Skip to main content

Overexpression of Citrus junos mitochondrial citrate synthase gene in Nicotiana benthamiana confers aluminum tolerance

Abstract

Aluminum (Al) toxicity is one of the major factors that limit plant growth in acid soils. Al-induced release of organic acids into rhizosphere from the root apex has been identified as a major Al-tolerance mechanism in many plant species. In this study, Al tolerance of Yuzu (Citrus Junos Sieb. ex Tanaka) was tested on the basis of root elongation and the results demonstrated that Yuzu was Al tolerant compared with other plant species. Exposure to Al triggered the exudation of citrate from the Yuzu root. Thus, the mechanism of Al tolerance in Yuzu involved an Al-inducible increase in citrate release. Aluminum also elicited an increase of citrate content and increased the expression level of mitochondrial citrate synthase (CjCS) gene and enzyme activity in Yuzu. The CjCS gene was cloned from Yuzu and overexpressed in Nicotiana benthamiana using Agrobacterium tumefaciens-mediated methods. Increased expression level of the CjCS gene and enhanced enzyme activity were observed in transgenic plants compared with the wild-type plants. Root growth experiments showed that transgenic plants have enhanced levels of Al tolerance. The transgenic Nicotiana plants showed increased levels of citrate in roots compared to wild-type plants. The exudation of citrate from roots of the transgenic plants significantly increased when exposed to Al. The results with transgenic plants suggest that overexpression of mitochondrial CS can be a useful tool to achieve Al tolerance.

This is a preview of subscription content, access via your institution.

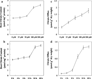
Fig. 1
Fig. 2
Fig. 3
Fig. 4
Fig. 5
Fig. 6
Fig. 7

Abbreviations

35S:

Cauliflower mosaic virus 35S promoter

CS:

Citrate synthase

DEPC:

Diethyl pyrocarbonate

GUS:

β-Glucuronidase

NPTII:

Neomycin phosphotransferase

ORF:

Open reading frame

RACE:

Rapid amplification of cDNA ends

YADE:

Y-shaped adaptor-dependent extension

References

  • Anoop VM, Basu U, McCammon MT, McAlister-Henn L, Taylor GJ (2003) Modulation of citrate metabolism alters aluminum tolerance in yeast and transgenic canola overexpressing a mitochondrial citrate synthase. Plant Physiol 132:2205–2217

    PubMed  Article  CAS  Google Scholar 

  • Barcelo J, Poschenrieder C (2002) Fast root growth responses, root exudates, and internal detoxification as clues to the mechanisms of aluminium toxicity and resistance: a review. Environ Exp Bot 48:75–92

    Article  CAS  Google Scholar 

  • Barone P, Rosellini D, La Fayette P, Bouton J, Veronesi F, Parrott W (2008) Bacterial citrate synthase expression and soil aluminum tolerance in transgenic alfalfa. Plant Cell Rep 27:893–901

    PubMed  Article  CAS  Google Scholar 

  • Basu U, Godbold D, Taylor GJ (1994) Aluminum resistance in Triticum aestivum associated with enhanced exudation of malate. J Plant Physiol 144:747–753

    CAS  Google Scholar 

  • de la Fuente JM, Ramirez-Rodriguez V, Cabrera-Ponce JL, Herrera-Estrella L (1997) Aluminum tolerance in transgenic plants by alteration of citrate synthesis. Science 276:1566–1568

    Article  Google Scholar 

  • Delhaize E, Ryan PR, Randall PJ (1993) Aluminum tolerance in wheat (Triticum aestivum L). 2. Aluminum-stimulated excretion of malic-acid from root apices. Plant Physiol 103:695–702

    PubMed  CAS  Google Scholar 

  • Delhaize E, Hebb DM, Ryan PR (2001) Expression of a Pseudomonas aeruginosa citrate synthase gene in tobacco is not associated with either enhanced citrate accumulation or efflux. Plant Physiol 125:2059–2067

    PubMed  Article  CAS  Google Scholar 

  • Delhaize E, Ryan PR, Hocking PJ, Richardson AE (2003) Effects of altered citrate synthase and isocitrate dehydrogenase expression on internal citrate concentrations of tobacco (Nicotiana tabacum L.). Plant Soil 248:137–144

    Article  CAS  Google Scholar 

  • Delhaize E, Ryan PR, Hebb DM, Yamamoto Y, Sasaki T, Matsumoto H (2004) Engineering high-level aluminum tolerance in barley with the ALMT1 gene. Proc Natl Acad Sci USA 101:15249–15254

    PubMed  Article  CAS  Google Scholar 

  • Deng W, Luo KM, Li DM, Zheng XL, Wei XY, Smith W, Thammina C, Lu LT, Li Y, Pei Y (2006) Overexpression of an Arabidopsis magnesium transport gene, AtMGT1, in Nicotiana benthamiana confers Al tolerance. J Exp Bot 57:4235–4243

    PubMed  Article  CAS  Google Scholar 

  • Deng W, Luo KM, Li ZG, Yang YW (2008) Molecular cloning and characterization of a mitochondrial dicarboxylate/tricarboxylate transporter gene in Citrus junos response to aluminum stress. Mitochondrial DNA 19:376–384

    PubMed  CAS  Google Scholar 

  • Foy CD (1984) Physiological effects of hydrogen, aluminium, and manganese toxicities in acid soil. In: Adams F (ed) Soil acidity and liming, 2nd edn. American Society of Agronomy, Madison, pp 57–97

    Google Scholar 

  • Furukawa J, Yamaji N, Wang H, Mitani N, Murata Y, Sato K, Katsuhara M, Takeda K, Ma JF (2007) An aluminum-activated citrate transporter in barley. Plant Cell Physiol 48:1081–1091

    PubMed  Article  CAS  Google Scholar 

  • Gao X, Li ZG, Fan J, Yang YW (2006) Screening and expression of differentially expressed genes for peel pitting of citrus fruit. Acta Hortic 712:473–479

    CAS  Google Scholar 

  • Hoekenga OA, Maron LG, Pineros MA, Cancxado GM, Shaff J, Kobayashi Y, Ryan PR, Dong B, Delhaize E, Sasaki T, Matsumoto H, Yamamoto Y, Koyama H, Kochian LV (2006) AtALMT1, which encodes a malate transporter, is identified as one of several genes critical for aluminum tolerance in Arabidopsis. Proc Natl Acad Sci USA 103:9738–9743

    PubMed  Article  CAS  Google Scholar 

  • Kinraide TB (1991) Identity of the rhizotoxic aluminum species. Plant Soil 134:167–178

    CAS  Google Scholar 

  • Kochian LV (1995) Cellular mechanisms of aluminium toxicity and resistance in plants. Annu Rev Plant Physiol Plant Mol Biol 46:237–260

    Article  CAS  Google Scholar 

  • Kochian LV, Pineros MA, Hoekenga OA (2005) The physiology, genetics and molecular biology of plant aluminium resistance and toxicity. Plant Soil 274:175–195

    Article  CAS  Google Scholar 

  • Koyama H, Takita E, Kawamura A, Hara T, Shibata D (1999) Overexpression of mitochondrial citrate synthase gene improves the growth of carrot cells in aluminum-phosphate medium. Plant Cell Physiol 40:482–488

    PubMed  CAS  Google Scholar 

  • Koyama H, Kawamura A, Kihara T, Hara T, Takita E, Shibata D (2000) Overexpression of mitochondrial citrate synthase in Arabidopsis thaliana improved growth on a phosphorus limited soil. Plant Cell Physiol 41:1030–1037

    PubMed  Article  CAS  Google Scholar 

  • Larsen PB, Degenhardt J, Tai CY, Stenzler LM, Howell SH, Kochian LV (1998) Aluminum-resistant Arabidopsis mutants that exhibited altered patterns of aluminum accumulation and organic acid release from roots. Plant Physiol 117:9–17

    PubMed  Article  CAS  Google Scholar 

  • Li XF, Ma JF, Matsumoto H (2000) Pattern of aluminum induced secretion of organic acids differs between rye and wheat. Plant Physiol 123:1537–1543

    PubMed  Article  CAS  Google Scholar 

  • Livak KJ, Schmittgen TD (2001) Analysis of relative gene expression data using real-time quantitative PCR and the ΔΔCt method. Methods 25:402–408

    PubMed  Article  CAS  Google Scholar 

  • Ma Z, Miyasaka SC (1998) Oxalate exudation by taro in response to Al. Plant Physiol 118:861–865

    PubMed  Article  Google Scholar 

  • Ma JF, Zheng SJ, Matsumoto H (1997a) Specific secretion of citric acid induced by Al stress in Cassia tora L. Plant Cell Physiol 38:1019–1025

    CAS  Google Scholar 

  • Ma JF, Zheng SJ, Matsumoto H, Hiradate S (1997b) Detoxifying aluminum with buckwheat. Nature 390:569–570

    Article  Google Scholar 

  • Ma JF, Taketa S, Yang ZM (2000) Aluminum tolerance genes on the short arm of chromosome 3R are linked to organic acid release in triticale. Plant Physiol 122:687–694

    PubMed  Article  CAS  Google Scholar 

  • Ma JF, Ryan PR, Delhaize E (2001) Aluminium tolerance in plants and the complexing role of organic acids. Trends Plant Sci 6:273–278

    PubMed  Article  CAS  Google Scholar 

  • Magalhaes JV, Liu J, Guimaraes CT, Lana UGP, Alves VMC, Wang Y-H, Schaffert RE, Hoekenga OA, Piñeros MA, Shaff JE, Klein P, Carneiro NP, Coelho CM, Trick HN, Kochian LV (2007) A gene in the multidrug and toxic compound extrusion (MATE) family confers aluminum tolerance in sorghum. Nat Genet 39:1156–1161

    PubMed  Article  CAS  Google Scholar 

  • Mariano ED, Keltjens WG (2005) Long-term effects of aluminium exposure on nutrient uptake by maize genotypes differing in aluminium resistance. J Plant Nutr 28:323–333

    Article  CAS  Google Scholar 

  • Matsumoto H (2000) Cell biology of aluminium toxicity and tolerance in higher plants. Int Rev Cytol 200:1–46

    PubMed  Article  CAS  Google Scholar 

  • Miyasaka SC, Buta JG, Howell RK, Foy CD (1991) Mechanism of aluminum tolerance in snapbeans: root exudation of citric acid. Plant Physiol 96:737–743

    PubMed  Article  CAS  Google Scholar 

  • Pellet DM, Grunes DL, Kochian LV (1995) Organic acid exudation as an aluminum tolerance mechanism in maize (Zea mays L.). Planta 196:788–795

    Article  CAS  Google Scholar 

  • Rengel Z (1990) Competitive A13+ inhibition of net Mg2+ uptake by intact Lolium multiflorum roots. II. Plant age effects. Plant Physiol 93:1261–1267

    CAS  Google Scholar 

  • Rengel Z, Robinson DL (1989) Competitive aluminium ion inhibition of net magnesium ion uptake by intact Lolium multiflorum roots. Plant Physiol 91:1407–1413

    PubMed  Article  CAS  Google Scholar 

  • Robinson DL, Rengel Z (1991) Aluminium influences on magnesium uptake and on grass tetany potential of ryegrass. Curr Top Plant Biochem Physiol 10:107–116

    CAS  Google Scholar 

  • Ryan PR, Delhaize E, Randall PJ (1995) Characterization of Al-stimulated efflux of malate from the apices of Al-tolerant wheat roots. Planta 196:103–110

    Article  CAS  Google Scholar 

  • Sasaki T, Yamamoto Y, Ezaki B, Katsuhara M, Ahn SJ, Ryan PR, Delhaize E, Matsumoto H (2004) A wheat gene encoding an aluminum-activated malate transporter. Plant J 37:645–653

    PubMed  Article  CAS  Google Scholar 

  • Srere PA, Brazil H, Gonen L (1963) The citrate condensing enzyme of pigeon breast muscle and moth flight muscle. Acta Chem Scand 17:129–134

    Article  Google Scholar 

  • Taylor GJ (1991) Current views of the aluminium stress response: the physiological basis of tolerance. Curr Top Plant Biochem Physiol 10:57–93

    CAS  Google Scholar 

  • von Uexkull HR, Mutert E (1995) Global extent development and economic impact of acid soils. Plant Soil 171:1–15

    Article  Google Scholar 

  • Wang J, Raman H, Zhou M, Ryan PR, Delhaize E, Hebb DM, Coombes N, Mendham N (2007) High-resolution mapping of the Alp locus and identification of a candidate gene HvMATE controlling aluminium tolerance in barley (Hordeum vulgare L.). Theor Appl Genet 115:265–276

    PubMed  Article  CAS  Google Scholar 

  • Wenzl P, Patino GM, Chaves AL, Mayer JE, Rao IM (2001) The high level of aluminum resistance in signalgrass is not associated with known mechanisms of external aluminum detoxification in root apices. Plant Physiol 125:1473–1484

    PubMed  Article  CAS  Google Scholar 

  • Yang ZM, Sivaguru M, Horst WJ, Matsumoto H (2000) Al tolerance is achieved by exudation of citric acid from roots of soybean (Glycine max). Physiol Plant 110:72–77

    Article  CAS  Google Scholar 

  • Yang JL, Zheng SJ, He YF, You JF, Zhang L, Yu XH (2006) Comparative studies on the effect of a protein-synthesis inhibitor on aluminum induced secretion of organic acids from Fagopyrum esculentum Moench and Cassia tora L. roots. Plant Cell Environ 29:240–246

    PubMed  Article  CAS  Google Scholar 

  • Zhao Z, Ma JF, Sato K, Takeda K (2003) Differential Al resistance and citrate secretion in barley (Hordeum vulgare L.). Planta 217:794–800

    PubMed  Article  CAS  Google Scholar 

  • Zheng SJ, Ma JF, Matsumoto H (1998) High aluminum resistance in buckwheat: I. Al-induced special secretion of oxalic acid from root tips. Plant Physiol 117:745–751

    Article  Google Scholar 

Download references

Author information

Affiliations

Authors

Corresponding author

Correspondence to Wei Deng.

Rights and permissions

Reprints and Permissions

About this article

Cite this article

Deng, W., Luo, K., Li, Z. et al. Overexpression of Citrus junos mitochondrial citrate synthase gene in Nicotiana benthamiana confers aluminum tolerance. Planta 230, 355–365 (2009). https://doi.org/10.1007/s00425-009-0945-z

Download citation

  • Received:

  • Accepted:

  • Published:

  • Issue Date:

  • DOI: https://doi.org/10.1007/s00425-009-0945-z

Keywords

  • Aluminum tolerance
  • Citrate
  • Citrate synthase
  • Overexpression
  • Yuzu