Skip to main content

Trophic niche width, offspring condition and immunity in a raptor species

Abstract

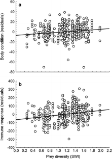
Strategies developed by organisms to maximize foraging efficiency have a strong influence on fitness. The way in which the range of food resources is exploited has served to classify species, populations and individuals from more specialist (narrow trophic niche) to more generalist (broad trophic niche). Recent studies have provided evidence that many of the considered generalist species/populations are actually composed of different specialist individuals (individual specialization). Even the existence of generalism as an adaptive strategy has been questioned. In this study, we investigated the relationship between trophic niche width, individual quality and offspring viability in a population of common kestrel Falco tinnunculus during 4 years. We showed that the diet of kestrels varied significantly among years and that individuals of better quality fed their offspring with a higher diversity of prey species and a higher amount of food. Moreover, body condition and immune response of nestlings were positively correlated with diversity of prey delivered by parents. Our study suggests that generalism has the potential to increase fitness and that broadening the trophic niche may be an adaptive strategy in unpredictable environments.

This is a preview of subscription content, access via your institution.

Fig. 1

References

  • Alonso-Álvarez C, Tella JL (2001) Effects of experimental food restriction and body-mass changes on the avian T-cell-mediated immune response. Can J Zool 79:101–105. doi:10.1139-cjz-79-1-101

    Article  Google Scholar 

  • Alonso-Álvarez C, Bertrand S, Devevey G, Prost J, Faivre B, Chastel O, Sorci G (2006) An experimental manipulation of life-history trajectories and resistance to oxidative stress. Evolution 60:1913–1924. doi:10.1111/j.0014-3820.2006.tb00534.x

    PubMed  Google Scholar 

  • Aparicio JM (2000) Differences in the diets of resident and non-resident kestrels in Spain. Ornis Fenn 77:169–175

    Google Scholar 

  • Araújo MS, Bolnick DI, Layman CA (2011) The ecological causes of individual specialisation. Ecol Lett 14:948–958. doi:10.1111/j.1461-0248.2011.01662.x

    PubMed  Article  Google Scholar 

  • Begon M, Townsend CR, Harper JL (2006) Ecology: from individuals to ecosystems. Blackwell, London

    Google Scholar 

  • Blazer VS (1992) Nutrition and disease resistance in fish. Annu Rev Fish Dis 1:309–323

    Article  Google Scholar 

  • Bolnick DI (2004) Can intraspecific competition drive disruptive selection? An experimental test in natural populations of sticklebacks. Evolution 87:608–618. doi:10.1111/j.0014-3820.2004.tb01683.x

    Google Scholar 

  • Bolnick DI, Lau OL (2008) Predictable patterns of disruptive selection in stickleback in postglacial lakes. Am Nat 172:1–11. doi:10.1086/587805

    PubMed  Article  Google Scholar 

  • Bolnick DI, Yang LH, Fordyce JM, Davis JM, Svanbäck R (2002) Measuring individual-level resource specialization. Ecology 83:2936–2941. doi:10.2307/3072028

    Article  Google Scholar 

  • Bolnick DI, Svanbäck R, Fordyce JM, Yang LH, Davis JM, Hulsey CD, Forister ML (2003) The ecology of individuals: incidence and implications of individual specialization. Am Nat 161:1–28. doi:10.1086/343878

    PubMed  Article  Google Scholar 

  • Brzęk P, Konarzewski M (2007) Relationship between avian growth rate and immune response depends on food availability. J Exp Biol 210:2361–2367. doi:10.1242/jeb.003517

    PubMed  Article  Google Scholar 

  • Butlin R, Bridle J, Schluter D (2009) Speciation and patterns of diversity. Cambridge University Press, Cambridge

    Book  Google Scholar 

  • Calder PC, Kew S (2002) The immune system: a target for functional foods? Br J Nutr 88:165–176. doi:10.1079/BJN2002682

    Article  Google Scholar 

  • Carrillo J, González-Dávila E (2010) Geo-environmental influences on breeding parameters of the Eurasian Kestrel (Falco tinnunculus) in the Western Palaearctic. Ornis Fenn 87:15–25

    Google Scholar 

  • Carrillo J, Hernández EC, Nogales M, Delgado G, García R, Ramos T (1994) Geographic variation in the spring diet of Falco tinnunculus L. on the islands of Fuerteventura and El Hierro (Canary Islands) Bonner. Bonn Zool Beitr 45:38–39

    Google Scholar 

  • Chandra RK (1997) Nutrition and the immune system: an introduction. Am J Clin Nutr 66:460–463

    Google Scholar 

  • Christe P, Møller AP, de Lope F (1998) Immunocompetence and nestling survival in the house martin: the tasty chick hypothesis. Oikos 83:175–179

    CAS  Article  Google Scholar 

  • Clavel J, Julliard R, Devictor V (2011) Worldwide decline of specialist species: toward a global functional homogenization? Front Ecol Environ 9:222–228. doi:10.1890/080216

    Article  Google Scholar 

  • Cucherousset J, Acou A, Blanchet S, Britton JR, Beaumont WRC, Gozlan RE (2011) Fitness consequences of individual specialisation in resource use and trophic morphology in European eels. Oecologia 167:75–84. doi:10.1007/s00442-011-1974-4

    PubMed  Article  Google Scholar 

  • Dall SRX, Bell AM, Bolnick DI, Ratnieks FLW (2012) An evolutionary ecology of individual differences. Ecol Lett 15:1189–1198. doi:10.1111/j.1461-0248.2012.01846.x

    PubMed  Article  Google Scholar 

  • Dayan T, Simberloff D (2005) Ecological and community-wide character displacement: the next generation. Ecol Lett 8:875–894. doi:10.1111/j.1461-0248.2005.00791.x

    Article  Google Scholar 

  • De Neve L, Fargallo JA, Vergara P, Lemus JA, Jarén-Galán M, Luaces I (2008) Effects of maternal carotenoid availability in relation to sex, parasite infection and health status of nestling kestrels Falco tinnunculus. J Exp Biol 211:1414–1425. doi:10.1242/jeb.014290

    PubMed  Article  Google Scholar 

  • Dennis RLH, Dapporto L, Fattorini S, Cook LM (2011) Thegeneralism–specialism debate: the role of generalists in the life and death of species. Biol J Linn Soc 104:725–737. doi:10.1111/j.1095-8312.2011.01789.x

    Article  Google Scholar 

  • Devictor V, Clavel J, Julliard R, Lavergne S, Mouillot D, Thuiller W, Venail P, Villéger S, Mouquet N (2010) Defining and measuring ecological specialization. J Appl Ecol 47:15–25. doi:10.1111/j.1365-2664.2009.01744.x

    Article  Google Scholar 

  • Dieckmann U, Doebeli M (1999) On the origin of species by sympatric speciation. Nature 400:354–357. doi:10.1038/22521

    CAS  PubMed  Article  Google Scholar 

  • Eldredge N, Cracraft J (1980) Phylogenetic patterns and the evolutionary process. Columbia University Press, New York

    Google Scholar 

  • Estes JA, Riedman ML, Staedler MM, Tinker MT, Lyon BE (2003) Individual variation in prey selection by sea otters: patterns, causes and implications. J Anim Ecol 72:144–155. doi:10.1046/j.1365-2656.2003.00690.x

    Article  Google Scholar 

  • Fargallo JA, Laaksonen T, Pöyri V, Korpimäki E (2002) Inter-sexual differences in the immune response of Eurasian kestrel under food shortage. Ecol Lett 5:95–101. doi:10.1046/j.1461-0248.2002.00290.x

    Article  Google Scholar 

  • Fargallo JA, Laaksonen T, Korpimaki E, Poyri V, Griffith SC, Valkama J (2003) Size mediated dominance and begging behaviour in Eurasian kestrel broods. Evol Ecol Res 5:549–558. doi:10.1111/j.0269-8463.2004.00874.x

    Google Scholar 

  • Fargallo JA, Martínez-Padilla J, Viñuela J, Blanco G, Torre I, Vergara P, De Neve L (2009) Kestrel-prey dynamic in a Mediterranean region: the effect of generalist predation and climatic factors. PLoS ONE 4:4311. doi:10.1371/journal.pone.0004311

    Article  Google Scholar 

  • Fitze PS, Tschirren B, Gasparini J, Richner H (2007) Carotenoid-based plumage colors and immune function: is there a trade-off for rare carotenoids? Am Nat 169:137–144. doi:10.1086/510094

    Article  Google Scholar 

  • Fox LR, Morrow PA (1981) Specialization: species property or local phenomenon? Science 211:887–893. doi:10.1126/science.211.4485.887

    CAS  PubMed  Article  Google Scholar 

  • Freitak D, Heckel DG, Vogel H (2009) Dietary-dependent transgenerational immune priming in an insect herbivore. Proc R Soc Lond B Biol 276:2617–2624. doi:10.1098/rspb.2009.0323

    Article  Google Scholar 

  • Futuyma DJ (2001) Ecological specialization and generalization. In: Fox CW, Roff DA, Fairbairn J (eds) Evolutionary ecology concepts and case studies. Oxford University Press, New York

    Google Scholar 

  • Gil-Delgado JA, Verdejo J, Barba E (1995) Nestling diet fledging production of Eurasian kestrels (Falco tinnunculus) in eastern Spain. J Raptor Res 29:240–244

    Google Scholar 

  • Grant PR, Grant BR (2002) Unpredictable evolution in a 30-year study of Darwin’s finches. Science 296:707–711. doi:10.1126/science.1070315

    CAS  PubMed  Article  Google Scholar 

  • Grayson KL, Cook LW, Todd MJ, Pierce D, Hopkins WA, Gatten RE, Dorcas ME (2005) Effects of prey type on specific dynamic action, growth, and mass conversion efficiencies in the horned frog, Ceratophrys cranwelli. Comp Biochem Physiol 141:298–304. doi:10.1016/j.cbpb.2005.05.052

    Article  Google Scholar 

  • Hanski I, Henttonen H, Korpimäki E, Oksanen L, Turchin P (2001) Small-rodent dynamics and predation. Ecology 82:1505–1520. doi:10.1890/0012-9658(2001)082[1505:SRDAP]2.0.CO;2

    Article  Google Scholar 

  • Harman D (1981) The aging process. Proc Natl Acad Sci USA 78:7124–7128

    CAS  PubMed Central  PubMed  Article  Google Scholar 

  • Hasselquist D, Nilsson JA (2012) Physiological mechanisms mediating costs of immune responses: what can we learn from studies of birds? Anim Behav 83:1303–1312. doi:10.1016/j.anbehav.2012.03.025

    Article  Google Scholar 

  • Hõrak P, Tegelmann L, Ots I, Mùller AP (1999) Immune function and survival of great tit nestlings in relation to growth conditions. Oecologia 121:316–322. doi:10.1007/s004420050934

    Article  Google Scholar 

  • Hutchinson GE (1957) Concluding remarks: cold spring harbor symposium. Quant Biol 22:415–427. doi:10.1101/sqb.1957.022.01.039

    Article  Google Scholar 

  • Jensen K, Mayntz D, Toft S, Clissold FJ, Hunt J (2012) Optimal foraging for specific nutrients in predatory beetles. Proc R Soc Lond B Biol 279:2212–2218. doi:10.1098/rspb 2011.2410

    CAS  Article  Google Scholar 

  • Kidd MT (2004) Nutritional modulation of immune function in broilers. Poult Sci 83:650–657

    CAS  PubMed  Article  Google Scholar 

  • Kitaysky AS, Kitaiskaia EV, Piatt JF, Wingfield JC (2006) A mechanistic link between chick diet and decline in seabirds? Proc R Soc Lond B Biol 273:445–450. doi:10.1098/rspb.2005.3351

    CAS  Article  Google Scholar 

  • Klasing KC (2007) Nutrition and the immune system. Br Poult Sci 48:525–537

    CAS  PubMed  Article  Google Scholar 

  • Korpimäki E (1986) Diet variation, hunting habitat and reproductive output of the kestrel Falco tinnunculus in the light of the optimal diet theory. Ornis Fenn 63:84–90

    Google Scholar 

  • Korpimäki E, Rita H (1996) Effects of brood size manipulations on offspring and parental survival in the European kestrel under fluctuating food conditions. Écoscience 3:264–273

    Google Scholar 

  • Korpimäki E, Tolonen P, Bennett GF (1995) Blood parasites, sexual selection and reproductive success of European kestrels. Ecoscience 2:335–343

    Google Scholar 

  • Kyneb A, Toft S (2006) Effects of maternal diet quality on offspring performance in the rove beetle Tachyporus hypnorum. Ecol Entomol 31:322–330. doi:10.1111/j.1365-2311.2006.00775.x

    Article  Google Scholar 

  • Llorens G (2010) Dieta del Cernícalo vulgar (Falco tinnunculus) durante el periodo reproductor en una colonia suburbana al Este de la Península Ibérica. Serenet 8

  • López-Rull I, Celis P, Salaberria C, Puerta M, Gil D (2011) Post-fledging recruitment in relation to nestling plasma testosterone and immunocompetence in the spotless starling. Funct Ecol 25:500–508. doi:10.1111/j.1365-2435.2010.01783.x

    Article  Google Scholar 

  • Loxdale HD, Lushai G, Harvey JA (2011) The evolutionary improbability of ‘generalism’ in nature, with special reference to insects. Biol J Linn Soc 103:1–18. doi:10.1111/j.1095-8312.2011.01627.x

    Article  Google Scholar 

  • MacArthur RH, Pianka ER (1966) On optimal use of a patchy environment. Am Nat 100:603–609

    Article  Google Scholar 

  • Martínez-Padilla J (2006) Daytime variation in T-cell-mediated immunity of Eurasian kestrel (Falco tinnunculus) nestlings. J Avian Biol 37:419–424. doi:10.1111/j.2006.0908-8857.03904.x

    Article  Google Scholar 

  • Martínez-Padilla J, Fargallo JA (2008) Fear in grasslands: the effect of Eurasian kestrels on skylark abundances. Naturwissenschaften 95:391–398

    PubMed  Article  Google Scholar 

  • Masman D, Dijkstra C, Daan S, Bult A (1989) Energetic limitation of avian parental effort: field experiments in the kestrel (Falco tinnunculus). J Evol Biol 2:435–455

    Article  Google Scholar 

  • Mayhew PJ (2006) Discovering evolutionary ecology. Oxford University Press, Oxford

    Google Scholar 

  • Mayntz D, Toft S (2001) Nutrient composition of the prey’s diet affects growth and survivorship of a generalist predator. Oecologia 127:207–213. doi:10.1007/s004420000591

    CAS  PubMed  Article  Google Scholar 

  • Metcalfe NB, Monaghan P (2001) Compensation for a bad start: grow now, pay later? Trends Ecol Evol 16:254–260. doi:10.1016/S0169-5347(01)02124-3

    PubMed  Article  Google Scholar 

  • Monaghan P (2008) Early growth conditions, phenotypic development and environmental change. Philos Trans R Soc B 363:1635–1645. doi:10.1098/rstb.2007.0011

    Article  Google Scholar 

  • Padilla DP, Nogales M (2009) Behavior of kestrels feeding on frugivorous lizards: implications for secondary seed dispersal. Behav Ecol 20:872–877. doi:10.1093/beheco/arp075

    Article  Google Scholar 

  • Palokangas P, Korpimäki E, Hakkarainen H, Huhta E, Tolonen P, Alatalo RV (1994) Female kestrels gain reproductive success by choosing brightly ornamented males. Anim Behav 47:443–448. doi:10.1006/anbe.1994.1058

    Article  Google Scholar 

  • Quevedo M, Svanbäck R, Eklöv P (2009) Intrapopulation niche partitioning in a generalist predator limits food web connectivity. Ecology 90:2263–2274. doi:10.1890/07-1580.1

    PubMed  Article  Google Scholar 

  • Roughgarden J (1972) Evolution of niche width. Am Nat 106:683–718. doi:10.2307/2459501

    Article  Google Scholar 

  • Saino N, Bolzern AM, Møller AP (1997a) Immunocompetence, ornamentation, and viability of male barn swallows (Hirundo rustica). Proc Natl Acad Sci USA 94:549–552. doi:10.1086/303246

    CAS  PubMed Central  PubMed  Article  Google Scholar 

  • Saino N, Calza S, Møller AP (1997b) Immunocompetence of nestling barn swallows in relation to brood size and parental effort. J Anim Ecol 66:827–836

    Article  Google Scholar 

  • Saino N, Romano M, Ambrosini R, Rubolini D, Boncoraglio G, Caprioli M, Romano A (2012) Longevity and lifetime reproductive success of barn swallow offspring are predicted by their hatching date and phenotypic quality. J Anim Ecol 81:1004–1012. doi:10.1111/j.1365-2656.2012.01989.x

    PubMed  Article  Google Scholar 

  • Santoro D, Polidori C, Asís JD, Tormos J (2011) Complex interactions between components of individual prey specialization affect mechanisms of niche variation in a grasshopper-hunting wasp. J Anim Ecol 80:1123–1133. doi:10.1111/j.1365-2656.2011.01874.x

    PubMed  Article  Google Scholar 

  • SAS (1999) SAS/INSIGHT user’s guide, version 8. SAS Institute, Cary, NC

  • Schluter D (2009) Evidence for ecological speciation and its alternative. Science 323:737–741. doi:10.1126/science.1160006

    CAS  PubMed  Article  Google Scholar 

  • Skúlason S, Smith TB (1995) Resource polymorphism in vertebrates. Trends Ecol Evol 10:366–370

    PubMed  Article  Google Scholar 

  • Soler M, Martín-Vivaldi M, Marín JM, Møller AP (1999) Weight lifting and health status in the black wheatear. Behav Ecol 10:281–286. doi:10.1093/beheco/10.3.281

    Article  Google Scholar 

  • Soler JJ, De Neve L, Pérez-Contreras T, Soler M, Sorci G (2003) Trade-off between immunocompetence and growth in magpies: an experimental study. Proc R Soc Lond B Biol 270:241–248. doi:10.1098/rspb.2002.2217

    Article  Google Scholar 

  • Sonerud GA, Steen R, Løw LM, Røed LT, Skar K, Selås V, Slagsvold T (2012) Size-biased allocation of prey from male to offspring via female: family conflicts, prey selection, and evolution of sexual size dimorphism in raptors. Oecologia (Online). doi:101007/s00442-012-2491-9

    Google Scholar 

  • Souttou K, Baziz B, Doumandji S, Denys C, Brahimi R (2007) Prey selection in the common kestrel, Falco tinnunculus in the Algiers suburbs (Algeria). Folia Zool 56:405–415

    Google Scholar 

  • Steen R, Løw LM, Sonerud GA, Selås V, Slagsvold T (2011) Prey delivery rates as estimates of prey consumption by Eurasian Kestrel Falco tinnunculus nestlings. Ardea 99:1–8. doi:10.5253/078.099.0101

    Article  Google Scholar 

  • Svanbäck R, Bolnick DI (2007) Intraspecific competition drives increased resource use diversity within a natural population. Proc R Soc Lond B Biol 274:839–844. doi:10.1098/rspb 2006.0198

    Article  Google Scholar 

  • Swamy HVLN, Smith TK, MacDonald EJ, Karrow NA, Boermans HJ (2004) Effects of feeding blends of grains naturally contaminated with Fusarium mycotoxins on growth and immune response of broiler chickens. Poult Sci 83:533–543. doi:10.3382/ps.2007-00181

    CAS  PubMed  Article  Google Scholar 

  • Swearer SE, Caselle KE, Lea DW, Warner RR (1999) Larval retention and recruitment in an island population of a coral-reef fish. Nature 402:799–802. doi:10.1038/45533

    CAS  Article  Google Scholar 

  • Tella JL, Bortolotti GR, Dawson RD, Forero M (2000) The T-cell-mediated immune response and return rate of fledgling American kestrels are positively correlated with parental clutch size. Proc R Soc Lond B Biol 267:891–895. doi:10.1098/rspb.2000.1086

    CAS  Article  Google Scholar 

  • Tella JL, Scheuerlein A, Ricklefs RE (2002) Is cell-mediated immunity related to the evolution of life-history strategies in birds? Proc R Soc Lond B Biol 269:1059–1066. doi:10.1098/rspb.2001.1951

    Article  Google Scholar 

  • Thomas CD, Bodsworth EJ, Wilson RJ, Simmons AD, Davies ZG, Musche M, Conradt L (2001) Ecological and evolutionary processes at expanding range margins. Nature 411:577–581. doi:10.1038/35079066

    CAS  PubMed  Article  Google Scholar 

  • Triggs AM, Knell RJ (2012) Parental diet has strong transgenerational effects on offspring immunity. Funct Ecol 26:1409–1417. doi:10.1111/j.1365-2435.2012.02051.x

    Article  Google Scholar 

  • Vergara P, Fargallo JA (2008a) Sex, melanic coloration and sibling competition during the postfledging dependence period. Behav Ecol 19:847–853. doi:10.1093/beheco/arn035

    Article  Google Scholar 

  • Vergara P, Fargallo JA (2008b) Copulation duration during courtship predicts fertility in the Eurasian kestrel Falco tinnunculus. Ardeola 55:153–160

    Google Scholar 

  • Vergara P, De Neve L, Fargallo JA (2007) Agonistic behavior prior to laying predicts clutch size in Eurasian kestrels: an experiment with natural decoys. Anim Behav 74:1515–1523

    Article  Google Scholar 

  • Village A (1982) The diet of kestrels in relation to vole abundance. Bird Study 29:129–138. doi:10.1080/00063658209476747

    Article  Google Scholar 

  • Village A (1990) The kestrel. Poyser, London

    Google Scholar 

  • Vrba ES (1987) Ecology in relation to speciation rates: some case histories of Miocene-Recent mammal clades. Evol Ecol 1:283–300

    Article  Google Scholar 

  • Werner TK, Sherry TW (1986) Behavioral feeding specialization in Pinaroloxias inornata, the “Darwin’s finch” of Cocos Island, Costa Rica. Proc Natl Acad Sci USA 84:5506–5510

    Article  Google Scholar 

  • West-Eberhard MJ (1989) Phenotypic plasticity and the origins of diversity. Annu Rev Ecol Syst 20:249–278. doi:10.2307/2097092

    Article  Google Scholar 

  • Wiehn J, Korpimäki E (1997) Food limitation on brood size: experimental evidence in the Eurasian kestrel. Ecology 78:2043–2050

    Article  Google Scholar 

  • Woo K, Elliott KH, Davidson M, Gaston AJ, Davoren G (2008) Individual specialization in diet by a generalist marine predator reflects specialization in foraging. J Anim Ecol 77:1082–1091. doi:10.1111/j.1365-2656.2008.01429.x

    PubMed  Article  Google Scholar 

Download references

Acknowledgments

J. N.-L. and J. A. F. dedicate this paper to the memory of Pablo Vergara, who died suddenly in August 2013. His great devotion, enthusiasm, ideas and style of working will remain forever with us. We thank J. Martínez-Padilla and I. López-Rull for their help during the field work and three anonymous referees for their helpful comments on the manuscript. The study was carried out on the Finat family property with the help of J. San Teodoro. Licenses to study kestrels were granted by the Junta de Castilla y León. J. N.-L. and P. V. were supported by FPI and Juan de la Cierva contracts, respectively, during the writing of the manuscript. Research was funded by the Ministerio de Economía through projects CGL2007-61395 and CGL2010-15726. This is a contribution from the El Ventorrillo Biological Station.

Author information

Affiliations

Authors

Corresponding author

Correspondence to Juan Navarro-López.

Additional information

Communicated by Markku Orell.

Electronic supplementary material

Below is the link to the electronic supplementary material.

Supplementary material 1 (DOC 167 kb)

Rights and permissions

Reprints and Permissions

About this article

Cite this article

Navarro-López, J., Vergara, P. & Fargallo, J.A. Trophic niche width, offspring condition and immunity in a raptor species. Oecologia 174, 1215–1224 (2014). https://doi.org/10.1007/s00442-013-2855-9

Download citation

  • Received:

  • Accepted:

  • Published:

  • Issue Date:

  • DOI: https://doi.org/10.1007/s00442-013-2855-9

Keywords

  • Diet
  • Falco tinnunculus
  • Generalism
  • Parental investment
  • Predation