Skip to main content

Climate change scenarios of herbaceous production along an aridity gradient: vulnerability increases with aridity

Abstract

Climate change is expected to reduce annual precipitation by 20 % and increase its standard deviation by 20 % in the eastern Mediterranean. We have examined how these changes may affect herbaceous aboveground net primary production (ANPP) and its inter-annual coefficient of variation (CV) in natural rangelands along a desert—Mediterranean precipitation gradient, at five sites representing arid, semi-arid, and Mediterranean-type ecosystems, respectively, all showing positive linear relationships between herbaceous ANPP and annual precipitation. Scenarios of reduced annual precipitation and increased inter-annual precipitation variability were defined by manipulating mean annual precipitation (MAP) and its standard deviation. We simulated precipitation and calculated ANPP using current ANPP–precipitation relationships. Our model predicts that reduced precipitation will strongly reduce ANPP in arid and semi-arid sites. Moreover, the effect of reduced precipitation on the CV of ANPP along the entire gradient may be modified by changes in inter-annual variability in MAP. Reduced precipitation combined with increased precipitation variability was the scenario most relevant to the wet end of the gradient, due to the increased likelihood for both dry and rainy years. In contrast, the scenario most relevant to the arid end of the gradient combined reduced precipitation with decreased precipitation variability, due to the strong effect on mean ANPP. All scenarios increased variability of ANPP along the entire gradient. However, the higher sensitivity of vegetation at arid and semi-arid sites (i.e., lower forage production) to future changes in the precipitation regime emphasizes the need to adapt grazing management in these ecosystems to secure their long-term viability as sustainable rangelands.

This is a preview of subscription content, access via your institution.

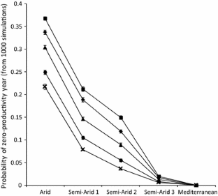
Fig. 1
Fig. 2

References

  • Alpert P, Krichak SO, Shafir H, Haim D, Osetinsky I (2008) Climatic trends to extremes employing regional modeling and statistical interpretation over the E. Mediterranean. Glob Planet Change 63:163–170

    Article  Google Scholar 

  • Ben-Gai T, Bitan A, Manes A, Alpert P, Rubin S (1998) Spatial and temporal changes in rainfall frequency distribution patterns in Israel. Theor Appl Climatol 61:177–190

    Article  Google Scholar 

  • Black E (2009) The impact of climate change on daily precipitation statistics in Jordan and Israel. Atmos Sci Lett 10:192–200

    Article  Google Scholar 

  • Chesson P (2000) Mechanisms of maintenance of species diversity. Annu Rev Ecol Syst 31:343–366

    Article  Google Scholar 

  • DeMalach N, Kigel J, Voet H, Ungar ED (2014) Are semiarid shrubs resilient to drought and grazing? Differences and similarities among species and habitats in a long-term study. J Arid Environ 102:1–8

    Article  Google Scholar 

  • Esteban-Parra MJ, Rodrigo FS, Castro-Diez Y (1998) Spatial and temporal patterns of precipiation in Spain for the period 1880–1992. Int J Climatol 18:1557–1574

    Article  Google Scholar 

  • Evans JP (2009) 21st century climate change in the Middle East. Clim Change 92:417–432

    Article  Google Scholar 

  • Fay PA, Carlisle JD, Knapp AK, Blair JM, Collins SL (2003) Productivity responses to altered rainfall patterns in a C4-dominated grassland. Oecologia 137:245–251

    Article  PubMed  Google Scholar 

  • Golodets C, Boeken B (2006) Moderate sheep grazing in semiarid shrubland alters small-scale soil surface structure and patch properties. Catena 65:285–291

    Article  Google Scholar 

  • Golodets C, Sternberg M, Kigel J, Boeken B, Henkin Z, Seligman NG, Ungar ED (2013) From desert to Mediterranean rangelands: will increasing drought and inter-annual rainfall variability affect herbaceous annual primary productivity? Clim Change 119:785–798

    Article  Google Scholar 

  • Harel D, Holzapfel C, Sternberg M (2011) Seed mass and dormancy of annual plant populations and communities decreases with aridity and rainfall predictability. Basic Appl Ecol 12:674–684

    Article  Google Scholar 

  • Holzapfel C, Tielbörger K, Parag HA, Kigel J, Sternberg M (2006) Annual plant–shrub interactions along an aridity gradient. Basic Appl Ecol 7:268–279

    Article  Google Scholar 

  • Hsu JS, Powell J, Adler PB (2012) Sensitivity of mean annual primary production to precipitation. Glob Change Biol 18:2246–2255

    Article  Google Scholar 

  • Intergovernmental Panel on Climate Change (IPCC) (2013) Climate Change 2013. The physical science basis, Working Group I; contribution to the Fifth Assessment Report of the Intergovernmental Panel on Climate Change, summary for policymakers. Available at: https://www.ipcc.ch/report/ar5/wg1/docs/WGIAR5_SPM_brochure_en.pdf

  • Kafle HK, Bruins HJ (2009) Climatic trends in Israel 1970–2002: warmer and increasing aridity inland. Clim Change 96:63–77

    Article  Google Scholar 

  • Knapp AK, Smith MD (2001) Variation among biomes in temporal dynamics of aboveground primary production. Science 291:481–484

    Article  CAS  PubMed  Google Scholar 

  • Köchy M, Mathaj M, Jeltsch F, Malkinson D (2008) Resilience of stocking capacity to changing climate in arid to Mediterranean landscapes. Reg Environ Change 8:73–87

    Article  Google Scholar 

  • Le Houérou HN, Bingham RL, Skerbek W (1988) Relationship between the variability of primary production and the variability of annual precipitation in world arid lands. J Arid Environ 15:1–18

    Google Scholar 

  • Michaelides SC, Tymvios FS, Michaelidou T (2009) Spatial and temporal characteristics of the annual rainfall frequency distribution in Cyprus. Atmos Res 94:606–615

    Article  Google Scholar 

  • Miranda JD, Armas C, Padilla FM, Pugnaire FI (2011) Climatic change and rainfall patterns: effects on semi-arid plant communities of the Iberian Southeast. J Arid Environ 75:1302–1309

    Article  Google Scholar 

  • Nippert JB, Knapp AK, Briggs JM (2006) Intra-annual rainfall variability and grassland productivity: can the past predict the future? Plant Ecol 184:65–74

    Article  Google Scholar 

  • O’Connor TG, Haines LM, Snyman HA (2001) Influence of precipitation and species composition on phytomass of a semi-arid African grassland. J Ecol 89:850–860

    Article  Google Scholar 

  • Reichmann LG, Sala OE, Peters DPC (2013) Precipitation legacies in desert grassland primary production occur through previous-year tiller density. Ecology 94:435–443

    Article  PubMed  Google Scholar 

  • Rietkerk M, Boerlijst MC, van Langevelde F, HilleRisLambers R, van de Koppel J, Kumar L, Prins HHT, de Roos AM (2002) Self-organization of vegetation in arid ecosystems. Am Nat 160:524–530

    Article  PubMed  Google Scholar 

  • Sala OE, Gherardi LA, Reichmann L, Jobbágy E, Peters D (2012) Legacies of precipitation fluctuations on primary production: theory and data synthesis. Phil Trans R Soc B 367:3135–3144

    Article  PubMed Central  PubMed  Google Scholar 

  • Shachak M (2011) Ecological textures: ecological systems in the northern Negev as a model. Ecol Environ 2:18–29 (in Hebrew)

    Google Scholar 

  • Shafran-Nathan R, Svoray T, Perevolotsky A (2013) The resilience of annual vegetation primary production subjected to different climate change scenarios. Clim Change 118:227–243

    Article  Google Scholar 

  • Shohami D, Dayan U, Morin E (2011) Warming and drying of the eastern Mediterranean: additional evidence from trend analysis. J Geophys Res 116:D22101. doi:10.1029/2011JD016004

    Article  Google Scholar 

  • Sternberg M, Gabay O, Angel D, Barneah O, Gafny S, Gasith A, Grünzweig JM, Hershkovitz Y, Israel A, Milstein D, Rilov G, Steinberger Y, Zohary T (2014) Impacts of climate change on biodiversity in Israel—an expert assessment approach. Reg. Env. Change. doi:10.1007/s10113-014-0675-z

  • Swemmer AM, Knapp AK, Snyman HA (2007) Intra-seasonal precipitation patterns and above-ground productivity in three perennial grasslands. J Ecol 95:780–788

    Article  Google Scholar 

  • Tietjen B, Jeltsch F (2007) Semi-arid grazing systems and climate change: a survey of present modeling potential and future needs. J Appl Ecol 44:425–434

    Article  Google Scholar 

  • Weltzin JF, Loik ME, Schwinning S, Williams DG, Fay PA, Haddad BM, Harte J, Huxman TE, Knapp AK, Lin G, Pockman WT, Shaw MR, Small EE, Smith MD, Smith SD, Tissue DT, Zak JC (2003) Assessing the response of terrestrial ecosystems to potential changes in precipitation. Bioscience 53:941–952

    Article  Google Scholar 

  • Ziv B, Saaroni H, Pargament R, Harpaz T, Alpert P (2013) Trends in rainfall regime over Israel, 1975–2010, and their relationship to large-scale variability. Reg Environ Change. doi:10.1007/s10113-013-0414-x

    Google Scholar 

Download references

Acknowledgments

Irit Konsens (Sede Boqer, Lahav), Eli Zaady, Daniel Barkai and Tanya Gendler (Shaked Park), and Hagit Baram (Lehavim) supplied biomass data. Amir Arnon, Noam Ben Ari, Shilo Navon, Ezra Ben Moshe, and Rafi Yonatan assisted in the field and laboratory. Mark Perel, Moty Peres, Alona Arie, and David Bonfil provided climatic data. Hillary Voet provided statistical advice and analysis. The research at Sede Boqer and Lahav was supported by the GLOWA Jordan River project and funded by the German Federal Ministry of Education and Research (BMBF), in collaboration with the Israeli Ministry of Science and Technology (MOST). The current research was funded by the Fund of the Chief Scientist of the Israeli Ministry of Agriculture and Rural Development.

Author information

Affiliations

Authors

Corresponding author

Correspondence to Carly Golodets.

Additional information

Communicated by Russell K. Monson.

Electronic supplementary material

Rights and permissions

Reprints and Permissions

About this article

Verify currency and authenticity via CrossMark

Cite this article

Golodets, C., Sternberg, M., Kigel, J. et al. Climate change scenarios of herbaceous production along an aridity gradient: vulnerability increases with aridity. Oecologia 177, 971–979 (2015). https://doi.org/10.1007/s00442-015-3234-5

Download citation

  • Received:

  • Accepted:

  • Published:

  • Issue Date:

  • DOI: https://doi.org/10.1007/s00442-015-3234-5

Keywords

  • ANPP
  • Coefficient of variation
  • Mean annual precipitation
  • Precipitation variability
  • Rangelands