Skip to main content

Divergent nonlinear responses of the boreal forest field layer along an experimental gradient of deer densities

Abstract

The early responses of the field layer to changes in biotic and abiotic conditions are key determinants of the future composition and structure of forests where sustained heavy browsing pressure has depauperated the shrub understory. We investigated the relationships between white-tailed deer density and field layer plant community dynamics in boreal forests managed for wildlife and timber production. We hypothesized that the growth and reproduction of field layer plants are either: (H1) directly proportional to deer density, or (H2) related to deer density through nonlinear relationships or (H3) through nonlinear relationships with thresholds. We tested these hypotheses using data from a controlled browsing experiment involving a gradient of deer densities (0, 7.5, 15, 27 and 56 deer km−2) in interaction with timber harvesting conducted on Anticosti Island, Canada. In recent clearcuts, the dominant responses of the field layer plants were exponential recovery in growth and reproduction with decreasing deer densities. The abundance of browse-tolerant species such as grasses was positively related to deer density, suggesting an apparent competitive gain. These results support the prediction from our second hypothesis, although the presence of ecological thresholds should not be ruled out. Rapid changes in the early successional stages have potentially long-term consequences on successional patterns through processes such as the modulation of germination and early establishment success of seedlings from later successional species. Quantitative data as those presented here are essential for the development of ecosystem management prescriptions. On Anticosti Island, reduction of local deer densities to levels <15–7.5 deer km−2 in the first 3 years following timber harvesting appears to be compatible with the regeneration dynamics of this system although lower levels of deer densities may be required for the conservation of browse-sensitive plant species.

This is a preview of subscription content, access via your institution.

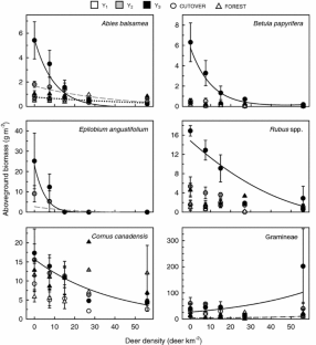
Fig. 1
Fig. 2
Fig. 3

References

  • Augustine DJ, Frelich LE (1998) Effects of white-tailed deer on populations of an understory forb in fragmented deciduous forests. Conserv Biol 12:995–1004

    Article  Google Scholar 

  • Augustine DJ, McNaughton SJ (1998) Ungulate effects on the functional species composition of plant communities: herbivores selectivity and plant tolerance. J Wildl Manage 62:1165–1183

    Google Scholar 

  • Augustine DJ, Frelich LE, Jordan PA (1998) Evidence for two alternate stable states in an ungulate grazing system. Ecol Appl 8:1260–1269

    Google Scholar 

  • Bergström R, Edenius L (2003) From twigs to landscapes—methods for studying ecological effects of forest ungulates. J Nat Conserv 10:203–211

    Article  Google Scholar 

  • Buckland ST, Anderson DR, Burnham KP, Laake JL, Borchers DL, Thomas L (2001) Introduction to distance sampling: estimating abundance of biological populations. Oxford University Press, New York

    Google Scholar 

  • Cingolani AM, Noy-Meir I, Dìaz S (2005) Grazing effects on rangeland diversity: a synthesis of contemporary models. Ecol Appl 15:757–773

    Google Scholar 

  • Cochran WG (1977) Sampling techniques, 3rd edn. Wiley, New York

    Google Scholar 

  • Connell JH, Slatyer RO (1977) Mechanism of succession in natural communities and their role on community stability and organization. Am Nat 111:1119–1144

    Article  Google Scholar 

  • Cooke AS, Farrell L (2001) Impact of muntjac deer (Muntiacus reevesi) at Monks Wood National Nature Reserve, Cambridgeshire, eastern England. Forestry 74:241–250

    Article  Google Scholar 

  • Côté SD, Rooney TP, Tremblay J-P, Dussault C, Waller DM (2004) Ecological impacts of deer overabundance. Annu Rev Ecol Evol Syst 35:113–147

    Article  Google Scholar 

  • Crête M, Ouellet J-P, Lesage L (2001) Comparative effects on plants of caribou/reindeer, moose and white-tailed deer herbivory. Arctic 54:407–417

    Google Scholar 

  • Danell K, Bergstrom R, Duncan P, Pastor J (eds) (2006) Large herbivore ecology, ecosystem dynamics and conservation. Cambridge University Press, Cambridge

  • De Leo GS, Levin S (1997) The multifaceted aspects of ecosystem integrity. Conserv Ecol 1 (http://www.ecologyandsociety.org/vol1/iss1/art3/). Cited 15 February 2006

  • deCalesta DS, Stout SL (1997) Relative deer density and sustainability: a conceptual framework for integrating deer management with ecosystem management. Wildl Soc Bull 25:252–258

    Google Scholar 

  • Duan N (1983) Smearing estimate: a nonparametric retransformation method. J Am Stat Assoc 78:605–610

    Article  Google Scholar 

  • Environment Canada (2005) Climate data online. Environment Canada, Ottawa, Ont., Canada. http://www.climate.weatheroffice.ec.gc.ca/climateData/canada_e.html. Cited 10 Mar 2005

  • Fukami T, Bezemer TM, Mortimer SR, van der Putten WH (2005) Species divergence and trait convergence in experimental plant community assembly. Ecol Lett 8:1283–1290

    Article  Google Scholar 

  • Healy WM, deCalesta DS, Stout SL (1997) A research perspective on white-tailed deer overabundance in the northeastern United States. Wildl Soc Bull 25:259–263

    CAS  Google Scholar 

  • Hester AJ, Edenius L, Buttenschon RM, Kuiters AT (2000) Interactions between forests and herbivores: the role of controlled grazing experiments. Forestry 73:381–391

    Article  Google Scholar 

  • Hobbs NT (1996) Modification of ecosystems by ungulates. J Wildl Manage 60:695–713

    Google Scholar 

  • Hobbs NT, Baker DL, Bear GD, Bowden DC (1996) Ungulate grazing in sagebrush grassland: mechanisms of resource competition. Ecol Appl 6:200–217

    Google Scholar 

  • Horsley SB, Marquis DA (1983) Interference by weeds and deer with Allegheny hardwood reproduction. Can J For Res 13:61–69

    Google Scholar 

  • Horsley SB, Stout SL, deCalesta DS (2003) White-tailed deer impact on the vegetation dynamics of a northern hardwood forest. Ecol Appl 13:98–118

    Google Scholar 

  • Humphrey J, Gill RMA, Claridge J (eds) (1998) Grazing as a management tool in European forest ecosystems. Forestry Commission, Edinburgh

  • Kirby KJ (2004) A model of a natural wooded landscape in Britain as influenced by large herbivore activity. Forestry 77:405–420

    Article  Google Scholar 

  • Lieffers VJ, Macdonald SE (1993) Ecology of and control strategies for Calamagrostis canadensis in boreal forest sites. Can J For Res 23:2070–2077

    Google Scholar 

  • Littell RC, Milliken GA, Stroup WW, Wolfinger RD (2002) SAS system for mixed models. SAS Institute, Cary, N.C.

    Google Scholar 

  • May RM (1977) Thresholds and breakpoints in ecosystems with a multiplicity of stable states. Nature 269:471–477

    Article  Google Scholar 

  • Mayer AL, Rietkerk M (2004) The dynamic regime concept for ecosystem management and restoration. Bioscience 54:1011–1020

    Article  Google Scholar 

  • Nugent G, Fraser W, Sweetapple P (2001) Top down or bottom up? Comparing the impacts of introduced arboreal possums and terrestrial ruminants on native forests in New Zealand. Biol Conserv 99:65–79

    Article  Google Scholar 

  • Palmer SCF, Truscott A-M (2003) Browsing by deer on naturally regenerating Scots pine (Pinus sylvestris L.) and its effects on sapling growth. For Ecol Manage 182:31–47

    Article  Google Scholar 

  • Parks Canada Agency (2000) Unimpaired for future generations? Protecting ecological integrity with Canada’s national parks. Setting a new direction for Canada’s national parks, vol II. Report of the panel on the ecological integrity of Canada’s national parks, Ottawa, Ont., Canada. (http://epe.lac-bac.gc.ca/100/200/301/parkscanada/report_of_the_panel-e/report/report.htm). Cited 15 February 2006

  • Pastor J, Dewey B, Naiman RJ, McInnes PF, Cohen Y (1993) Moose browsing and soil fertility in the boreal forests of Isle Royale National Park. Ecology 74:467–480

    Article  Google Scholar 

  • Persson I, Danell K, Bergström R (2005) Different moose densities and accompanied changes in tree morphology and browse production. Ecol Appl 15:1296–1305

    Google Scholar 

  • Pimlott DH (1963) Influence of deer and moose on boreal forest vegetation in two areas of Eastern Canada. In: Proc Transactions 6th Cong Int Union Game Biol. The Nature Conservancy, Bournemouth, pp 105–116

  • Potvin F, Breton L (2005) Testing two aerial survey techniques on deer in fenced enclosures: visual double-counts and thermal infrared sensing. Wildl Soc Bull 33:317–325

    Article  Google Scholar 

  • Potvin F, Beaupré P, Laprise G (2003) The eradication of balsam fir stands by white-tailed deer on Anticosti island, Québec: a 150 year process. Écoscience 10:487–495

    Google Scholar 

  • Quinn GP, Keough MJ (2002) Experimental design and data analysis for biologists. Cambridge University Press, Cambridge, UK

    Google Scholar 

  • Rooney TP, Waller DM (2003) Direct and indirect effects of white-tailed deer in forest ecosystems. For Ecol Manage 181:165–176

    Article  Google Scholar 

  • Rooney TP, McCormick RJ, Solheim SL, Waller DM (2000) Regional variation in recruitment of hemlock seedlings and saplings in the upper great lakes, USA. Ecol Appl 10:1119–1132

    Google Scholar 

  • Rooney TP, Wiegmann SM, Rogers DA, Waller DM (2004) Biotic impoverishment and homogenization in unfragmented forest understory communities. Conserv Biol 18:787–798

    Article  Google Scholar 

  • SAS Institute (2003) The SAS system for Windows V. 9.1. SAS Institute, Cary, N.C.

    Google Scholar 

  • Saucier J-P, Grondin P, Robitaille A, Bergeron J-F (2003) Vegetation zones and bioclimatic domains in Québec. Ministère des Ressources naturelles et de la Faune, Qué., Canada. (http://www.mrnfp.gouv.qc.ca/english/publications/forest/publications/zone-a.pdf). Cited 15 February 2006

  • Scheffer M, Carpenter SR, Foley JA, Folke C, Walker B (2001) Catastrophic shift in ecosystems. Nature 413:591–596

    PubMed  CAS  Article  Google Scholar 

  • Schmitz OJ, Sinclair RE (1997) Rethinking the role of deer in forest ecosystem dynamics. In: McShea WJ, Underwood HB, Rappole JH (eds) The science of overabundance: deer ecology and population management. Smithsonian Institution Press, Washington D.C., pp 201–223

    Google Scholar 

  • Seagle S (2003) Can ungulates foraging in a multiple-use landscape alter forest nitrogen budgets? Oikos 103:230–234

    CAS  Article  Google Scholar 

  • Shrout PE, Fleiss JL (1979) Intraclass correlations: uses in assessing rater reliability. Psychol Bull 86:420–428

    Article  Google Scholar 

  • Suding KN, Gross KL, Houseman GR (2004) Alternative states and positive feedbacks in restoration ecology. Trends Ecol Evol 19:46–53

    PubMed  Article  Google Scholar 

  • Sweettapple PJ, Nugent G (2004) Seedling ratios: a simple method for assessing ungulate impacts on forest understories. Wildl Soc Bull 32:137–147

    Article  Google Scholar 

  • Thomas L, Laake JL, Strindberg S., Marques FFC et al. (2002) Distance 4.0. V. Release 1. Research Unit for Wildlife Population Assessment, University of St. Andrews, UK

  • Thompson ID, Larson DJ, Montevecchi WA (2003) Characterization of old wet boreal forests, with an example from balsam fir forests of western Newfoundland. Environ Res 11:23–46

    Article  Google Scholar 

  • Tilghman NG (1989) Impacts of white-tailed deer on forest regeneration in northwestern Pennsylvania. J Wildl Manage 53:524–532

    Google Scholar 

  • Tremblay J-P (2005) Relations entre les perturbations induites par les cervidés et la dynamique de régénération des écosystèmes forestiers boréaux. PhD thesis, Département de Biologie, Université Laval, Quebec City

  • Tremblay J-P, Thibault I, Dussault C, Huot J, Côté S (2005) Long-term decline in white-tailed deer browse supply: can lichens and litterfall act as alternate food sources that preclude density-dependent feedbacks? Can J Zool 83:1087–1096

    Article  Google Scholar 

  • Walker BH, Holling CS, Carpenter SR, Kinzig A (2004) Resilience, adaptability and transformability in social-ecological systems. Ecol Soc 9: (http://www.ecologyandsociety.org/vol9/iss2/art5). Cited 15 February 2006

  • Weisberg PJ, Bonavia F, Bugmann H (2005) Modeling the interacting effects of browsing and shading on mountain forest tree regeneration (Picea abies). Ecol Model 185:213–230

    Article  Google Scholar 

  • Westoby M, Walker B, Noy-Meir I (1989) Opportunistic management for rangeland not at equilibrium. J Range Manage 42:266–274

    Google Scholar 

  • Wisdom MJ, Vavra M, Boyd JM, Hemstrom MA, Ager AA, Johnson BK (2006) Understanding ungulate herbivory–episodic disturbance effects on vegetation dynamics: knowledge gaps and management needs. Wildl Soc B 34:283--292

    Article  Google Scholar 

  • Yaffee SL (1999) Three faces of ecosystem management. Conserv Biol 13:713–725

    Article  Google Scholar 

  • Zasada JC, Sharik TL, Nygren M (1992) The reproductive process in boreal forest trees. In: Shugart HH, Leemans R, Bonan GB (eds) A systems analysis of the global boreal forest. Cambridge University Press, Cambridge

    Google Scholar 

Download references

Acknowledgments

This research was supported by an Industrial Research Chair grant to J.H. and supported by the Natural Sciences and Engineering Research Council of Canada (NSERC), Produits forestiers Anticosti Inc. (PFA), Université Laval, Centre d’études nordiques, and Ministère des Ressources naturelles et de la Faune du Québec. J.P.T. received scholarships from NSERC and the Fonds québécois de la recherche sur la nature et les technologies during this study. The Société des établissements de plein air du Québec, Pourvoirie du Lac Geneviève and Comité de gestion de la chasse sur le territoire des résidents de l’Île d’Anticosti provided logistical support. Many members and staff of the NSERC-PFA Industrial Research Chair contributed to field work. G. Daigle from the Service de Consultation Statistique at U. Laval helped with the analyses. We are grateful to Steeve Côté, Karen Harper, Alison Hester, John Pastor, Nathalie Pettorelli and Robert Weladji for their comments on previous versions of the manuscript. The experiments reported in this paper comply with the current laws and regulations in Quebec, Canada.

Author information

Affiliations

Authors

Corresponding author

Correspondence to Jean-Pierre Tremblay.

Additional information

Communicated by Oswald Schmitz

Electronic supplementary material

Rights and permissions

Reprints and Permissions

About this article

Cite this article

Tremblay, JP., Huot, J. & Potvin, F. Divergent nonlinear responses of the boreal forest field layer along an experimental gradient of deer densities. Oecologia 150, 78–88 (2006). https://doi.org/10.1007/s00442-006-0504-2

Download citation

  • Received:

  • Accepted:

  • Published:

  • Issue Date:

  • DOI: https://doi.org/10.1007/s00442-006-0504-2

Keywords

  • Boreal forest
  • Grazing
  • Odocoileus virginianus
  • Plant-herbivore interactions
  • Succession