Abstract
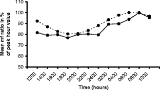
The Mansonella perstans microfilarial (mf) periodicity in peripheral blood was analysed in a group of 32 healthy individuals from an endemic community in Uganda. The majority of individuals had maximum mf intensity during the first and minimum during the last 12 h of the day. Mean mf ratios (i.e. time-specific counts in relation to mean count for the individual) indicated a weak but significant diurnal periodicity with peak intensity around 0800 h. Trigonometric analysis of the ratios, assuming a harmonic wave pattern of periodicity, gave a periodicity index of 11.1 and a peak time of 0645 h. The higher mf intensities in the early morning appeared to coincide with the preferred biting hour of the vectors. The observed weak pattern of mf periodicity indicates that the sampling time of blood specimens for diagnosis will have only minor effect on diagnostic sensitivity.

References
Aikat TK, Das M (1977) A modified statistical method for analysis of periodicity of microfilaria. Indian J Med Res 65:58–64
Asio SM, Simonsen PE, Onapa AW (2008) Mansonella perstans filariasis in Uganda: patterns of microfilaraemia and clinical manifestations in two endemic communities. Trans R Soc Trop Med Hyg in press. doi:10.1016/j.trstmh.2008.08.007
Hawking F (1975) Circadian and other rhythms of parasites. Adv Parasitol 13:123–182
Holmes GK, Gelfand M, Boyt W, Mackenzie P (1969) A study to investigate the pathogenicity of a parasite resembling Acanthocheilonema perstans. Trans R Soc Trop Med Hyg 63:479–484
Kershaw WE (1950) Studies on the epidemiology of filariasis in West Africa, with special reference to the British Cameroons and the Niger Delta. I.—Methods of survey for infections with Loa loa and Acanthocheilonema perstans. Ann Trop Med Parasitol 44:361–378
Low GC (1903) Filaria perstans. Brit Med J March 28:722–724
Manson P (1891) The Filaria sanguinis hominis major and minor, two new species of haematozoa. Lancet 137:4–8
Onapa AW, Simonsen PE, Baehr I, Pedersen EM (2005) Rapid assessment of the geographical distribution of Mansonella perstans infections in Uganda, by screening schoolchildren for microfilariae. Ann Trop Med Parasitol 99:383–393
Roberts CJ, Usayi E (1971) Further observations on Dipetalonema perstans. Central Afr J Med 17:144–146
Sasa M, Tanaka H (1972) Studies on the methods for statistical analysis of the microfilarial periodicity survey data. Southeast Asian J Trop Med Pub Hlth 3:518–536
Simonsen PE, Niemann L, Meyrowitsch DW (1997) Wuchereria bancrofti in Tanzania: microfilarial periodicity and effect of blood sampling time on microfilarial intensities. Trop Med Int Hlth 2:153–158
Tanaka H (1981) Periodicity of microfilariae of human filariasis analysed by a trigonometric method (Aikat and Das). Japanese J Exp Med 51:97–103
Acknowledgements
We are grateful to the study individuals for their cooperation, to the local counsellors for assistance in mobilisation, to the clinical officer at Seeta Namanoga Health Centre (Stephen Lubanga) for providing facilities for the field work and to the LF technical staff of Vector Control Division in Kampala (Anna Auma, Abudhala Bagonza and Peter Ekaju) for their invaluable assistance during specimen collection. The study received financial support from DBL-Centre for Health Research and Development, Denmark.
Author information
Authors and Affiliations
Corresponding author
Rights and permissions
About this article
Cite this article
Asio, S.M., Simonsen, P.E. & Onapa, A.W. Analysis of the 24-h microfilarial periodicity of Mansonella perstans . Parasitol Res 104, 945–948 (2009). https://doi.org/10.1007/s00436-008-1312-x
Received:
Accepted:
Published:
Issue Date:
DOI: https://doi.org/10.1007/s00436-008-1312-x