Skip to main content

The impact of larval predators and competitors on the morphology and fitness of juvenile treefrogs

Abstract

Studies of phenotypic plasticity typically focus on traits in single ontogenetic stages. However, plastic responses can be induced in multiple ontogenetic stages and traits induced early in ontogeny may have lasting effects. We examined how gray treefrog larvae altered their morphology in four different larval environments and whether different larval environments affected the survival, growth, development, and morphology of juvenile frogs at metamorphosis. We then reared these juveniles in terrestrial environments under high and low intraspecific competition to determine whether the initial differences in traits at metamorphosis affected subsequent survival and growth, whether the initial phenotypic differences converged over time, and whether competition in the terrestrial environment induced further phenotypic changes. Larval and juvenile environments both affected treefrog traits. Larval predators induced relatively deep tail fins and short bodies, but there was no impact on larval development. In contrast, larval competitors induced relatively short tails and long bodies, reduced larval growth, and slowed larval development. At metamorphosis, larval predators had no effect on juvenile growth or relative morphology while larval competitors produced juveniles that were smaller and possessed relatively shorter limbs and shorter bodies. After 1 month of terrestrial competition among the juvenile frogs, the initial differences in juvenile morphology did not converge. There were no differences in growth due to larval treatment but there were differences in survival. Individuals that experienced low competition as tadpoles experienced near perfect survival as juvenile frogs but individuals that experienced high competition as tadpoles suffered an 18% decrease in survival as juvenile frogs. There were also morphological responses to juvenile competition, but these changes appear to be due, at least in part, to allometric effects. Collectively, these results demonstrate that larval environments can have profound impacts on the traits and fitness of organisms later in ontogeny.

This is a preview of subscription content, access via your institution.

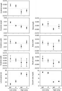
Fig. 1.
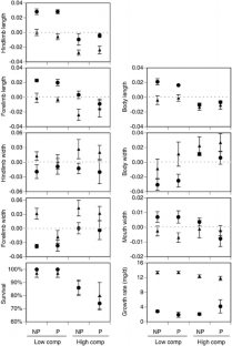
Fig. 2.
Fig. 3.

References

  • Adolph E (1931) The size of the body and the size of the environment in the growth of tadpoles. Biol Bull (Woods Hole Mass) 61:350–375

    Google Scholar 

  • Arendt JD (1997) Adaptive intrinsic growth rates: an integration across taxa. Q Rev Biol 72:149–177

    Google Scholar 

  • Berven KA (1982) The genetic basis of altitudinal variation in the wood frog Rana sylvatica. I. An experimental analysis of life history traits. Evolution 39:962–983

    Google Scholar 

  • Berven KA (1990) Factors affecting population fluctuations in larval and adult stages of the wood frog (Rana sylvatica). Ecology 71:1599–1608

    Google Scholar 

  • Berven KA, Gill DE (1983) Interpreting geographic variation in life-history traits. Am Zool 23:85–97

    Google Scholar 

  • Blouin MS, Loeb MLG (1991) Effects of environmentally induced developmental-rate on head and limb morphology in the green tree frog, Hyla cinerea. Am Nat 138:717–728

    Article  Google Scholar 

  • Bradshaw AD (1965) Evolutionary significance of phenotypic plasticity in plants. Adv Genet 13:115–155

    Google Scholar 

  • Collins NC (1980) Developmental responses to food limitation as indicators of environmental conditions for Ephydra cinerea Jones (Diptera). Ecology 61:650–661

    Google Scholar 

  • Connell JH (1983) On the prevalence and relative importance on interspecific competition: evidence from field experiments. Am Nat 122:661–696

    Article  Google Scholar 

  • Cook SA, Johnson MP (1968) Adaptation to heterogeneous environments. I. Variation in heterophylly in Ranunculus flammula L. Evolution 22:496–516

    Google Scholar 

  • Crill WD, Huey RB, Gilchrist GW (1996) Within- and between-generation effects of temperature on the morphology and physiology of Drosophila melanogaster. Evolution 50:1205–1218

    Google Scholar 

  • Davies NB, Halliday TR (1977) Optimal mate selection in the toad Bufo bufo. Nature 269:56–58

    Google Scholar 

  • Emerson SB (1978) Allometry and jumping in frogs: helping the twain to meet. Evolution 32:551–564

    Google Scholar 

  • Emerson SB (1986) Heterochrony and frogs: the relationship of a life history trait to morphological form. Am Nat 127:167–183

    Article  Google Scholar 

  • Emerson SB, Travis J, Blouin M (1988) Evaluating a hypothesis about heterochrony: larval life-history traits and juvenile hind-limb morphology in Hyla crucifer. Evolution 42:68–78

    Google Scholar 

  • Ernst CD, Crenshaw PD, Atchley WR (1999) Effects of selection for developmental rate on reproductive onset in female mice. Genet Res 74:55–64

    Article  CAS  PubMed  Google Scholar 

  • Goater CP (1994) Growth and survival of postmetamorphic toads: interactions among larval history, density, and parasitism. Ecology 75:2264–2274

    Google Scholar 

  • Gomulkiewicz R, Kirkpatrick M (1992) Quantitative genetics and the evolution of reaction norms. Evolution 46:390–411

    Google Scholar 

  • Gosner KL (1960) A simplified table for staging anuran embryos and larvae with notes in identification. Herpetologica 16:183–190

    Google Scholar 

  • Harvell CD (1990) The ecology and evolution of inducible defenses. Q Rev Biol 65:323–340

    CAS  PubMed  Google Scholar 

  • Havel JE (1987) Predator-induced defenses: a review. In: Kerfoot WC, Sih A (eds) Predation: direct and indirect impacts on aquatic communities. University Press of New England, Hanover, N.H., pp 263–278

    Google Scholar 

  • Haywood S, Perrins C (1992) Is clutch size in birds affected by environmental conditions during growth? Proc R Soc Lond Ser B Biol Sci 249:195–197

    CAS  Google Scholar 

  • Karban R, Myers JH (1989) Induced plant responses to herbivory. Annu Rev Ecol Syst 20:331–348

    Article  Google Scholar 

  • Kats LB, Dill LM (1998) The scent of death: chemosensory assessment of predation risk by prey animals. Ecoscience 5:361–394

    Google Scholar 

  • Lawler SP (1989) Behavioral responses to predators and predation risk in four species of larval anurans. Anim Behav 38:1039–1047

    Google Scholar 

  • Lima SL, Dill LM (1990) Behavior decisions made under the risk of predation: a review and prospectus. Can J Zool 68:619–640

    Google Scholar 

  • McCollum SA, Van Buskirk J (1996) Costs and benefits of a predator-induced polyphenism in the gray tree frog Hyla chrysocelis. Evolution 50:583–593

    Google Scholar 

  • Merilä J, Svensson E (1997) Are fat reserves in migratory birds affected by condition in early life? J Avian Biol 28:279–286

    Google Scholar 

  • Milbrath LR, Tauber MJ, Tauber CA (1993) Prey specificity in Chysopa: An interspecific comparison of larval feeding and defensive behavior. Ecology 74:1384–1393

    Google Scholar 

  • Moed GH de, de Jong G, Scharloo W (1997) The phenotypic plasticity of wing size in Drosophila melanogaster: the cellular basis of its genetic variation. Heredity 79:260–267

    Article  PubMed  Google Scholar 

  • Moran NA (1992) The evolutionary maintenance of alternative phenotypes. Am Nat 139:971–989

    Article  Google Scholar 

  • Morey S, Reznick D (2001) Effects of larval density on postmetamorphic spadefoot toads (Spea hammondii). Ecology 82:510–522

    Google Scholar 

  • Myers JH, Bazely D (1991) Thorns, spines, prickles and hairs: are they stimulated by herbivory and do they deter herbivores? In: Tallamy DW, Raupp MT (eds) Phytochemical induction by herbivores. Wiley, New York, pp 325–344

  • Newman RA (1988) Adaptive plasticity in development of Scaphiopus couchii tadpoles in desert ponds. Evolution 42:774–783

    Google Scholar 

  • Packard GC, Boardman TJ (1988) The misuse of ratios, indices, and percentages in ecophysiological research. Physiol Zool 61:1–9

    Google Scholar 

  • Peacor SD, Werner EE (1997) Trait-mediated indirect interactions in a simple aquatic food web. Ecology 78:1146–1156

    Google Scholar 

  • Pechenik JA, Cerulli TR (1991) Influence of delayed metamorphosis on survival, growth, and reproduction of the marine polychaete Capitella sp. I. J Exp Mar Biol Ecol 151:17–27

    Google Scholar 

  • Pechenik JA, Rittschof D, Schmidt AR (1993) Influence of delayed metamorphosis on survival and growth of juvenile barnacles Balanus amphitrite. Mar Biol 115:287–294

    Google Scholar 

  • Pechenik JA, Estrella MS, Hammer K (1996a) Food limitation stimulates metamorphosis of competent larvae and alters postmetamorphic growth rate in the marine prosobranch gastropod Crepidula fornicata. Mar Biol 127:267–275

    Google Scholar 

  • Pechenik JA, Hammer K, Weise C (1996b) The effect of starvation on acquisition of competence and post-metamorphic performance in the marine prosobranch gastropod Crepidula fornicata (L.). J Exp Mar Biol Ecol 199:137–152

    Article  Google Scholar 

  • Pechenik JA, Wendt DE, Jarrett JN (1998) Metamorphosis is not a new beginning. BioScience 48:901–910

    Google Scholar 

  • Pfennig DW (1992a) Polyphenism in spadefoot toad tadpoles as a locally adjusted evolutionary stable strategy. Evolution 46:1408–1420

    Google Scholar 

  • Pfennig DW (1992b) Proximate and functional causes of polyphenism in an anuran tadpole. Funct Ecol 6:167–174

    Google Scholar 

  • Pfennig DW, Mabry A, Orange D (1991) Environmental causes of correlations between age and size at metamorphosis in Scaphiopus multiplicatus. Ecology 72:2240–2248

    Google Scholar 

  • Ravelli G-P, Stein ZA, Susser MW (1976) Obesity in young men after famine exposure in utero and early infancy. N Engl J Med 295:349–353

    CAS  PubMed  Google Scholar 

  • Reilly SM, Wiley EO, Meinhardt DJ (1997) An integrative approach to heterochrony: the distinction between interspecific and intraspecific phenomena. Biol J Linn Soc 60:119–143

    Article  Google Scholar 

  • Relyea RA (2000) Trait-mediated effects in larval anurans: reversing competitive outcomes with the threat of predation. Ecology 81:2278–2289

    Google Scholar 

  • Relyea RA (2001a) The lasting effects of adaptive plasticity: predator-induced tadpoles become long-legged frogs. Ecology 82:1947–1955

    Google Scholar 

  • Relyea RA (2001b) Morphological and behavioral plasticity of larval anurans in response to different predators. Ecology 82:523–540

    Google Scholar 

  • Relyea RA (2001c) The relationship between predation risk and antipredator responses in larval anurans. Ecology 82:541–554

    Google Scholar 

  • Relyea RA (2002a) Competitor-induced plasticity in tadpoles: consequences, cues, and connections to predator-induced plasticity. Ecol Monogr 72:523–540

    Google Scholar 

  • Relyea RA (2002b) Costs of carrying phenotypic plasticity. Am Nat 159:272–282

    Article  Google Scholar 

  • Relyea RA (2002c) Local population differences in phenotypic plasticity: predator-induced changes in wood frog tadpoles. Ecol Monogr 72:77–93

    Google Scholar 

  • Relyea RA (2002d) The many faces of predation: how selection, induction, and thinning combine to alter prey phenotypes. Ecology 83:1953–1964

    Google Scholar 

  • Relyea RA, Werner EE (2000) Morphological plasticity of four larval anurans distributed along an environmental gradient. Copeia 2000:178–190

    Google Scholar 

  • Rice DC (1996a) Behavioral effects of lead: commonalities between experimental and epidemiological data. Environ Health Perspect 104 (Suppl 2):337–351

    CAS  PubMed  Google Scholar 

  • Rice DC (1996b) Evidence for delayed neurotoxicity produced by methylmercury. Neurotoxicology 17:583–596

    CAS  PubMed  Google Scholar 

  • Roff DA (1992) The evolution of life histories. Chapman and Hall, New York

  • Schlichting CD, Pigliucci M (1998) Phenotypic evolution: a reaction norm perspective. Sinauer, Sunderland, Mass.

    Google Scholar 

  • Schoener TW (1983) Field experiments on interspecific competition. Am Nat 122:240–285

    Article  Google Scholar 

  • Semlitsch RD, Scott DC, Pechmann JHK (1988) Time and size at metamorphosis related to adult fitness in Ambystoma talpoideum. Ecology 69:184–192

    Google Scholar 

  • Sih A (1987) Predator and prey lifestyles: an evolutionary and ecological overview. In: Kerfoot WC, Sih A (eds) Predation: direct and indirect impacts on aquatic communities. University Press of New England, Hanover, N.H., pp 203–224

    Google Scholar 

  • Smith DC (1983) Factors controlling tadpole populations of the chorus frog (Pseudacris triseriata) on Isle Royale, Michigan. Ecology 64:501–510

    Google Scholar 

  • Smith DC (1987) Adult recruitment in chorus frogs: effects of size and date of metamorphosis. Ecology 68:344–350

    Google Scholar 

  • Smith DC, Van Buskirk J (1995) Phenotypic design, plasticity, and ecological performance in two tadpole species. Am Nat 145:211–233

    Article  Google Scholar 

  • Smith-Gill SJ, Berven KA (1979) Predicting amphibian metamorphosis. Am Nat 113:563–585

    Article  Google Scholar 

  • Sokol A (1984) Plasticity in the fine timing of metamorphosis in tadpoles of the hylid frog, Litora ewingi. Copeia 1984:868–873

    Google Scholar 

  • Stearns SC (1992) The evolution of life histories. Oxford University Press, New York

  • Stokely PS, Berberian JF (1953) On the jumping ability of frogs. Copeia 1953:187

    Google Scholar 

  • Taylor MFT (1988) Field experiments of the dependence of life history on plant nitrogen and temperature for a herbivorous moth. J Anim Ecol 57:873–891

    Google Scholar 

  • Tollrian R (1995) Predator-induced morphological defenses: costs, life history shifts, and maternal effects in Daphnia pulex. Ecology 76:1691–1705

    Google Scholar 

  • Tollrian R, Harvell D (1999) The ecology and evolution of inducible defenses. Princeton University Press, Princeton, N.J.

  • Van Buskirk J, Relyea RA (1998) Selection for phenotypic plasticity in Rana sylvatica tadpoles. Biol J Linn Soc 65:301–328

    Article  Google Scholar 

  • Van Buskirk J, Saxer G (2001) Delayed costs of an induced defense in tadpoles? Morphology, hopping, and developmental rate at metamorphosis. Evolution 55:821–829

    PubMed  Google Scholar 

  • Van Buskirk J, McCollum SA, Werner EE (1997) Natural selection for environmentally-induced phenotypes in tadpoles. Evolution 51:1983–1992

    Google Scholar 

  • Via S (1987) Genetic constraints on the evolution of phenotypic plasticity. In: Loeschke V (ed) Genetic constraints on adaptive evolution. Springer, Berlin Heidelberg New York, pp. 47–71

  • Via S, Lande R (1985) Genotype-environment interaction and the evolution of phenotypic plasticity. Evolution 39:502–522

    Google Scholar 

  • Via S, Lande R (1987) Evolution of genetic variability in a spatially heterogeneous environment: effects of genotype-environment interaction. Genet Res 49:147–156

    CAS  PubMed  Google Scholar 

  • Werner EE, Anholt BR (1996) Predator-induced behavioral indirect effects: consequences to competition interaction in anuran larvae. Ecology 77:157–169

    Google Scholar 

  • Wilbur HM (1977) Density-dependent aspects of growth and metamorphosis in Bufo americanus. Ecology 58:196–200

    Google Scholar 

  • Woollacott RM, Pechenik JA, Imbalzano KM (1989) Effects of duration of larval swimming period on early colony development in Bulgula stolonifera (Bryozoa: Cheilostomata). Mar Biol 102:57–63

    Google Scholar 

  • Zug GR (1972) Anuran locomotion: structure and function. I. Preliminary observations on relation between jumping and osteometrics of appendicular and postaxial skeleton. Copeia 1972:613–624

    Google Scholar 

Download references

Acknowledgements

We thank Christine Glaude for assistance with the experiments, Hillary Metz for care of the frogs, and Raymond Semlitsch for the use of field and laboratory facilities. Rachel Collins and Kerry Yurewicz provided valuable reviews of the manuscript. This work was supported by NSF grant 99–03761.

Author information

Affiliations

Authors

Corresponding author

Correspondence to Rick A. Relyea.

Rights and permissions

Reprints and Permissions

About this article

Cite this article

Relyea, R.A., Hoverman, J.T. The impact of larval predators and competitors on the morphology and fitness of juvenile treefrogs. Oecologia 134, 596–604 (2003). https://doi.org/10.1007/s00442-002-1161-8

Download citation

  • Received:

  • Accepted:

  • Published:

  • Issue Date:

  • DOI: https://doi.org/10.1007/s00442-002-1161-8

Keywords

  • Anurans
  • Hyla versicolor
  • Predator-induced plasticity
  • Competitor-induced plasticity
  • Ontogeny