Skip to main content

Genome-wide analysis of the family 1 glycosyltransferases in cotton

Abstract

Family 1 GT, designated as UGT, is the largest and most functionally important multigene family in the plant kingdom. In this study, we carried out a genome-wide identification, analysis, and comparison of 142, 146, and 196 putative UGTs from Gossypium raimondii, Gossypium arboreum, and Gossypium hirsutum, respectively. All members present the 44 amino-acid conserved consensus sequence termed the plant secondary product glycosyltransferase motif. According to the phylogenetic relationship among the cotton UGT proteins and those from other species, GrUGTs and GaUGTs could be classified into 16 major phylogenetic groups (A–P), whereas GhUGTs are classified into 15 major phylogenetic groups with a lack of group C. All cotton UGTs are dispersed throughout the chromosomes and are displayed in clusters with the same open reading frame orientation. The expansion of them appears to result from genome duplication and rearrangement. Two conserved introns, A and B, are detected in most of the intron-containing-UGTs in G. raimondii and G. arboreum, whereas only intron A is detected in the intron-containing-UGTs in G. hirsutum. Furthermore, expression patterns of the UGT genes in G. hirsutum wild type and its near isogenic fuzzless–lintless mutant at the stage of fiber initiation were analyzed using the RNA-seq data. Overall, this study not only deepens our understanding of the structure, phylogeny, evolution, and expression of cotton UGT genes, but also provides a solid foundation for further cloning and functional studies of the UGT family genes.

This is a preview of subscription content, access via your institution.

Fig. 1
Fig. 2
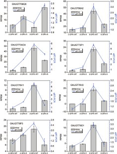
Fig. 3
Fig. 4
Fig. 5
Fig. 6
Fig. 7
Fig. 8

References

  • Achnine L, Huhman DV, Farag MA, Sumner LW, Blount JW, Dixon RA (2005) Genomics-based selection and functional characterization of glycosyltransferases from the model legume Medicago truncatula. Plant J 41(6):875–887

    CAS  Article  PubMed  Google Scholar 

  • Barvkar VT, Pardeshi VC, Kale SM, Kadoo NY, Gupta VS (2012) Phylogenomic analysis of UDP glycosyltransferase 1 multigene family in Linum usitatissimum identified genes with varied expression patterns. BMC Genom 13:175

    CAS  Article  Google Scholar 

  • Bowles D (2002) A multigene family of glycosyltransferases in a model plant, Arabidopsis thaliana. Biochem Soc Trans 30(2):301–306

    CAS  Article  PubMed  Google Scholar 

  • Bowles D, Isayenkova J, Lim E-K, Poppenberger B (2005) Glycosyltransferases: managers of small molecules. Curr Opin Plant Biol 8(3):254–263

    CAS  Article  PubMed  Google Scholar 

  • Caputi L, Malnoy M, Goremykin V, Nikiforova S, Martens S (2012) A genome-wide phylogenetic reconstruction of family 1 UDP-glycosyltransferases revealed the expansion of the family during the adaptation of plants to life on land. Plant J 69(6):1030–1042

    CAS  Article  PubMed  Google Scholar 

  • Cartwright AM, Lim EK, Kleanthous C, Bowles DJ (2008) A kinetic analysis of regiospecific glucosylation by two glycosyltransferases of Arabidopsis thaliana: domain swapping to introduce new activities. J Biol Chem 283(23):15724–15731

    CAS  Article  PubMed Central  PubMed  Google Scholar 

  • Coutinho PM, Deleury E, Davies GJ, Henrissat B (2003) An evolving hierarchical family classification for glycosyltransferases. J Mol Biol 328(2):307–317

    CAS  Article  PubMed  Google Scholar 

  • Dixon RA, Steele CL (1999) Flavonoids and isoflavonoids—a gold mine for metabolic engineering. Trends Plant Sci 4(10):394–400

    Article  PubMed  Google Scholar 

  • Gachon CM, Langlois-Meurinne M, Saindrenan P (2005) Plant secondary metabolism glycosyltransferases: the emerging functional analysis. Trends Plant Sci 10(11):542–549

    CAS  Article  PubMed  Google Scholar 

  • Gilbert MK, Bland JM, Shockey JM, Cao H, Hinchliffe DJ, Fang DD, Naoumkina M (2013) A transcript profiling approach reveals an abscisic acid-specific glycosyltransferase (UGT73C14) induced in developing fiber of Ligon lintless-2 mutant of cotton (Gossypium hirsutum L.). PLoS One 8(9):e75268

    CAS  Article  PubMed Central  PubMed  Google Scholar 

  • Glémin S, Clément Y, David J, Ressayre A (2014) GC content evolution in coding regions of angiosperm genomes: a unifying hypothesis. Trends Genet 30(7):263–270

    Article  PubMed  Google Scholar 

  • Holub EB (2001) The arms race is ancient history in Arabidopsis, the wildflower. Nat Rev Genet 2(7):516–527

    CAS  Article  PubMed  Google Scholar 

  • Hughes J, Hughes MA (1994) Multiple secondary plant product UDP-glucose glucosyltransferase genes expressed in cassava (Manihot esculenta Crantz) cotyledons. DNA Seq 5(1):41–49

    CAS  PubMed  Google Scholar 

  • Kohel R (1973) Genetic nomenclature in cotton. J Hered 64(5):291–295

    Google Scholar 

  • Krzywinski M, Schein J, Birol I, Connors J, Gascoyne R, Horsman D, Jones SJ, Marra MA (2009) Circos: an information aesthetic for comparative genomics. Genome Res 19(9):1639–1645

    CAS  Article  PubMed Central  PubMed  Google Scholar 

  • Lairson L, Henrissat B, Davies G, Withers S (2008) Glycosyltransferases: structures, functions, and mechanisms. Biochemistry 77(1):521

    CAS  Article  Google Scholar 

  • Li Y, Baldauf S, Lim EK, Bowles DJ (2001) Phylogenetic analysis of the UDP-glycosyltransferase multigene family of Arabidopsis thaliana. J Biol Chem 276(6):4338–4343

    CAS  Article  PubMed  Google Scholar 

  • Li L, Stoeckert CJ Jr, Roos DS (2003) OrthoMCL: identification of ortholog groups for eukaryotic genomes. Genome Res 13(9):2178–2189

    CAS  Article  PubMed Central  PubMed  Google Scholar 

  • Lim EK, Baldauf S, Li Y, Elias L, Worrall D, Spencer SP, Jackson RG, Taguchi G, Ross J, Bowles DJ (2003) Evolution of substrate recognition across a multigene family of glycosyltransferases in Arabidopsis. Glycobiology 13(3):139–145

    CAS  Article  PubMed  Google Scholar 

  • Liu Q, Gao H, Zha L, Hu Z, Ma Y, Yu M, Chen L, Hu W (2014) Tuning bio-inspired skin-core structure of nascent fiber via interplay of polymer phase transitions. Phys Chem Chem Phys 16(29):15152–15157

    CAS  Article  PubMed  Google Scholar 

  • Ma Q, Wu M, Pei W, Li H, Li X, Zhang J, Yu J, Yu S (2014) Quantitative phosphoproteomic profiling of fiber differentiation and initiation in a fiberless mutant of cotton. BMC Genom 15:466

    Article  Google Scholar 

  • Mackenzie PI, Owens IS, Burchell B, Bock KW, Bairoch A, Belanger A, Fournel-Gigleux S, Green M, Hum DW, Iyanagi T, Lancet D, Louisot P, Magdalou J, Chowdhury JR, Ritter JK, Schachter H, Tephly TR, Tipton KF, Nebert DW (1997) The UDP glycosyltransferase gene superfamily: recommended nomenclature update based on evolutionary divergence. Pharmacogenetics 7(4):255–269

    CAS  Article  PubMed  Google Scholar 

  • Osmani SA, Bak S, Moller BL (2009) Substrate specificity of plant UDP-dependent glycosyltransferases predicted from crystal structures and homology modeling. Phytochemistry 70(3):325–347

    CAS  Article  PubMed  Google Scholar 

  • Paquette S, Moller BL, Bak S (2003) On the origin of family 1 plant glycosyltransferases. Phytochemistry 62(3):399–413

    CAS  Article  PubMed  Google Scholar 

  • Paterson AH, Wendel JF, Gundlach H, Guo H, Jenkins J, Jin D, Llewellyn D, Showmaker KC, Shu S, Udall J, Yoo MJ, Byers R, Chen W, Doron-Faigenboim A, Duke MV, Gong L, Grimwood J, Grover C, Grupp K, Hu G, Lee TH, Li J, Lin L, Liu T, Marler BS, Page JT, Roberts AW, Romanel E, Sanders WS, Szadkowski E, Tan X, Tang H, Xu C, Wang J, Wang Z, Zhang D, Zhang L, Ashrafi H, Bedon F, Bowers JE, Brubaker CL, Chee PW, Das S, Gingle AR, Haigler CH, Harker D, Hoffmann LV, Hovav R, Jones DC, Lemke C, Mansoor S, ur Rahman M, Rainville LN, Rambani A, Reddy UK, Rong JK, Saranga Y, Scheffler BE, Scheffler JA, Stelly DM, Triplett BA, Van Deynze A, Vaslin MF, Waghmare VN, Walford SA, Wright RJ, Zaki EA, Zhang T, Dennis ES, Mayer KF, Peterson DG, Rokhsar DS, Wang X, Schmutz J (2012) Repeated polyploidization of Gossypium genomes and the evolution of spinnable cotton fibres. Nature 492(7429):423–427

    CAS  Article  PubMed  Google Scholar 

  • Qin YM, Zhu YX (2011) How cotton fibers elongate: a tale of linear cell-growth mode. Curr Opin Plant Biol 14(1):106–111

    CAS  Article  PubMed  Google Scholar 

  • Rodin SN, Parkhomchuk DV (2004) Position-associated GC asymmetry of gene duplicates. J Mol Evol 59(3):372–384

    CAS  Article  PubMed  Google Scholar 

  • Ross J, Li Y, Lim E-K, Bowles DJ (2001) Higher plant glycosyltransferases. Genome Biol 2(2):3004.1–3004.6

  • Saeed AI, Sharov V, White J, Li J, Liang W, Bhagabati N, Braisted J, Klapa M, Currier T, Thiagarajan M, Sturn A, Snuffin M, Rezantsev A, Popov D, Ryltsov A, Kostukovich E, Borisovsky I, Liu Z, Vinsavich A, Trush V, Quackenbush J (2003) TM4: a free, open-source system for microarray data management and analysis. Biotechniques 34(2):374–378

    CAS  PubMed  Google Scholar 

  • Serres-Giardi L, Belkhir K, David J, Glemin S (2012) Patterns and evolution of nucleotide landscapes in seed plants. Plant Cell 24(4):1379–1397

    CAS  Article  PubMed Central  PubMed  Google Scholar 

  • Tai FJ, Wang XL, Xu WL, Li XB (2008) Characterization and expression analysis of two cotton genes encoding putative UDP-glycosyltransferases. Mol Biol (Mosk) 42(1):50–58

    Article  Google Scholar 

  • Tamura K, Stecher G, Peterson D, Filipski A, Kumar S (2013) MEGA6: molecular evolutionary genetics analysis version 6.0. Mol Biol Evol 30(12):2725–2729

    CAS  Article  PubMed Central  PubMed  Google Scholar 

  • Tarazona S, Garcia-Alcalde F, Dopazo J, Ferrer A, Conesa A (2011) Differential expression in RNA-seq: a matter of depth. Genome Res 21(12):2213–2223

    CAS  Article  PubMed Central  PubMed  Google Scholar 

  • Thompson JD, Higgins DG, Gibson TJ (1994) CLUSTAL W: improving the sensitivity of progressive multiple sequence alignment through sequence weighting, position-specific gap penalties and weight matrix choice. Nucleic Acids Res 22(22):4673–4680

    CAS  Article  PubMed Central  PubMed  Google Scholar 

  • Vogt T, Jones P (2000) Glycosyltransferases in plant natural product synthesis: characterization of a supergene family. Trends Plant Sci 5(9):380–386

    CAS  Article  PubMed  Google Scholar 

  • Voorrips RE (2002) MapChart: software for the graphical presentation of linkage maps and QTLs. J Hered 93(1):77–78

    CAS  Article  PubMed  Google Scholar 

  • Wang J, Hou B (2009) Glycosyltransferases: key players involved in the modification of plant secondary metabolites. Front Biol China 4(1):39–46

    CAS  Article  Google Scholar 

  • Wang B, Jin SH, Hu HQ, Sun YG, Wang YW, Han P, Hou BK (2012a) UGT87A2, an Arabidopsis glycosyltransferase, regulates flowering time via FLOWERING LOCUS C. New Phytol 194(3):666–675

    CAS  Article  PubMed  Google Scholar 

  • Wang K, Wang Z, Li F, Ye W, Wang J, Song G, Yue Z, Cong L, Shang H, Zhu S, Zou C, Li Q, Yuan Y, Lu C, Wei H, Gou C, Zheng Z, Yin Y, Zhang X, Liu K, Wang B, Song C, Shi N, Kohel RJ, Percy RG, Yu JZ, Zhu YX, Wang J, Yu S (2012b) The draft genome of a diploid cotton Gossypium raimondii. Nat Genet 44(10):1098–1103

    CAS  Article  PubMed  Google Scholar 

  • Wang Y, Tang H, Debarry JD, Tan X, Li J, Wang X, Lee TH, Jin H, Marler B, Guo H, Kissinger JC, Paterson AH (2012c) MCScanX: a toolkit for detection and evolutionary analysis of gene synteny and collinearity. Nucleic Acids Res 40(7):e49

    CAS  Article  PubMed Central  PubMed  Google Scholar 

  • Wendel JF, Cronn RC (2003) Polyploidy and the evolutionary history of cotton. Adv Agron 78:139–186

    Article  Google Scholar 

  • Wendel JF, Brubaker C, Alvarez I, Cronn R, Stewart JM (2009) Evolution and natural history of the cotton genus. In: Genetics and genomics of cotton. Springer, New York, pp 3–22

    Chapter  Google Scholar 

  • Yonekura-Sakakibara K, Hanada K (2011) An evolutionary view of functional diversity in family 1 glycosyltransferases. Plant J 66(1):182–193

    CAS  Article  PubMed  Google Scholar 

  • Zeng C, Zhou P, Jiang T, Yuan C, Ma Y, Feng L, Liu R, Tang W, Long X, Xiao B, Tian F (2014) Upregulation and diverse roles of TRPC3 and TRPC6 in synaptic reorganization of the mossy fiber pathway in temporal lobe epilepsy. Mol Neurobiol. doi:10.1007/s12035-014-8871-x

    Google Scholar 

Download references

Acknowledgments

This study was funded by the National High Technology Research and Development Program of China (Grant Number 2013AA102601).

Conflict of interest

The authors declare that they have no conflict of interest.

Author information

Affiliations

Authors

Corresponding author

Correspondence to Shuxun Yu.

Additional information

Communicated by J. Zhang.

Electronic supplementary material

Rights and permissions

Reprints and Permissions

About this article

Verify currency and authenticity via CrossMark

Cite this article

Huang, J., Pang, C., Fan, S. et al. Genome-wide analysis of the family 1 glycosyltransferases in cotton. Mol Genet Genomics 290, 1805–1818 (2015). https://doi.org/10.1007/s00438-015-1040-8

Download citation

  • Received:

  • Accepted:

  • Published:

  • Issue Date:

  • DOI: https://doi.org/10.1007/s00438-015-1040-8

Keywords

  • UDP-glycosyltransferase
  • PSPG
  • Cotton
  • Genome-wide