Skip to main content

A serial-position curve in high-performance darts: The effect of visuomotor calibration on throwing accuracy

Abstract

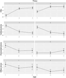
The aim of the present research was to test if the fine-tuning of skilled motor actions benefits from proximate previous actions via a visuomotor calibration process. In professional darts, each player cycles through different activities: three darts are thrown with a rather smooth sequence of movements, the darts are retrieved from the dartboard, the other player throws his or her darts and retrieves them, the next three darts are thrown, retrieved, etc. We hypothesized that these cycles give rise to a serial-position curve for the precision of darts as a result of a particular kind of warm-up decrement. Even though the interruptions of actually throwing darts are only in the order of seconds, walking away from the throw line should lead to a loss of fine-tuning of the calibration of movement parameters with respect to targets defined in the external frame of reference of the dartboard. For the players of the 2017 Professional Darts Corporation World Darts Championship (N = 36,168 scores) we confirmed that the first dart of a series of three is indeed less accurate than the subsequent two. This warm-up decrement is particularly pronounced for vertical errors, for which the relation to movement parameters is more complex than for horizontal errors. Fine-tuning of visuomotor calibration is a neglected facet of warm-up that is also important for various other sports such as tennis, basketball, handball, and football.

This is a preview of subscription content, access via your institution.

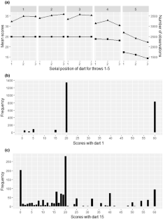
Fig. 1
Fig. 2
Fig. 3

References

  • Adams, J. A. (1961). The second facet of forgetting: A review of warm-up decrement. Psychological Bulletin, 58, 257–273.

    PubMed  Article  Google Scholar 

  • Admiraal, M. A., Keijsers, N. L. W., & Gielen, C. C. A. M. (2004). Gaze affects pointing toward remembered visual targets after a self-initiated step. Journal of Neurophysiology, 92, 2380–2393.

    PubMed  Article  Google Scholar 

  • Ajemian, R., D’Ausilio, A., Moorman, H., & Bizzi, E. (2010). Why professional athletes need a prolonged period of warm-up and other peculiarities of human motor learning. Journal of Motor Behavior, 42, 381–388.

    PubMed  Article  Google Scholar 

  • Bishop, D. (2003a). Warm up I. Sports Medicine, 33(6), 439–454.

    PubMed  Article  Google Scholar 

  • Bishop, D. (2003b). Warm up II. Sports Medicine, 33(7), 483–498.

    PubMed  Article  Google Scholar 

  • Heuer, H., & Massen, C. (2013). Motor control. In: A. F. Healy & R. W. Proctor (Vol. Eds.), I. B. Weiner (Ed.-in-Chief), Handbook of psychology, Experimental psychology (Vol. 4, pp. 320–354) Hoboken, NJ: Wiley.

  • Martin, T. A., Keating, J. G., Goodkin, H. P., Bastian, A. J., & Thach, W. T. (1996a). Throwing while looking through prisms: I. Focal olivocerebellar lesions impair adaptation. Brain, 119(4), 1183–1198.

    PubMed  Article  Google Scholar 

  • Martin, T. A., Keating, J. G., Goodkin, H. P., Bastian, A. J., & Thach, W. T. (1996b). Throwing while looking through prisms: II. Specificity and storage of multiple gaze—Throw calibrations. Brain, 119(4), 1199–1211.

    PubMed  Article  Google Scholar 

  • Medendorp, W. P., Van Asselt, S., & Gielen, C. C. A. M. (1999). Pointing to remembered visual targets after active one-step self-displacements within reaching space. Experimental Brain Research, 125, 50–60.

    PubMed  Article  Google Scholar 

  • Müller, H., & Loosch, E. (1999). Functional variability and an equifinal path of movement during targeted throwing. Journal of Human Movement Studies, 36, 103–126.

    Google Scholar 

  • Nasu, D., Matsuo, T., & Kadota, K. (2014). Two types of motor strategy for accurate dart throwing. PLoS One, 9, e88536. https://doi.org/10.1371/journal.pone.0088536.

    PubMed  PubMed Central  Article  Google Scholar 

  • Schmidt, R. A. (1975). A schema theory of discrete motor skill learning. Psychological Review, 82, 225–260.

    Article  Google Scholar 

  • Schmidt, R. A. (1982). Motor control and learning: A behavioral emphasis. Champaign, IL: Human Kinetics Publishers.

    Google Scholar 

  • Schmidt, R. A. (1989). Unintended acceleration: A review of human factors contributions. Human Factors, 31, 345–364.

    Article  Google Scholar 

  • Schmidt, R. A., Lee, T., Winstein, C. J., Wulf, G., & Zelaznik, H. N. (2019). Motor control and learning: A behavioral emphasis (6th ed.). Champaign, IL: Human Kinetics Publishers.

    Google Scholar 

  • Smeets, J. B. J., Frens, M. A., & Brenner, E. (2002). Throwing darts: Timing is not the limiting factor. Experimental Brain Research, 144, 268–274.

    PubMed  Article  Google Scholar 

  • Vine, S. J., Moore, L. J., & Wilson, M. R. (2014). Quiet eye training: The acquisition, refinement and resilient performance of targeting skills. European Journal of Sport Science, 14, 235–242.

    Article  Google Scholar 

  • Watt, D. G. D. (1997). Pointing at memorized targets during prolonged microgravity. Aviation, Space and Environmental Medicine, 68, 99–103.

    Google Scholar 

  • Wolpert, D. M., & Kawato, M. (1998). Multiple paired forward and inverse models for motor control. Neural Networks, 11, 1317–1329.

    PubMed  Article  Google Scholar 

Download references

Acknowledgements

We would like to thank the editor and the reviewers for their highly valuable comments on a previous version of this manuscript. Special thanks go to Florian Klingner and Colin Kunze for the data collection coding in this study.

Funding

The authors received no specific funding for this work.

Author information

Affiliations

Authors

Corresponding author

Correspondence to Fabian Wunderlich.

Ethics declarations

Conflict of interest

All authors declare to have no conflict of interest.

Ethical approval

This article does not contain any studies with human participants or animals performed by any of the authors.

Informed consent

This article does not contain any studies with human participants or animals performed by any of the authors.

Data availability

The data analyzed within the current study are available from the corresponding author on reasonable request.

Additional information

Publisher's Note

Springer Nature remains neutral with regard to jurisdictional claims in published maps and institutional affiliations.

Rights and permissions

Reprints and Permissions

About this article

Verify currency and authenticity via CrossMark

Cite this article

Wunderlich, F., Heuer, H., Furley, P. et al. A serial-position curve in high-performance darts: The effect of visuomotor calibration on throwing accuracy. Psychological Research 84, 2057–2064 (2020). https://doi.org/10.1007/s00426-019-01205-2

Download citation

  • Received:

  • Accepted:

  • Published:

  • Issue Date:

  • DOI: https://doi.org/10.1007/s00426-019-01205-2