianakis JM, Didham RK, Bascompte J, Wardle DA (2008) Global change and species interactions in terrestrial ecosystems. Ecol Lett 11:1351–1363

    Article  PubMed  Google Scholar 

  • Volterra V (1926) Fluctuations in the abundance of a species considered mathematically. Nature 118:558–560

    Article  Google Scholar 

  • Wahren C-H, Papst WA, Williams RJ (1994) Long-term vegetation change in relation to cattle grazing in sub-alpine grassland and heathland on the Bogong High-Plains: an analysis of vegetation records from 1945 to 1994. Aust J Bot 42:607–639

    Article  Google Scholar 

  • Wahren C-H, Camac JS, Jarrad FC, Williams RJ, Papst WA, Hoffmann AA (2013) Experimental warming and long-term vegetation dynamics in an alpine heathland. Aust J Bot 61:36–51

    Article  Google Scholar 

  • Westerling AL, Turner MG, Smithwick EAH, Romme WH, Ryan MG (2011) Continued warming could transform greater yellowstone fire regimes by mid-21st century 108:13165–13170

  • Williams RJ (1985) Aspects of shrub-grass dynamics on the Bogong High Plains (subalpine), Victoria. PhD thesis, the University of Melbourne

  • Williams RJ (1992) Gap dynamics in subalpine heathland and grassland vegetation in south-eastern Australia. J Ecol 80:343–352

    Article  Google Scholar 

  • Williams RJ, Papst WA, McDougall KL, Mansergh IM, Heinze DA, Camac JS, Nash MA, Morgan JW, Hoffmann AA (2014) Alpine Ecosystems. In: Lindenmayer DB, Burns E, Thurgate N, Lowe A (eds) Biodiversity and environmental change: monitoring, challenges and directions. CSIRO, Melbourne, pp 167–212

    Google Scholar 

  • Wipf S, Stoeckli V, Bebi P (2009) Winter climate change in alpine tundra: plant responses to changes in snow depth and snowmelt timing. Clim Change 94:105–121

    Article  Google Scholar 

Download references

Acknowledgments

This research was funded through Australian Research Council Linkage Grants, partnered through the Department of Sustainability and Environment, Parks Victoria and the Commonwealth Scientific and Industrial Research Organisation (CSIRO). The Australian Research Council Centre of Excellence for Environment Decisions (CEED) and Holsworth Wildlife Research Committee also supported this research. J. S. C. was a recipient of an Australian Postgraduate Award. Monica Camac, Shona Arber, Deborah Cargill, Seraphina Cutler, Bradley Farmilo, Lauren Keim, Katherine Giljohann, Annie Leschen, Luke O’Laughlin, Matthew Richardson, Linda Riquelme, Paul Smart, Karen Stott, Freya Thomas and Emma Warrenall aided in data collection. Special thanks to William Morris, Chris Jones and John Baumgartner for modeling advice and Warwick Papst for logistics. Lastly we thank the anonymous reviewers for their constructive comments on this manuscript. The experiment and long-term monitoring was conducted in accordance with current Australian laws. This research was conducted under Parks Victoria permit number 10005232.

Author information

Affiliations

Authors

Corresponding author

Correspondence to James S. Camac.

Additional information

Communicated by Scott Collins.

Electronic supplementary material

Below is the link to the electronic supplementary material.

Supplementary material 1 (PDF 125 kb)

Rights and permissions

Reprints and Permissions

About this article

Verify currency and authenticity via CrossMark

Cite this article

Camac, J.S., Williams, R.J., Wahren, CH. et al. Modeling rates of life form cover change in burned and unburned alpine heathland subject to experimental warming. Oecologia 178, 615–628 (2015). https://doi.org/10.1007/s00442-015-3261-2

Download citation

  • Received:

  • Accepted:

  • Published:

  • Issue Date:

  • DOI: https://doi.org/10.1007/s00442-015-3261-2

Keywords

  • Bayesian
  • Fire
  • Open-top chamber
  • Plant-climate interactions
  • Vegetation dynamics