Skip to main content

Selection of candidate reference genes for real-time PCR studies in lettuce under abiotic stresses

Abstract

The process of selection and validation of reference genes is the first step in studies of gene expression by real-time quantitative polymerase chain reaction (RT-qPCR). The genome of lettuce, the most popular leaf vegetable cultivated worldwide, has recently been sequenced; therefore, suitable reference genes for reliable results in RT-qPCR analyses are required. In the present study, 17 candidate reference genes were selected, and their expression stability in lettuce leaves under drought, salt, heavy metal, and UV-C irradiation conditions and under the application of abscisic acid (ABA) was evaluated using geNorm and NormFinder software. The candidate reference genes included protein-coding traditional and novel reference genes and microRNAs (miRNAs). The results indicate that the expression stability is dependent on the experimental conditions. The novel protein-coding reference genes were more suitable than the traditional reference genes under drought, UV-C irradiation, and heavy metal conditions and under the application of ABA. Only under salinity conditions were the traditional protein-coding reference genes more stable than the novel genes. In addition, the miRNAs, mainly MIR169, MIR171/170 and MIR172, were stably expressed under the abiotic stresses evaluated, representing a suitable alternative approach for gene expression data normalization. The expression of phenylalanine ammonia lyase (PAL) and 4-hydroxyphenylpyruvate dioxygenase (HPPD) was used to further confirm the validated protein-coding reference genes, and the expression of MIR172 and MIR398 was used to confirm the validated miRNA genes, showing that the use of an inappropriate reference gene induces erroneous results. This work is the first survey of the stability of reference genes in lettuce and provides guidelines to obtain more accurate RT-qPCR results in lettuce studies.

This is a preview of subscription content, access via your institution.

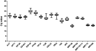
Fig. 1
Fig. 2
Fig. 3
Fig. 4
Fig. 5
Fig. 6

Abbreviations

18S :

18S ribosomal RNA

40S :

40S ribosomal RNA

ABA:

Absicic acid

ACT :

Actin

APT1 :

Adenosine phosphoribosyl transferase

EIF2A :

Elongation initiation factor gamma subunit

EIF4A1 :

Eukaryotic translation initiation factor 4A1

EXP45 :

Expansin 5 precursor

microRNA:

miRNA

HPPD :

4-Hydroxyphenylpyruvate dioxygenase

PAL :

Phenylalanine ammonia-lyase

PP2A :

Serine/threonine protein phosphatase 2A

RT-qPCR:

Real-time quantitative polymerase chain reaction

TIP41 :

TAP42-interacting protein of 41 kDa

TUB :

Tubulin

UBC21 :

Ubiquitin-protein ligase

UBQ :

Ubiquitin

References

  • Andersen CL, Jensen JL, Orntoft TF (2004) Normalization of real-time quantitative reverse transcription-PCR data: a model-based variance estimation approach to identify genes suited for normalization, applied to bladder and colon cancer data sets. Cancer Res 64:5245–5250

    CAS  PubMed  Article  Google Scholar 

  • Argyris J, Dahal P, Hayashi E, Still DW, Bradford KJ (2008) Genetic variation for lettuce seed thermoinhibition is associated with temperature-sensitive expression of abscisic acid, gibberellin, and ethylene biosynthesis, metabolism, and response genes. Plant Physiol 148:926–947

    CAS  PubMed Central  PubMed  Article  Google Scholar 

  • Borghi S (2003) Special: IV range (vegetables). Colt Protette 32:21–43

    Google Scholar 

  • Bustin SA (2000) Absolute quantification of mRNA using real-time reverse transcription polymerase chain reaction assays. J Mol Endocrinol 25:169–193

    CAS  PubMed  Article  Google Scholar 

  • Bustin SA (2002) Quantification of mRNA using real-time reverse transcription PCR (RT-PCR): trends and problems. J Mol Endocrinol 29:23–39

    CAS  PubMed  Article  Google Scholar 

  • Bustin SA, Benes V, Garson JA et al (2009) The MIQE guidelines: minimum information for publication of quantitative realtime PCR experiments. Clin Chem 55:611–622

    CAS  PubMed  Article  Google Scholar 

  • CGPDB(2013) Compositae genome project database. http://cgpdb.ucdavis.edu/. Accessed 26 July 2013

  • Chang S, Puryear J, Cairney J (1993) A simple and efficient method for isolating RNA from pine trees. Plant Mol Biol Rep 11:113–116

    CAS  Article  Google Scholar 

  • Chen C, Ridzon DA, Broomer AJ et al (2005) Real-time quantification of microRNAs by stem–loop RT-PCR. Nucleic Acids Res 33:e179. doi:10.1093/nar/gni178

    PubMed Central  PubMed  Article  Google Scholar 

  • Chen L, Zhong H, Kuang J et al (2011) Validation of reference genes for RT-qPCR studies of gene expression in banana fruit under different experimental conditions. Planta 234:377–390

    CAS  PubMed  Article  Google Scholar 

  • COMISSÃO DE QUÍMICA E FERTILIDADE DO SOLO—CQFS RS/SC (2004) Manual de adubação e calagem para os Estados do Rio Grande do Sul e Santa Catarina. 10. Ed. Porto Alegre, SBCS/Núcleo regional Sul/UFRGS, p 400

  • Cosgrove DJ (2000) Loosening of plant cell walls by expansins. Nature 407:321–326

    CAS  PubMed  Article  Google Scholar 

  • Cruz F, Kalaoun S, Nobile P et al (2009) Evaluation of coffee reference genes for relative expression studies by quantitative real-time RT-PCR. Mol Breed 23:607–616

    CAS  Article  Google Scholar 

  • Czechowski T, Stitt M, Altmann T, Udvardi MK, Scheible WR (2005) Genome-wide identification and testing of superior reference genes for transcript normalization in Arabidopsis. Plant Physiol 139:5–17

    CAS  PubMed Central  PubMed  Article  Google Scholar 

  • Dal Santo S, Vannozzi A, Tornielli JB et al (2013) Genome-wide analysis of the expansin gene superfamily reveals grapevine-specific structural and functional characteristics. Plos One 8(4):e62206. doi:10.1371/journal.pone.0062206

    CAS  PubMed Central  PubMed  Article  Google Scholar 

  • Derveaux S, Vandersompele J, Hellemans J (2010) How to do successful gene expression analysis using real-time PCR. Methods 50:227–230

    CAS  PubMed  Article  Google Scholar 

  • Expósito-Rodríguez M, Borges AA, Borges-Pérez A, Pérez JA (2008) Selection of internal control genes for quantitative real-time RT-PCR studies during tomato development process. BMC Plant Biol 8:131–142

    PubMed Central  PubMed  Article  Google Scholar 

  • Gutierrez L, Mauriat M, Guenin S, Pelloux J, Lefebvre JF (2008) The lack of a systematic validation of reference genes: a serious pitfall undervalued in reverse transcription-polymerase chain reaction (RT-PCR) analysis in plants. Plant Biotechnol J 6:609–618

    CAS  PubMed  Article  Google Scholar 

  • Han H, Zhu B, Luan F et al (2010) Conserved miRNAs and their targets identified in lettuce (Lactuca) by EST analysis. Gene 463:1–7

    CAS  PubMed  Article  Google Scholar 

  • Hawrylak-Nowak B (2013) Comparative effects of selenite and selenate on growth and selenium accumulation in lettuce plants under hydroponic conditions. Plant Growth Regul 70:149–157

    CAS  Article  Google Scholar 

  • Jain M, Nijhawan A, Tyagi AK, Khurana JP (2006) Validation of housekeeping genes as internal control for studying gene expression in rice by quantitative real-time PCR. BBRC 343:646–651

    Google Scholar 

  • Khraiwesh B, Zhu J, Zhu J (2012) Role of miRNAs and siRNAs in biotic and abiotic stress responses of plants. Biochim Biophys Acta 1819:137–148

    CAS  PubMed Central  PubMed  Article  Google Scholar 

  • Kulcheski FR, Marcelino-Guimaraes FC, Nepomuceno AL, Abdelnoor RV, Margis R (2010) The use of microRNAs as reference genes for quantitative polymerase chain reaction in soybean. Anal Biochem 406:185–192

    CAS  PubMed  Article  Google Scholar 

  • Lai Z, Kane NC, Kozik A et al (2012) Genomics of Compositae weeds: EST libraries, microarrays, and evidence of introgression. Am J Bot 99:209–218

    CAS  PubMed  Article  Google Scholar 

  • Lee H, Aedin C (2006) A review of the health care potential of bioactive compounds. J Sci Food Agric 86:1805–1813

    Article  Google Scholar 

  • Libault M, Thibivilliers S, Bilgin D et al (2008) Identification of four soybean reference genes for gene expression normalization. Plant Genome 1:44–54

    CAS  Article  Google Scholar 

  • Livak KJ, Schmittgen TD (2001) Analysis of relative gene expression data using real-time quantitative PCR and the 2-Delta Delta CT method. Methods 25:402–408

    CAS  PubMed  Article  Google Scholar 

  • Llorach R, Martínez-Sánchez A, Tomás-Barberán FA, Gil MI, Ferreres F (2008) Characterisation of polyphenols and antioxidant properties of five lettuce varieties and escarole. Food Chem 108:1028–1038

    CAS  Article  Google Scholar 

  • Mahmoudi H, Nasri MB, Baâtour O et al (2012) Differential response to elevated NaCl by antioxidant enzymes and gene transcripts in two contrasting lettuce genotypes. Austr J Crop Sci 6:632–640

    CAS  Google Scholar 

  • Maltseva DV, Khaustova NA, Fedotov NN et al (2013) High-throughput identification of reference genes for research and clinical RT-qPCR analysis of breast cancer samples. J Clin Bioinform 3:13. doi:10.1186/2043-9113-3-13

    CAS  Article  Google Scholar 

  • Manoli A, Sturaro A, Trevisan S, Quaggiotti S, Nonis A (2012) Evaluation of candidate reference genes for qPCR in maize. J Plant Physiol 169:807–815

    CAS  PubMed  Article  Google Scholar 

  • Marouelli WA, Silva WLC, Silva HR (2008) Irrigação por aspersão em hortaliças: qualidade da água, aspectos do sistema e método prático de manejo. Embrapa Informação Tecnológica, Embrapa Hortaliças, Brasília

    Google Scholar 

  • Maroufi A, Van Bockstaele E, De Loose M (2010) Validation of reference genes for gene expression analysis in chicory (Cichorium intybus) using quantitative real-time PCR. BMC Mol Biol 11:15

    PubMed Central  PubMed  Article  Google Scholar 

  • Messias R, Galli V, Silva S, Schirmer M, Rombaldi C (2013) Micronutrient and functional compounds biofortification of maize grains. Crit Rev Food Sci Nutr. doi:10.1080/10408398.2011.649314

    Google Scholar 

  • Migocka M, Papierniak A (2011) Identification of suitable reference genes for studying gene expression in cucumber plants subjected to abiotic stress and growth regulators. Mol Breed 28:343–357

    Article  Google Scholar 

  • Nicolle C, Cardinault N, Gueux E et al (2004) Health effect of vegetable-based diet: lettuce consumption improves cholesterol metabolism and antioxidant status in the rat. Clin Nutr 23:605–614

    CAS  PubMed  Article  Google Scholar 

  • Peltier HJ, Latham GJ (2008) Normalization of microRNA expression levels in quantitative RT-PCR assays: identification of suitable reference RNA targets in normal and cancerous human solid tissues. RNA 14:844–852

    CAS  PubMed Central  PubMed  Article  Google Scholar 

  • Qin F, Shinozaki K, Yamaguchi-Shinozaki K (2011) Achievements and challenges in understanding plant abiotic stress responses and tolerance. Plant Cell Physiol 52:1569–1582

    CAS  PubMed  Article  Google Scholar 

  • Rabbani MA, Maruyama K, Abe H et al (2003) Monitoring expression profiles of rice genes under cold, drought, and high-salinity stresses and abscisic acid application using cDNA microarray and RNA gel-blot analyses. Plant Physiol 133:1755–1767

    CAS  PubMed Central  PubMed  Article  Google Scholar 

  • Ramakers C, Ruijter JM, Deprez RH, Moorman AF (2003) Assumption-free analysis of quantitative real-time polymerase chain reaction (PCR) data. Neurosci Lett 339:62–66

    CAS  PubMed  Article  Google Scholar 

  • Ren W, Zhao L, Zhang L, Wang Y, Cui L, Tang Y, Sun X, Tang K (2011) Molecular cloning and characterization of 4-hydroxyphenylpyruvate dioxygenase gene from Lactuca sativa. J Plant Physiol 168:1076–1083

    CAS  PubMed  Article  Google Scholar 

  • Soós V, Juhás A, Light ME, Staden JV, Balázs E (2009) Smoke water induced changes of expression pattern in grand rapids lettuce achenes. Seed Sci Res 19:37–49

    Article  Google Scholar 

  • Sunkar R, Li YF, Jagadeeswaran G (2012) Functions of microRNAs in plant stress responses. Trends Plant Sci 17:196–302

    CAS  PubMed  Article  Google Scholar 

  • Tiecher A, Paula LA, Chaves FC, Rombaldi CV (2013) UV-C effect on ethylene, polyamines and the regulation of tomatofruit ripening. Postharvest Biol Technol 86:230–239

    CAS  Article  Google Scholar 

  • Vandesompele J, De Preter K, Pattyn F et al (2002) Accurate normalization of real-time quantitative RT-PCR data by geometric averaging of multiple internal control genes. Genome Biol 3:research0034

    PubMed Central  PubMed  Article  Google Scholar 

  • Wan H, Zhao Z, Qian C et al (2010) Selection of appropriate reference genes for gene expression studies by quantitative real-time polymerase chain reaction in cucumber. Anal Biochem 399:257–261

    CAS  PubMed  Article  Google Scholar 

  • Wang Y, Frei M (2011) Stressed food—The impact of abiotic environmental stresses on crop quality. Agric Ecosyst Environ 141:271–286

    Article  Google Scholar 

  • Wei L, Miao H, Zhao R et al (2013) Identification and testing of reference genes for Sesame gene expression analysis by quantitative real-time PCR. Planta 237:873–889

    CAS  PubMed Central  PubMed  Article  Google Scholar 

  • Wheeler S, Loveys B, Ford C, Davies C (2009) The relationship between the expression of abscisic acid biosynthesis genes, accumulation of abscisic acid and the promotion of Vitis vinifera L. berry ripening by abscisic acid. Austr J Grape Wine Res 15:195–204

    CAS  Article  Google Scholar 

  • Wu Y, Kuzma J, Marechal E et al (1997) Abscisic acid signaling through cyclic ADP-ribose in plants. Science 278:2126–2130

    CAS  PubMed  Article  Google Scholar 

  • Wu Y, Thorne ET, Sharp RE, Cosgrove DJ (2001) Modification of expansin transcript levels in the maize primary root at low water potentials. Plant Physiol 126:1471–1479

    CAS  PubMed Central  PubMed  Article  Google Scholar 

  • Xu F, Deng G, Cheng S et al (2012) Molecular cloning, characterization and expression of the phenylalanine ammonia-lyase gene from Juglans regia. Molecules 17:7810–7823

    CAS  PubMed  Article  Google Scholar 

  • Yuan G, Wang X, Guo R, Wang Q (2010) Effect of salt stress on phenolic compounds, glucosinolates, myrosinase and antioxidant activity in radish sprouts. Food Chem 121:1014–1019

    CAS  Article  Google Scholar 

  • Zdravković JM, Aćamović-Đoković GS, Mladenović JD, Pavlović RM, Zdravković MS (2014) Antioxidant capacity and contents of phenols, ascorbic acid, β-carotene and lycopene in lettuce. Hemijska industrija. doi:10.2298/HEMIND130222043Z

  • Zhu J, Li W, Yang W, Qi L, Han S (2013) Identification of microRNAs in Caragana intermedia by high throughput sequencing and expression analysis of 12 microRNAs and their targets under salt stress. Plant Cell Rep 32:1339–1349

    CAS  PubMed  Article  Google Scholar 

  • Zou JJ, Wei FJ, Wang C et al (2010) Arabidopsis calcium-dependent protein kinase CPK10 functions in abscisic acid- and Ca2+-mediated stomatal regulation in response to drought stress. Plant Physiol 154:1232–1243

    CAS  PubMed Central  PubMed  Article  Google Scholar 

Download references

Acknowledgments

The authors gratefully acknowledge the technical and financial support of the Embrapa Clima Temperado (Embrapa), Fundação de Amparo à Pesquisa do Estado do Rio Grande do Sul (Fapergs), and Conselho Nacional de Desenvolvimento Científico e Tecnológico (CNPq).

Author information

Affiliations

Authors

Corresponding author

Correspondence to Cesar Valmor Rombaldi.

Electronic supplementary material

Below is the link to the electronic supplementary material.

425_2014_2041_MOESM1_ESM.tif

Online resource 1 Specific amplification. RT-qPCR melting curve analysis calculated by SDS version 1.1 software in a 7500 Real time Fast thermocycler (Applied Biosystems). (TIFF 15872 kb)

425_2014_2041_MOESM2_ESM.tif

Online resource 2 Specific amplicon size. Agarose gel (3 %) showing amplification of a specific PCR product of the expected size for the twelve protein-coding reference genes, five miRNAs, PAL and HPPD genes using cDNA from lettuce leaves. Lines 1, 19 and 22: 1 kb plus (Invitrogen); Line 2: ACT; Line 3: APT1; Line 4: EIF2A; Line 5: EIF4A1; Line 6: EXP45; Line 7: PP2A; Line 8: TIP41, Line 9: TUB; Line 10: UBC21; Line 11: UBQ; Line 12: 18S; Line 13: 40S; Line 14: MIR156; Line 15: MIR169; Line 16: MIR171/170; Line 17: MIR172; Line 18: MIR398; Line 20: PAL; Line 21: HPPD. (TIFF 19361 kb)

Rights and permissions

Reprints and Permissions

About this article

Cite this article

Borowski, J.M., Galli, V., da Silva Messias, R. et al. Selection of candidate reference genes for real-time PCR studies in lettuce under abiotic stresses. Planta 239, 1187–1200 (2014). https://doi.org/10.1007/s00425-014-2041-2

Download citation

  • Received:

  • Accepted:

  • Published:

  • Issue Date:

  • DOI: https://doi.org/10.1007/s00425-014-2041-2

Keywords

  • ABA
  • Abiotic stresses (drought, salt, heavy metal and UV-C stress)
  • GeNorm
  • Lactuca
  • miRNAs
  • NormFinder
  • Reference genes