Skip to main content

Genome-wide analysis of the WD-repeat protein family in cucumber and Arabidopsis

Abstract

The WD-repeat (WDR) proteins comprise an astonishingly diverse superfamily of regulatory proteins. To date, genome-wide characterization of this family has only been conducted in Arabidopsis and little is known about WDR genes in cucumber (Cucumis sativus L.). This study identified 191 cucumber WDR genes in the latest cucumber genome and the CsWDR family contained a smaller number of identified genes compared to Arabidopsis. The results of this study were also supported by genome distribution and gene duplication analysis. Phylogenetic analysis showed that the WDR proteins could be classified into 21 subgroups. Moreover, an additional 12 AtWDR proteins were also identified and a complete overview of this gene family in Arabidopsis is presented, including the phylogeny, chromosome locations and duplication events. In addition, a comparative analysis between these genes in cucumber and Arabidopsis was performed and it suggested that there was strong gene conservation and that there was an expansion of particular functional genes during the evolution of the two species. The transcript abundance level analysis during abiotic stress (NaCl, ABA and low temperature treatments) identified six CsWDR genes that responded to one or more treatments. Tissue-specific expression profiles of these six genes were also analyzed. This study has produced a comparative genomics analysis of the WDR gene family in cucumber and Arabidopsis and provides the first steps towards the selection of CsWDR genes for cloning and functional dissection that can be used in further studies into their roles in cucumber stress resistance.

This is a preview of subscription content, access via your institution.

Fig. 1
Fig. 2
Fig. 3
Fig. 4
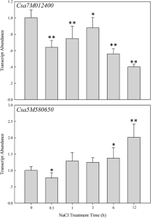
Fig. 5
Fig. 6
Fig. 7
Fig. 8
Fig. 9
Fig. 10

References

  • Alexandre C, Moller-Steinbach Y, Schonrock N, Gruissem W, Hennig L (2009) Arabidopsis MSI1 is required for negative regulation of the response to drought stress. Mol Plant 2:675–687

    CAS  PubMed  Article  Google Scholar 

  • An XH, Tian Y, Chen KQ, Wang XF, Hao YJ (2012) The apple WD40 protein MdTTG1 interacts with bHLH but not MYB proteins to regulate anthocyanin accumulation. J Plant Physiol 169:710–717

    CAS  PubMed  Article  Google Scholar 

  • Ben-Simhon Z, Judeinstein S, Nadler-Hassar T, Trainin T, Holland D et al (2011) A pomegranate (Punica granatum L.) WD40-repeat gene is a functional homologue of Arabidopsis TTG1 and is involved in the regulation of anthocyanin biosynthesis during pomegranate fruit development. Planta 234:865–881

    CAS  PubMed  Article  Google Scholar 

  • Biedermann S, Hellmann H (2010) The DDB1a interacting proteins ATCSA-1 and DDB2 are critical factors for UV-B tolerance and genomic integrity in Arabidopsis thaliana. Plant J 62:404–415

    CAS  PubMed  Article  Google Scholar 

  • Bjerkan KN, Jung-Romeo S, Jurgens G, Genschik P, Grini PE (2012) Arabidopsis WD REPEAT DOMAIN55 interacts with DNA DAMAGED BINDING PROTEIN1 and is required for apical patterning in the embryo. Plant Cell 24:1013–1033

    CAS  PubMed Central  PubMed  Article  Google Scholar 

  • Blanc G, Hokamp K, Wolfe KH (2003) A recent polyploidy superimposed on older large-scale duplications in the Arabidopsis genome. Genome Res 13:137–144

    CAS  PubMed  Article  Google Scholar 

  • Breuil-Broyer S, Morel P, Almeida-Engler J, Coustham V, Trehin C et al (2004) High-resolution boundary analysis during Arabidopsis thaliana flower development. Plant J 38:182–192

    CAS  PubMed  Article  Google Scholar 

  • Caillaud M, Paganelli L, Lecomte P, Deslandes L, Favery B et al (2009) Spindle assembly checkpoint protein dynamics reveal conserved and unsuspected roles in plant cell division. PLoS ONE 4:e6757

    PubMed Central  PubMed  Article  Google Scholar 

  • Cannon SB, Mitra A, Baumgarten A, Young ND, May G (2004) The roles of segmental and tandem gene duplication in the evolution of large gene families in Arabidopsis thaliana. BMC Plant Biol 4:10

    PubMed Central  PubMed  Article  Google Scholar 

  • Carey CC, Strahle JT, Selinger DA, Chandler VL (2004) Mutations in the pale aleurone color1 regulatory gene of the Zea mays anthocyanin pathway have distinct phenotypes relative to the functionally similar TRANSPARENT TESTA GLABRA1 gene in Arabidopsis thaliana. Plant Cell 16:450–464

    CAS  PubMed Central  PubMed  Article  Google Scholar 

  • Causier B, Ashworth M, Guo WJ, Davies B (2012) The TOPLESS interactome: a framework for gene repression in Arabidopsis. Plant Physiol 158:423–438

    CAS  PubMed Central  PubMed  Article  Google Scholar 

  • Chen Y, Brandizzi F (2012) AtIRE1A/AtIRE1B and AGB1 independently control two essential unfolded protein response pathways in Arabidopsis. Plant J 69:266–277

    CAS  PubMed  Article  Google Scholar 

  • Chen Z, Tan JL, Ingouff M, Sundaresan V, Berger F (2008a) Chromatin assembly factor 1 regulates the cell cycle but not cell fate during male gametogenesis in Arabidopsis thaliana. Development 135:65–73

    Google Scholar 

  • Chen ZH, Jenkins GI, Nimmo HG (2008b) Identification of an F-Box protein that negatively regulates P(i) starvation responses. Plant Cell Physiol 49:1902–1906

    CAS  PubMed  Article  Google Scholar 

  • DeFraia CT, Zhang XD, Mou ZL (2010) Elongator subunit 2 is an accelerator of immune responses in Arabidopsis thaliana. Plant J 64:511–523

    CAS  PubMed  Article  Google Scholar 

  • Deprost D, Truong HN, Robaglia C, Meyer C (2005) An Arabidopsis homolog of RAPTOR/KOG1 is essential for early embryo development. Biochem Biophys Res Commun 326:844–850

    CAS  PubMed  Article  Google Scholar 

  • Dubos C, Stracke R, Grotewold E, Weisshaar B, Martin C et al (2010) MYB transcription factors in Arabidopsis. Trends Plant Sci 15:573–581

    CAS  PubMed  Article  Google Scholar 

  • Falbel TG, Koch LM, Nadeau JA, Segui-Simarro JM, Bednarek SY et al (2003) SCD1 is required for cell cytokinesis and polarized cell expansion in Arabidopsis thaliana. Development 130:4011–4024

    CAS  PubMed  Article  Google Scholar 

  • Fittinghoff K, Laubinger S, Nixdorf M, Fackendahl P, Hoecker U (2006) Functional and expression analysis of Arabidopsis SPA genes during seedling photomorphogenesis and adult growth. Plant J 47:577–590

    CAS  PubMed  Article  Google Scholar 

  • Flores-Perez U, Perez-Gil J, Closa M, Wright LP, Rodriguez-Concepcion M et al (2010) PLEIOTROPIC REGULATORY LOCUS 1 (PRL1) integrates the regulation of sugar responses with isoprenoid metabolism in Arabidopsis. Mol Plant 3:101–112

    CAS  PubMed  Article  Google Scholar 

  • Griffith ME, Mayer U, Capron A, Ngo QA, Sundaresan V et al (2007) The TORMOZ gene encodes a nucleolar protein required for regulated division planes and embryo development in Arabidopsis. Plant Cell 19:2246–2263

    CAS  PubMed Central  PubMed  Article  Google Scholar 

  • Groß-Hardt R, Kagi C, Baumann N, Moore JM, Grossniklaus U et al (2007) LACHESIS restricts gametic cell fate in the female gametophyte of Arabidopsis. PLoS Biol 5:e47

    PubMed Central  PubMed  Article  Google Scholar 

  • Guan Y (2008) Mapping and cloning of related gene for fruit spines formation in cucumber. PhD thesis. Shanghai Jiao Tong University

  • Guo AY, Zhu QH, Chen X, Luo JC (2007) GSDS: a gene structure display server. Yi Chuan 29:1023–1026

    CAS  PubMed  Article  Google Scholar 

  • Guo JJ, Wang SC, Valerius O, Hall H, Chen JG et al (2011) Involvement of Arabidopsis RACK1 in protein translation and its regulation by abscisic acid. Plant Physiol 155:370–383

    CAS  PubMed Central  PubMed  Article  Google Scholar 

  • He HS, Dong Q, Shao YH, Jiang HY, Xiang X et al (2012) Genome-wide survey and characterization of the WRKY gene family in Populus trichocarpa. Plant Cell Rep 31:1199–1217

    CAS  PubMed  Article  Google Scholar 

  • Hu LF, Liu SQ (2011) Genome-wide identification and phylogenetic analysis of the ERF gene family in cucumbers. Genet Mol Biol 34:624–633

    CAS  PubMed  Article  Google Scholar 

  • Hu LF, Liu SQ (2012) Genome-wide analysis of the MADS-box gene family in cucumber. Genome 55:245–256

    CAS  PubMed  Article  Google Scholar 

  • Huang SW, Li RQ, Zhang ZH, Li L, Gu XF et al (2009) The genome of the cucumber, Cucumis sativus L. Nat Genet 475:1–7

    Google Scholar 

  • Humphries JA, Walker AR, Timmis JN, Orford SJ (2005) Two WD-repeat genes from cotton are functional homologues of the Arabidopsis thaliana TRANSPARENT TESTA GLABRA1 (TTG1) gene. Plant Mol Biol 57:67–81

    CAS  PubMed  Article  Google Scholar 

  • Janoudi AK, Widders IE, Flore JA (1993) Water deficits and environmental factors affect photosynthesis in leaves of cucumber (Cucumis sativus). J Am Soc Hortic Sci 118:366–370

    Google Scholar 

  • Jiang JR, Clouse SD (2001) Expression of a plant gene with sequence similarity to animal TGF-β receptor interacting protein is regulated by brassinosteroids and required for normal plant development. Plant J 26:35–45

    CAS  PubMed  Article  Google Scholar 

  • Jiang DH, Gu XF, He YH (2009) Establishment of the winter-annual growth habit via FRIGIDA-mediated histone methylation at FLOWERING LOCUS C in Arabidopsis. Plant Cell 21:1733–1746

    CAS  PubMed Central  PubMed  Article  Google Scholar 

  • Jiang DH, Kong NC, Gu XF, Li ZC, He YH (2011) Arabidopsis COMPASS-like complexes mediate histone H3 lysine-4 trimethylation to control floral transition and plant development. PLoS Genet 7:e1001330

    CAS  PubMed Central  PubMed  Article  Google Scholar 

  • Jiang SL, Kumar S, Eu YJ, Jami SK, Hill RD et al (2012) The Arabidopsis mutant, fy-1, has an ABA-insensitive germination phenotype. J Exp Bot 63:2693–2703

    CAS  PubMed  Article  Google Scholar 

  • Kaya H, Shibahara K, Taoka K, Iwabuchi M, Araki T et al (2001) FASCIATA genes for chromatin assembly factor-1 in Arabidopsis maintain the cellular organization of apical meristems. Cell 104:131–142

    CAS  PubMed  Article  Google Scholar 

  • Kent WJ, Baertsch R, Hinrichs A, Miller W, Haussler D (2003) Evolution’s cauldron: duplication, deletion, and rearrangement in the mouse and human genomes. Proc Natl Acad Sci USA 100:11484–11489

    CAS  PubMed  Article  Google Scholar 

  • Kevei Z, Baloban M, Da Ines O, Tiricz H, Kondorosi E et al (2011) Conserved CDC20 cell cycle functions are carried out by two of the five isoforms in Arabidopsis thaliana. PLoS ONE 6:e20618

    CAS  PubMed Central  PubMed  Article  Google Scholar 

  • Kłobus G, Janicka-Russak M (2004) Modulation by cytosolic components of proton pump activities in plasma membrane and tonoplast from Cucumis sativus roots during salt stress. Physiol Plant 12:84–92

    Google Scholar 

  • Lambright DG, Sondek J, Bohm A, Skiba NP, Hamm HE, Sigler PB (1996) The 2.0 Å crystal structure of a heterotrimeric G protein. Nature 379:311–319

    CAS  PubMed  Article  Google Scholar 

  • Lee SH, Singh AP, Chung GC (2004a) Rapid accumulation of hydrogen peroxide in cucumber roots due to exposure to low temperature appears to mediate decreases in water transport. J Exp Bot 55:1733–1741

    CAS  PubMed  Article  Google Scholar 

  • Lee SH, Singh AP, Chung GC, Ahn SJ, Steudle E et al (2004b) Exposure of roots of cucumber (Cucumis sativus) to low temperature severely reduces root pressure, hydraulic conductivity and active transport of nutrients. Physiol Plant 120:413–420

    CAS  PubMed  Article  Google Scholar 

  • Lee I, Ambaru B, Thakkar P, Marcotte EM, Rhee SY (2010a) Rational association of genes with traits using a genome-scale gene network for Arabidopsis thaliana. Nat Biotechnol 28:149–156

    CAS  PubMed Central  PubMed  Article  Google Scholar 

  • Lee JH, Yoon HJ, Terzaghi W, Martinez C, Deng XW et al (2010b) DWA1 and DWA2, two Arabidopsis DWD protein components of CUL4-based E3 ligases, act together as negative regulators in ABA signal transduction. Plant Cell 22:1716–1732

    CAS  PubMed Central  PubMed  Article  Google Scholar 

  • Lee JH, Terzaghi W, Deng XW (2011) DWA3, an Arabidopsis DWD protein, acts as a negative regulator in ABA signal transduction. Plant Sci 180:352–357

    CAS  PubMed  Article  Google Scholar 

  • Letunic I, Doerks T, Bork P (2009) SMART 6: recent updates and new developments. Nucleic Acids Res 37:D229–D232

    CAS  PubMed Central  PubMed  Article  Google Scholar 

  • Li SD, Blanchoin L, Yang ZB, Lord EM (2003) The putative Arabidopsis Arp2/3 complex controls leaf cell morphogenesis. Plant Physiol 132:2034–2044

    CAS  PubMed Central  PubMed  Article  Google Scholar 

  • Li JG, Li XJ, Guo L, Lu F, Gu HY et al (2006) A subgroup of MYB transcription factor genes undergoes highly conserved alternative splicing in Arabidopsis and rice. J Exp Bot 57:1263–1273

    CAS  PubMed  Article  Google Scholar 

  • Li HJ, Liu NY, Shi DQ, Liu J, Yang WC (2010) YAO is a nucleolar WD40-repeat protein critical for embryogenesis and gametogenesis in Arabidopsis. BMC Plant Biol 10:169

    PubMed Central  PubMed  Article  Google Scholar 

  • Li Q, Wang XF, Ma LY, Wei M, Shi QH, Yang FJ (2012a) Molecular characterization of a cucumber nitrate reductase (CsNR) gene under NO3 stress. Mol Biol Rep 39:4283–4290

    Google Scholar 

  • Li Q, Zhang CJ, Li J, Wang LN, Ren ZH (2012b) Genome-wide identification and characterization of R2R3MYB family in Cucumis sativus. PLoS ONE 7:e47576

    CAS  PubMed Central  PubMed  Article  Google Scholar 

  • Ling J, Jiang WJ, Zhang Y, Yu HJ, Xie BY et al (2011) Genome-wide analysis of WRKY gene family in Cucumis sativus. BMC Genomics 12:471

    CAS  PubMed Central  PubMed  Article  Google Scholar 

  • Liu SQ, Xu L, Jia ZQ, Xu Y, Huang SW et al (2004) Genetic association of ETHYLENE-INSENSITIVE3-like sequence with the sex-determining M locus in cucumber (Cucumis sativus L.). Theor Appl Genet 117:927–933

    Article  Google Scholar 

  • Liu SQ, Liu XH, Jiang LW (2011) Genome-wide identification, phylogeny and expression analysis of the lipoxygenase gene family in cucumber. Genet Mol Res 10:2613–2636

    CAS  PubMed  Article  Google Scholar 

  • Liu B, Zuo ZC, Liu HT, Liu XM, Lin CT (2012) Arabidopsis cryptochrome 1 interacts with SPA1 to suppress COP1 activity in response to blue light. Genes Dev 25:1029–1034

    Article  Google Scholar 

  • Livak KJ, Schmittgen TD (2001) Analysis of relative gene expression data using Real-Time Quantitative PCR and the 2−ΔΔCt method. Methods 25:402–408

    CAS  PubMed  Article  Google Scholar 

  • Long JA, Ohno C, Smith ZR, Meyerowitz EM (2006) TOPLESS regulates apical embryonic fate in Arabidopsis. Science 312:1520–1523

    CAS  PubMed  Article  Google Scholar 

  • Matus JT, Aquea F, Arce-Johnson P (2008) Analysis of the grape MYB R2R3 subfamily reveals expanded wine quality-related clades and conserved gene structure organization across Vitis and Arabidopsis genomes. BMC Plant Biol 8:83

    PubMed Central  PubMed  Article  Google Scholar 

  • Mehan MR, Freimer NB, Ophoff RA (2004) A genome-wide survey of segmental duplications that mediate common human genetic variation of chromosomal architecture. Hum Genomics 1:335–344

    CAS  PubMed Central  PubMed  Article  Google Scholar 

  • Monaghan J, Xu F, Gao MH, Zhao QG, Li X et al (2009) Two prp19-like U-Box proteins in the MOS4-associated complex play redundant roles in plant innate immunity. PLoS Pathog 5:e1000526

    PubMed Central  PubMed  Article  Google Scholar 

  • Moreau M, Azzopardi M, Clement G, Dobrenel T, Meyer C et al (2012) Mutations in the Arabidopsis homolog of LST8/GβL, a partner of the target of rapamycin kinase, impair plant growth, flowering, and metabolic adaptation to long days. Plant Cell 24:463–481

    CAS  PubMed Central  PubMed  Article  Google Scholar 

  • Neer EJ, Schmidt CJ, Nambudripad R, Smith TF (1994) The ancient regulatory-protein family of WD-repeat proteins. Nature 371:297–300

    CAS  PubMed  Article  Google Scholar 

  • Nocker S, Ludwig P (2003) The WD-repeat protein superfamily in Arabidopsis: conservation and divergence in structure and function. BMC Genomics 4:50

    PubMed Central  PubMed  Article  Google Scholar 

  • Pang YZ, Wenger JP, Saathoff K, Peel GJ, Dixon RA et al (2009) A WD40 repeat protein from Medicago truncatula is necessary for tissue-Specific anthocyanin and proanthocyanidin biosynthesis but not for trichome development. Plant Physiol 151:1114–1129

    CAS  PubMed Central  PubMed  Article  Google Scholar 

  • Park K, Hoshino A (2012) A WD40-repeat protein controls proanthocyanidin and phytomelanin pigmentation in the seed coats of the Japanese morning glory. J Plant Physiol 169:523–528

    CAS  PubMed  Article  Google Scholar 

  • Pazhouhandeh M, Molinier J, Berr A, Genschik P (2011) MSI4/FVE interacts with CUL4-DDB1 and a PRC2-like complex to control epigenetic regulation of flowering time in Arabidopsis. Proc Natl Acad Sci USA 108:3430–3435

    CAS  PubMed  Article  Google Scholar 

  • Rodrigues JCM, Tucker MR, Johnson SD, Hrmova M, Koltunow AMG (2008) Sexual and apomictic seed formation in Hieracium requires the plant polycomb-group gene FERTILIZATION INDEPENDENT ENDOSPERM. Plant Cell 20:2372–2386

    CAS  PubMed Central  PubMed  Article  Google Scholar 

  • Saedler R, Jakoby M, Marin B, Galiana-Jaime E, Hulskamp M (2009) The cell morphogenesis gene SPIRRIG in Arabidopsis encodes a WD/BEACH domain protein. Plant J 59:612–621

    CAS  PubMed  Article  Google Scholar 

  • Saitou N, Nei M (1987) The neighbor-joining method: a new method for reconstructing phylogenetic trees. Mol Biol Evol 4:406–425

    CAS  PubMed  Google Scholar 

  • Schauser L, Wieloch W, Stougaard J (2005) Evolution of NIN-like proteins in Arabidopsis, rice, and Lotus japonicus. J Mol Evol 60:229–237

    CAS  PubMed  Article  Google Scholar 

  • Shi QH, Ding F, Wang XF, Wei M (2007) Exogenous nitric oxide protect cucumber roots against oxidative stress induced by salt stress. Plant Physiol Biochem 45:542–550

    CAS  PubMed  Article  Google Scholar 

  • Sitaraman J, Bui M, Liu ZC (2008) LEUNIG_HOMOLOG and LEUNIG Perform Partially Redundant Functions during Arabidopsis Embryo and Floral Development. Plant Physiol 147:672–681

    CAS  PubMed Central  PubMed  Article  Google Scholar 

  • Smith TF, Gaitatzes C, Saxena K, Neer EJ (1999) The WD repeat: a common architecture for diverse functions. Trends Biochem Sci 24:181–185

    CAS  PubMed  Article  Google Scholar 

  • Stirnimann CU, Petsalaki E, Russell RB, Müller CW (2010) WD40 proteins propel cellular networks. Trends Biochem Sci 35:565–574

    CAS  PubMed  Article  Google Scholar 

  • Tamura K, Dudley J, Nei M, Kumar S (2007) MEGA4 Molecular Evolutionary Genetics Analysis (MEGA) software version 4.0. Mol Biol Evol 24:1596–1599

    CAS  PubMed  Article  Google Scholar 

  • Tang H, Bowers JE, Wang X, Ming R, Alam M, Paterson AH (2008) Synteny and collinearity in plant genomes. Science 320:486–488

    CAS  PubMed  Article  Google Scholar 

  • Thompson JD, Gibson TJ, Plewniak F, Jeanmougin F, Higgins DG (1997) The CLUSTAL_X windows interface: flexible strategies for multiple sequence alignment aided by quality analysis tools. Nucleic Acids Res 25:4876–4882

    CAS  PubMed Central  PubMed  Article  Google Scholar 

  • Walker AR, Davison PA, Bolognesi-Winfield AC, James CM, Gray JC et al (1999) The TRANSPARENT TESTA GLABRA1 locus, which regulates trichome differentiation and anthocyanin biosynthesis in Arabidopsis, encodes a WD40 repeat protein. Plant Cell 11:1337–1349

    CAS  PubMed Central  PubMed  Google Scholar 

  • Wall MA, Coleman DE, Lee E, Iniguez-Lluhi JA, Posner BA, Gilman AG, Sprang SR (1995) The structure of the G protein heterotrimer Gi alpha 1 beta 1 gamma 2. Cell 83:1047–1058

    CAS  PubMed  Article  Google Scholar 

  • Wang WY, Yang D, Feldmann KA (2011) EFO1 and EFO2, encoding putative WD-domain proteins, have overlapping and distinct roles in the regulation of vegetative development and flowering of Arabidopsis. J Exp Bot 62:1077–1088

    CAS  PubMed  Article  Google Scholar 

  • Wu JF, Wang Y, Wu SH (2008) Two new clock proteins, LWD1 and LWD2, regulate Arabidopsis photoperiodic flowering. Plant Physiol 148:948–959

    CAS  PubMed Central  PubMed  Article  Google Scholar 

  • Xiang DQ, Yang H, Venglat P, Cao YG, Datla R et al (2011) POPCORN functions in the auxin pathway to regulate embryonic body plan and meristem organization in Arabidopsis. Plant Cell 23:4348–4367

    CAS  PubMed Central  PubMed  Article  Google Scholar 

  • Xiong Y, Contento AL, Bassham DC (2005) AtATG18a is required for the formation of autophagosomes during nutrient stress and senescence in Arabidopsis thaliana. Plant J 42:535–546

    CAS  PubMed  Article  Google Scholar 

  • Xu C, Min JR (2011) Structure and function of WD40 domain proteins. Protein Cell 2:202–214

    CAS  PubMed  Article  Google Scholar 

  • Xu N, Gao XQ, Zhao XY, Zhu DZ, Zhang XS et al (2011) Arabidopsis AtVPS15 is essential for pollen development and germination through modulating phosphatidylinositol 3-phosphate formation. Plant Mol Biol 77:251–260

    CAS  PubMed Central  PubMed  Article  Google Scholar 

  • Yamagishi K, Nagata N, Yee KM, Braybrook SA, Harada JJ et al (2005) TANMEI/EMB2757 encodes a WD repeat protein required for embryo development in Arabidopsis. Plant Physiol 139:163–173

    CAS  PubMed Central  PubMed  Article  Google Scholar 

  • Zhang F, Gonzalez A, Zhao MZ, Payne T, Lloyd A (2003) A network of redundant bHLH proteins functions in all TTG1-dependent pathways of Arabidopsis. Development 130:4859–4869

    CAS  PubMed  Article  Google Scholar 

  • Zhang WW, He HL, Guan Y, Yao DQ, Pan JS, Cai R et al (2010) Identification and mapping of molecular markers linked to the tuberculate fruit gene in the cucumber (Cucumis sativus L.). Theor Appl Genet 120:645–654

    CAS  PubMed  Article  Google Scholar 

  • Zhu JH, Jeong JC, Zhu YM, Sokolchik I, Bressan RA et al (2008) Involvement of Arabidopsis HOS15 in histone deacetylation and cold tolerance. Proc Natl Acad Sci USA 105:4945–4950

    CAS  PubMed  Article  Google Scholar 

Download references

Acknowledgments

This study was funded by Grants 31222048 and 31171977 from National Natural Science Foundation of China and the Foundation for ‘Taishan Scholar’ from the People’s Government of Shandong Province.

Conflict of interest

None.

Author information

Affiliations

Authors

Corresponding author

Correspondence to Zhonghai Ren.

Additional information

Communicated by Y. Van de Peer.

Electronic supplementary material

Rights and permissions

Reprints and Permissions

About this article

Cite this article

Li, Q., Zhao, P., Li, J. et al. Genome-wide analysis of the WD-repeat protein family in cucumber and Arabidopsis . Mol Genet Genomics 289, 103–124 (2014). https://doi.org/10.1007/s00438-013-0789-x

Download citation

  • Received:

  • Accepted:

  • Published:

  • Issue Date:

  • DOI: https://doi.org/10.1007/s00438-013-0789-x

Keywords

  • WD-repeat
  • Cucumber
  • Phylogenetic analysis
  • Duplication events
  • Expression profiles