Skip to main content

Aboveground net primary production dynamics in a northern Chihuahuan Desert ecosystem

Abstract

Aboveground net primary production (ANPP) dynamics are a key element in the understanding of ecosystem processes. For semiarid environments, the pulse-reserve framework links ANPP to variable and unpredictable precipitation events contingent on surficial hydrology, soil moisture dynamics, biodiversity structure, trophic dynamics, and landscape context. Consequently, ANPP may be decoupled periodically from processes such as decomposition and may be subjected to complex feedbacks and thresholds at broader scales. As currently formulated, the pulse-reserve framework may not encompass the breadth of ANPP response to seasonal patterns of precipitation and heat inputs. Accordingly, we examined a 6-year (1999–2004), seasonal record of ANPP with respect to precipitation, soil moisture dynamics, and functional groups in a black grama (Bouteloua eriopoda) grassland and a creosotebush (Larrea tridentata) shrubland in the northern Chihuahuan Desert. Annual ANPP was similar in the grassland (51.1 g/m2) and shrubland (59.2 g/m2) and positively correlated with annual precipitation. ANPP differed among communities with respect to life forms and functional groups and responses to abiotic drivers. In keeping with the pulse-reserve model, ANPP in black grama grassland was dominated by warm-season C4 grasses and subshrubs that responded to large, transient summer storms and associated soil moisture in the upper 30 cm. In contrast, ANPP in creosotebush shrubland occasionally responded to summer moisture, but the predominant pattern was slower, non-pulsed growth of cool-season C3 shrubs during spring, in response to winter soil moisture accumulation and the breaking of cold dormancy. Overall, production in this Chihuahuan Desert ecosystem reflected a mix of warm-temperate arid land pulse dynamics during the summer monsoon and non-pulsed dynamics in spring driven by winter soil moisture accumulation similar to that of cool-temperate regions.

This is a preview of subscription content, access via your institution.

Fig. 1
Fig. 2
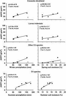
Fig. 3
Fig. 4a, b
Fig. 5
Fig. 6
Fig. 7
Fig. 8
Fig. 9

References

  • Adler PB, Levine JM (2007) Contrasting relationships between precipitation and species richness in space and time. Oikos 116:221–232

    Article  Google Scholar 

  • Austin AT, Vivanco L (2006) Plant litter decomposition in a semi-arid ecosystem controlled by photodegradation. Nature 442:555–558

    PubMed  Article  CAS  Google Scholar 

  • Austin AT, Yahdjian L, Stark JM, Belnap J, Porporato A, Norton U, Ravetta DA, Schaeffer SM (2004) Water pulses and biogeochemical cycles in arid and semiarid ecosystems. Oecologia 141:221–235

    PubMed  Article  Google Scholar 

  • Barrett JE, McCulley RL, Lane DR, Burke IC, Lauenroth WK (2002) Influence of climate variability on plant production and N-mineralization in Central US grasslands. J Veg Sci 13:383–394

    Article  Google Scholar 

  • Bhark EW, Small EE (2003) The relationship between plant canopies and the spatial patterns of infiltration in shrubland and grassland of the Chihuahuan desert, New Mexico. Ecosystems 6:185–196

    Article  Google Scholar 

  • Briggs JM, Knapp AK (1995) Interannual variability in primary production in tallgrass prairie—climate, soil-moisture, topographic position, and fire as determinants of aboveground biomass. Am J Bot 82:1024–1030

    Article  Google Scholar 

  • Buxbaum CAZ, Vanderbilt K (2007) Soil heterogeneity and the distribution of desert and steppe plant species across a desert–grassland ecotone. J Arid Environ 69:617–632

    Article  Google Scholar 

  • Chase JM, Leibold MA, Downing AL, Shurin JB (2000) The effects of productivity, herbivory, and plant species turnover in grassland food webs. Ecology 81:2485–2497

    Article  Google Scholar 

  • Gosz JR (1993) Ecotone hierarchies. Ecol Appl 3:369–376

    Article  Google Scholar 

  • Gosz JR, Moore DI, Shore GA, Grover HD, Rison W, Rison C (1995) Lightning estimates of precipitation location and quantity on the Sevilleta LTER, New Mexico. Ecol Appl 5:1141–1150

    Article  Google Scholar 

  • Gutzler DS (2000) Covariability of spring snowpack and summer rainfall across the southwest United States. J Clim 13:4018–4027

    Article  Google Scholar 

  • Gutzler DS, Kann DM, Thornbrugh C (2002) Modulation of ENSO-based long-lead outlooks of Southwestern US winter precipitation by the Pacific decadal oscillation. Weather Forecast 17:1163–72

    Article  Google Scholar 

  • Huenneke LF, Clason D, Muldavin E (2001) Spatial heterogeneity in Chihuahuan desert vegetation: implications for sampling methods in semi-arid ecosystems. J Arid Environ 47:257–270

    Article  Google Scholar 

  • Huenneke LF, Anderson JP, Remmenga M, Schlesinger WH (2002) Desertification alters patterns of aboveground net primary production in Chihuahuan ecosystems. Glob Change Biol 8:247–264

    Article  Google Scholar 

  • Huxman TE, Smith MD, Fay PA, Knapp AK, Shaw MR, Loik ME, Smith SD, Tissue DT, Zak JC, Weltzin JF, Pockman WT, Sala OE, Haddad BM, Harte J, Koch GW, Schwinning S, Small EE, Williams DT (2004) Convergence across biomes to a common rain-use efficiency. Nature 429:651–654

    PubMed  Article  CAS  Google Scholar 

  • Kieft TL, White CS, Loftin SR, Aguilar R, Craig JA, Skaar DA (1998) Temporal dynamics in soil carbon and nitrogen resources at a grassland−shrubland ecotone. Ecology 79:671–683

    Google Scholar 

  • Knapp AK, Smith MD (2001) Variation among biomes in temporal dynamics of aboveground primary production. Science 291:481–484

    PubMed  Article  CAS  Google Scholar 

  • Knapp AK, Fahnestock JT, Hamburg SP, Statland LB, Seastedt TR, Schimel DS (1993) Landscape patterns in soil plant water relations and primary production in tallgrass prairie. Ecology 74:549–560

    Article  Google Scholar 

  • Knapp AK, Burns CE, Kirkman KP, Morris CD, Smith MD (2006) Convergence and contingency in production–precipitation relationships in North American and South African C4 grasslands. Oecologia 149:456–464

    PubMed  Article  Google Scholar 

  • Kurc SA, Small EE (2004) Dynamics of evapotranspiration in semiarid grassland and shrubland ecosystems during the summer monsoon season, central New Mexico. Water Resour Res 40:W09305,10.1029/2004WR003068

    Article  Google Scholar 

  • Lane DR, Coffin DP, Lauenroth WK (1998) Effects of soil texture and precipitation on above-ground net primary productivity and vegetation structure across the Central Grassland region of the United States. J Veg Sci 9:239–250

    Article  Google Scholar 

  • Lauenroth WK, Sala OE (1992) Long-term forage production of North American shortgrass steppe. Ecol Appl 2:397–403

    Article  Google Scholar 

  • Loik ME, Breshears DD, Lauenroth WK, Belnap J (2004) A multi-scale perspective of water pulses in dryland ecosystems: climatology and ecohydrology of the western USA. Oecologia 141:269–281

    PubMed  Article  Google Scholar 

  • Ludwig JA, Wilcox BP, Breshears DD, Tongway DJ, Imeson AC (2005) Vegetation patches and runoff-erosion as interacting ecohydrological processes in semiarid landscapes. Ecology 86:288–297

    Article  Google Scholar 

  • McClain ME, Boyer EW, Dent CL, Gergel SE, Grimm NB, Groffman PM, Hart SC, Harvey JW, Johnston CA, Mayorga W, McDowell WH, Pinay G (2003) Biogeochemical hot spots and hot moments at the interface of terrestrial and aquatic ecosystems. Ecosystems 6:301–312

    Article  CAS  Google Scholar 

  • McCulley RL, Burke IC, Nelson JA, Lauenroth WK, Knapp AK, Kelly EF (2005) Regional patterns in carbon cycling across the Great Plains of North America. Ecosystems 8:106–121

    Article  CAS  Google Scholar 

  • McNaughton SJ, Oesterheld M, Frank DA, Williams KJ (1989) Ecosystem-level patterns of primary production and herbivory in terrestrial habitats. Nature 341:142–144

    PubMed  Article  CAS  Google Scholar 

  • Molles MC Jr, Dahm CN (1990) A perspective on El Nino and La Nina: global implications for stream ecology. J North Am Benthol Soc 9:68–76

    Article  Google Scholar 

  • Muldavin EH (2002) Some floristic characteristics of the northern Chihuahuan desert: a search for its northern boundary. Taxon 51:453–462

    Article  Google Scholar 

  • Noy-Meir I (1973) Desert ecosystems: environment and producers. Annu Rev Ecol Syst 4:25–51

    Article  Google Scholar 

  • Oesterheld M, Loreti J, Semmartin M, Sala OE (2001) Inter-annual variation in primary production of a semi-arid grassland related to previous-year production. J Veg Sci 12:137–142

    Article  Google Scholar 

  • Ogle K, Reynolds JF (2004) Plant responses to precipitation in desert ecosystems: integrating functional types, pulses, thresholds, and delays. Oecologia 141:282–294

    PubMed  Article  Google Scholar 

  • Parmenter RR, Yates TL, Anderson DR, Burnham KP, Dunnum JL, Franklin AB, Friggens MT, Lubow BC, Miller M, Olson GS, Parmenter CA, Pollard J, Rexstad E, Shenk TM, Stanley TR, White GG (2003) Small mammal density estimation: a field comparison of grid-based versus web-based density estimators. Ecol Monogr 73:1–26

    Article  Google Scholar 

  • Parton WJ, Scurlock JMO, Ojima DS, Schimel DS, Hall DO, SCOPEGRAM group members (1995) Impact of climate change on grassland production and soil carbon worldwide. Glob Change Biol 1:13–22

    Article  Google Scholar 

  • Parton WJ, Silver WL, Burke IC, Grassens L, Harmon ME, Currie WS, King JY, Adair EC, Brandt LA, Hart SC, Fasth B (2007) Global-scale similarities in nitrogen release patterns during long-term decomposition. Science 315:361–364

    PubMed  Article  CAS  Google Scholar 

  • Paruelo JM, Lauenroth WK, Burke IC, Sala OE (1999) Grassland precipitation-use efficiency varies across a resource gradient. Ecosystems 2:64–68

    Article  Google Scholar 

  • Pennington DD, Collins SL (2007) Response of an arid land ecosystem to interannual climate variability and prolonged drought. Landsc Ecol 22:897–910

    Article  Google Scholar 

  • Peters DPC, Gosz JR, Pockman WT, Small EE, Parmenter RR, Collins SL, Muldavin E (2006) Integrating patch and boundary dynamics to understand and predict biotic transitions at multiple scales. Landsc Ecol 21:19–33

    Article  Google Scholar 

  • Ravi S, D’Odorico P, Herbert B, Zobeck TM, Over TM (2006) Enhancement of wind erosion by fire-induced water repellency. Water Resour Res 42:W11422,10.1029/2006WR004895

    Article  Google Scholar 

  • Ravi S, D’Odorico P, Zobeck TM, Over TM, Collins SL (2007) Feedbacks between fires and wind erosion in heterogeneous arid lands. J Geophys Res Biogeosci (in press)

  • Reynolds JF, Kemp PR, Ogle K, Fernandez RJ (2004) Modifying the “pulse-reserve” paradigm for deserts of North America: precipitation pulses, soil water, and plant responses. Oecologia 141:194–210

    PubMed  Article  Google Scholar 

  • Reynolds JF, Virginia RA, Kemp PR, de Soyza AG, Tremmel DC (1999) Impact of drought on desert shrubs: effects of seasonality and degree of resource island development. Ecol Monogr 69:69–106

    Google Scholar 

  • Sala OE, Lauenroth WK (1982) Small rainfall events and ecological role in semi-arid regions. Oecologia 53:301–304

    Article  Google Scholar 

  • Sala OE, Parton WJ, Joyce LA, Lauenroth WK (1988) Primary production of the central grassland region of the United States. Ecology 69:40–45

    Article  Google Scholar 

  • SAS Institute (1989) SASA/STAT user’s guide, version 6, fourth edn. SAS Institute, Cary, N.C.

  • Schwinning S, Sala OE (2004) Hierarchy of responses to resource pulses in semi-arid ecosystems. Oecologia 141:211–220

    PubMed  Google Scholar 

  • Seastedt TR, Knapp AK (1993) Consequences of nonequilibrium resource availability across multiple time scales—the transient maxima hypothesis. Am Nat 141:621–633

    Article  CAS  PubMed  Google Scholar 

  • Sims PL, Singh JS (1978) The structure and function of ten western North American grasslands. III. Net primary production, turnover and efficiencies of energy capture and water use. J Ecol 66:573–597

    Article  Google Scholar 

  • Swemmer AM, Knapp AK, Snymen HA (2007) Intra-seasonal precipitation patterns and above-ground productivity in three perennial grasslands. J Ecol 95:780–788

    Article  Google Scholar 

  • Tilman D, Reich PB, Knops J, Wedin D, Mielke T, Lehman C (2001) Diversity and productivity in a long-term grassland experiment. Science 294:843–845

    PubMed  Article  CAS  Google Scholar 

  • Tongway DJ, Ludwig JA (1997) The conservation of water and nutrients within landscapes. In: Ludwig JA, Tongway DJ, Freudenberger D, Noble J, Hodgkinson K (eds) Landscape ecology: function and management. CSIRO, Collingwood, pp 13–22

    Google Scholar 

  • Webb W, Szarek S, Lauenroth WK, Kinerson R, Smith M (1978) Primary productivity and water use in native forest, grassland, and desert ecosystems. Ecology 59:1239–1247

    Article  Google Scholar 

  • White CS, Moore DI, Craig JA (2004) Regional-scale drought increases potential soil fertility in semiarid grasslands. Biol Fertil Soils 40:73–78

    Article  Google Scholar 

  • White CS, Pendleton RL, Pendleton BK (2006) Response of two semiarid grasslands to a second fire application. Range Ecol Manage 59:98–106

    Article  Google Scholar 

Download references

Acknowledgements

We thank J. Gosz, B. Parmenter and K. Vanderbilt for helpful discussions. A. Knapp and three anonymous reviewers provided helpful comments on earlier versions of the manuscript. We thank J. Blair, G. Kelly, D. Peters, J. Anderson, and R. McCulley for sharing data. This research was supported by NSF grants DEB-0080529 and DEB-0217774 to the University of New Mexico for long-term ecological research.

Author information

Affiliations

Authors

Corresponding author

Correspondence to Esteban H. Muldavin.

Additional information

Communicated by Alan Knapp.

Electronic supplementary material

Below is the link to the Electronic supplementary material.

ESM1 (DOC 182 kb)

Rights and permissions

Reprints and Permissions

About this article

Cite this article

Muldavin, E.H., Moore, D.I., Collins, S.L. et al. Aboveground net primary production dynamics in a northern Chihuahuan Desert ecosystem. Oecologia 155, 123–132 (2008). https://doi.org/10.1007/s00442-007-0880-2

Download citation

  • Received:

  • Accepted:

  • Published:

  • Issue Date:

  • DOI: https://doi.org/10.1007/s00442-007-0880-2

Keywords

  • Aboveground net primary production
  • Bouteloua eriopoda
  • Chihuahuan Desert
  • Desert grassland
  • Desert shrubland