Skip to main content

Dietary restriction in two rotifer species: the effect of the length of food deprivation on life span and reproduction

Abstract

According to resource allocation theory, animals face a trade off between the allocation of resources into reproduction and into individual growth/maintenance. This trade off is reinforced when food conditions decline. It is well established in biological research that many animals increase their life span when food is in suboptimal supply for growth and/or reproduction. Such a situation of reduced food availability is called dietary restriction. An increase in life span under dietary restricted conditions is seen as a strategy to tolerate periods of food shortage so that the animals can start reproduction again when food is in greater supply. In this study, the effect of dietary restriction on life span and reproduction in two rotifer species, Cephalodella sp. and Elosa worallii, was investigated using life table experiments. The food concentration under dietary restricted conditions was below the threshold for population growth. It was (1) tested whether the rotifers start reproduction again after food replenishment, and (2) estimated whether the time scale of dietary restricted conditions is relevant for the persistence of a population in the field. Only E. worallii responded to dietary restriction with an increase in life span at the expense of reproduction. After replenishment of food, E. worallii started to reproduce again within 1 day. With an increase in the duration of dietary restricted conditions of up to 15 days, which is longer than the median life span of E. worallii under food saturation, the life span increased and the life time reproduction decreased. These results suggest that in a temporally (or spatially) variable environment, some rotifer populations can persist even during long periods of severe food deprivation.

This is a preview of subscription content, access via your institution.

Fig. 1
Fig. 2
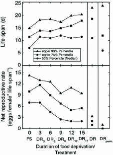
Fig. 3
Fig. 4

References

  • Bell EM, Weithoff G (2003) Benthic recruitment of zooplankton from an acidic lake. J Exp Mar Biol Ecol 185–186:205–219

    Article  Google Scholar 

  • Bell EM, Weithoff G, Gaedke U (2006) Temporal dynamics and growth of Actinophrys sol (Sarcodina: Heliozoa), the top predator in an extremely acidic lake. Freshw Biol 51:1149–1161

    Article  CAS  Google Scholar 

  • Bissinger V, Jander J, Tittel J (2000) A new medium free of organic carbon to cultivate organisms from extremely acidic mining lakes (pH 2.7). Acta Hydrochim Hydrobiol 28:310–312

    Article  CAS  Google Scholar 

  • Carey J (2003) Longevity—the biology and demography of life span. Princeton University Press, Princeton

    Google Scholar 

  • Carey JR, Liedo P, Müller H-G, Wang J-L, Chiou J-M (1999) Mortality oscillations induced by periodic starvation alter sex-mortality differentials in Mediterranean Fruit Flies. J Gerontol Biol Sci 54A:B424–B431

    Google Scholar 

  • Carey JR, Liedo P, Harshman L, Liu X, Müller H-G, Partridge L, Wang J-L (2002) Food pulses increase longevity and induce cyclical egg production in Mediterranean fruit flies. Funct Ecol 16:313–325

    Article  Google Scholar 

  • Deneke R (2000) Review of rotifers and crustaceans in highly acidic environments of pH values <3. Hydrobiologia 433:167–172

    Article  Google Scholar 

  • Finch CE, Tanzi RE (1997) Genetics of aging. Science 278:407–411

    PubMed  Article  CAS  Google Scholar 

  • Finkel T, Holbrook NJ (2000) Oxidants, oxidative stress and the biology of ageing. Nature 408:239–247

    PubMed  Article  CAS  Google Scholar 

  • Heilbronn LK, Ravussin E (2003) Calorie restriction and aging: review of the literature and implications for studies on humans. Am J Clin Nutr 78:361–369

    PubMed  CAS  Google Scholar 

  • Kamjunke N, Gaedke U, Tittel J, Weithoff G, Bell EM (2004) Strong vertical differences in the plankton composition of an extremely acidic lake. Arch Hydrobiol 161:289–306

    Article  Google Scholar 

  • Kirk KL (1997) Life-history responses to variable environments: starvation and reproduction in planktonic rotifers. Ecology 78:434–441

    Google Scholar 

  • Kirk KL (2001) Dietary restriction and aging: comparative tests of evolutionary hypotheses. J Gerontol Biol Sci 56A:B123–B129

    Google Scholar 

  • Koubova J, Guarente L (2003) How does calorie restriction work? Genes Dev 17:313–321

    PubMed  Article  CAS  Google Scholar 

  • Lee SS, Kennedy S, Tolonen AC, Ruvkun G (2003) DAF-16 target genes that control C. elegans life-span and metabolism. Science 300:644–647

    PubMed  Article  CAS  Google Scholar 

  • Mair W, Goymer P, Pletcher SD, Partridge L (2003) Demography of dietary restriction and death in Drosophila. Science 301:1731–1733

    PubMed  Article  CAS  Google Scholar 

  • Masoro EJ (1988) Minireview: food restriction in rodents: an evaluation of its role in the study of aging. J Gerontol 43:B59–B64

    PubMed  CAS  Google Scholar 

  • Masoro EJ, Audstad SN (1996) The evolution of the antiaging action of dietary restriction: a hypothesis. J Gerontol Biol Sci 51A:B387–B391

    CAS  Google Scholar 

  • Robertson JR, Salt GW (1981) Responses in growth, and reproduction to variable food levels by the rotifer, Asplanchna girodi. Ecology 62:1585–1596

    Article  Google Scholar 

  • Ricci C, Perletti F (2006) Starve and survive: stress tolerance and life history of a bdelloid rotifer. Funct Ecol 20:340–346

    Article  Google Scholar 

  • Stelzer C-P (2001) Resource limitation and reproductive effort in a planktonic rotifer. Ecology 82:2521–2533

    Article  Google Scholar 

  • Sohal RS, Weindruch R (1996) Oxidative stress, caloric restriction, and aging. Science 273:59–63

    PubMed  Article  CAS  Google Scholar 

  • Stewart AJ, Wetzel RG (1986) Cryptophytes and other microflagellates as couplers in planktonic community dynamics. Arch Hydrobiol 106:1–19

    Google Scholar 

  • Van Voorhies WA, Ward S (1996) Genetic and environmental conditions that increase longevity in Caenorhabditis elegans decrease metabolic rate. Proc Natl Acad Sci USA 96:11399–11403

    Article  Google Scholar 

  • Weithoff G, Lorke A, Walz N (2000) Effect of water column mixing on bacteria, phytoplankton and rotifers under different levels of herbivory in a shallow eutrophic lake. Oecologia 125:91–100

    Article  Google Scholar 

  • Weithoff G (2004) Vertical niche separation of two consumers (Rotatoria) in an extreme habitat. Oecologia 139:594–603

    PubMed  Article  Google Scholar 

  • Weithoff G (2005) On the ecology of the rotifer Cephalodella hoodi from an extremely acidic lake. Freshw Biol 50:1464–1473

    Article  Google Scholar 

  • Yoshinaga T, Hagiwara A, Tsukamoto K (2000) Effect of periodical starvation on the life history of Brachionus plicatilis O.F. Müller (Rotifera): a possible strategy for population stability. J Exp Mar Biol Ecol 253:253–260

    PubMed  Article  Google Scholar 

  • Yoshinaga T, Hagiwara A, Tsukamoto K (2003) Life history response and age-specific tolerance to starvation in Brachionus plicatilis O.F. Müller (Rotifera). J Exp Mar Biol Ecol 287:261–271

    Article  Google Scholar 

Download references

Acknowledgements

I wish to thank Ch. Schirmer for excellent assistance in the laboratory. The manuscript benefitted from helpful comments from the two reviewers as well as N. Kamjunke and E. Bell, who also corrected the English.

Author information

Affiliations

Authors

Corresponding author

Correspondence to Guntram Weithoff.

Additional information

Communicated by Roland Brandl.

Rights and permissions

Reprints and Permissions

About this article

Cite this article

Weithoff, G. Dietary restriction in two rotifer species: the effect of the length of food deprivation on life span and reproduction. Oecologia 153, 303–308 (2007). https://doi.org/10.1007/s00442-007-0739-6

Download citation

  • Received:

  • Accepted:

  • Published:

  • Issue Date:

  • DOI: https://doi.org/10.1007/s00442-007-0739-6

Keywords

  • Caloric restriction
  • Environmental variability
  • Food limitation
  • Life history
  • Zooplankton